161763 (738208), страница 2
Текст из файла (страница 2)
Оценка облигаций
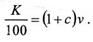
Номиналы различных облигаций могут существенно отличаться друг от друга, поэтому возникает необходимость в сопоставимом измерителе рыночных цен. Таким показателем является курс – процентное отношение цены облигации Р к ее номиналу N:6
(1)
Например, если облигация с номиналом 10 тыс. руб. продается за 9 тыс. руб., то ее курс равен 90.
Оценим курс облигации сроком на п лет с ежегодной выплатой купонов на момент ее эмиссии. Пусть с – купонная ставка. Совокупность годовых выплат по купонам представляет собой ренту постнумерандо; член такой ренты равен С=cN; текущая стоимость этой ренты на момент эмиссии
(2)
где
– текущая стоимость ренты; v" – дисконтный множитель.
Текущая стоимость номинала, выплачиваемого в момент погашения облигации, т.е. спустя п лет после момента эмиссии
(3)
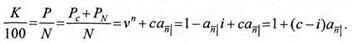
С учетом (2.6.2) и (2.6.3) курс облигации в момент эмиссии определяется формулой
(4)
Поскольку текущая стоимость ренты всегда больше нуля, из приведенной выше формулы можно сразу же сделать следующие выводы:
1. Если текущая процентная ставка i равна купонной ставке с, то курс такой облигации равен 100 (цена равна номиналу).
2. Если текущая процентная ставка выше купонной ставки (i> с), то курс облигации меньше 100 (цена ниже номинала). В этом случае говорят, что облигация куплена с дисконтом (или курс с дисконтом). Поскольку при низкой купонной ставке для инвесторов предпочтительнее вложения средств в более доходные финансовые инструменты, то продажа облигации по цене ниже номинала дает возможность получения дополнительного дохода.
3. Если текущая процентная ставка ниже купонной ставки (i<с), то курс облигации больше 100 (цена выше номинала). В этом случае облигация продается с премией (или курс с премией). Поскольку купонная ставка выше текущей процентной ставки, то для уравнивания доходности с рыночной цена облигации должна быть выше номинала.
Оценка облигаций производится не только в момент эмиссии, но и в любой момент времени вплоть до момента погашения. В любой момент времени облигация может быть продана или приобретена на рынке ценных бумаг по рыночной цене. Наиболее просто оценивается облигация в последнем перед погашением купонном периоде, когда предстоит только одна выплата в размере (с+1)N – последний купон и номинал. Если интервал времени от момента оценки до момента погашения равен t, то, дисконтируя величину выплаты на этот интервал времени, получим текущую стоимость облигации:
(5)
Курс облигации сразу после предпоследней купонной выплаты (t=1) равен
(5, a)
Аналогично курс облигации на момент времени непосредственно после очередной купонной выплаты (чистая курсовая стоимость) легко получить путем замены в (2.6.4) срока от момента эмиссии до момента погашения п на величину Т– количество лет от момента оценки облигации до момента ее погашения:
(6)
Купонный доход
Для анализа динамики цены облигации, а также для удобства расчета налога полную цену облигации, по которой она реализуется ("грязная" цена), представляют в виде суммы чистой цены и накопленного с момента последней купонной выплаты (или с момента эмиссии) купонного дохода. В моменты времени непосредственно после очередной купонной выплаты (или в момент эмиссии) чистая цена совпадает с полной и определяется формулами (6) или (4).
Величину купонного дохода, накопленного с момента выплаты предыдущего купона до момента приобретения облигации, определяют по формуле
(7, a)
Согласно (2.6.8), накопленный купонный доход линейно возрастает от нуля после очередной купонной выплаты до значения купонной выплаты в конце года. Чистая цена получается вычитанием купонного дохода из полной цены:
(7, б)
Именно чистая цена публикуется в зарубежной финансовой прессе по результатам торгов ценными бумагами.
Облигации с купонными выплатами т раз в год
Если выплата купонов по облигации производится несколько раз в год (т=4 – ежеквартально, т=2 – один раз в полгода), то оценка ее курса проводится совершенно аналогично случаю ежегодных выплат. Обычно основой для определения величины купонных выплат является годовая купонная ставка. Если купоны выплачиваются т раз в год, то величина одной купонной выплаты равна cN/m. Текущая стоимость номинала, выплачиваемого в момент погашения, как и ранее, определяется формулой (3), а текущая стоимость купонных выплат на момент времени непосредственно после очередной купонной выплаты в соответствии с (1):
(9)
где j=(1+i)1/m-1; L – оставшееся до погашения количество купонов.
Тогда оценка курса облигации на этот момент времени дает:
(10)
Оценка стоимости облигаций с учетом налогов
При оценке стоимости облигации с учетом налогов в расчетах используют не полные, а чистые (за вычетом налогов) потоки платежей. Налогообложению подлежат два вида доходов по облигациям:
1) купонный доход;
2) прирост капитала (если чистая цена покупки облигации ниже цены ее последующей продажи).
Если доход по купонам облагается налогом по ставке Тахс, то чистый текущий доход по всем купонам, кроме очередного, получается умножением полного текущего дохода на(1-Тахс). Расчет чистого текущего дохода от очередного купона более сложен, поскольку в цене приобретенной облигации содержится купонный доход А, накопленный с начала очередного купонного периода. Естественно, что следует облагать налогом не весь доход от получения очередного купона, а только его приращение (С – А) с момента покупки облигации до момента купонной выплаты. Последующие купоны облагаются налогом полностью. Налог с текущего купона, согласно (8), равен (С-А)Тахс=NcqТахс.
Налог на прирост капитала взимается только в том случае, если чистая цена покупки облигации ниже номинала (считаем, что облигация удерживается до погашения). Его величина равна (N-Рп)Тах, где Tax – ставка налога на прирост капитала.
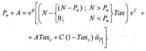
С учетом того факта, что налог с купонов уплачивается в момент их выплаты, а налог с прироста капитала – в момент погашения, текущая стоимость потока чистых поступлений за время t=T+q до момента погашения равна
Сначала производится оценка текущей стоимости только с учетом налога с купонов, а затем, если полученная чистая цена ниже номинала, учитывается и налог на прирост капитала, что может еще понизить стоимость.
Список использованной литературы
1. Бромвич М. Анализ экономической эффективности капиталовложений. - М.: ИНФРА-М, 2009.
2. Ефимова О. В. Финансовый анализ. - М.: Бухгалтерский учет, 2008
3. Ковалев В. В. Финансовый анализ. - М.: Финансы и статистика, 2007.
4. Климов А., Климкина Т. Методик много разных, но верная всегда одна. 2007
5. Валдайцев С.В. Оценка эффективности ценных бумаг. — М.: Филинъ, 2007
6. В.А. Галанова, А.И. Басова Рынок ценных бумаг: Учебник – М.: Финансы и статистика, 2007.
1 . Бромвич М. Анализ экономической эффективности капиталовложений. - М.: ИНФРА-М, 2009.
1 Балансовая стоимость акции определяется вычитанием из стоимости активов компании суммы ее обязательств и делением на количество акций.
2 Ефимова О. В. Финансовый анализ. - М.: Бухгалтерский учет, 2008
3 Рынок ценных бумаг: Учебник / Под ред. В.А. Галанова, А.И. Басова. – М.: Финансы и статистика, 2000.
4 Рынок ценных бумаг: Учебник / Под ред. В.А. Галанова, А.И. Басова. – М.: Финансы и статистика, 2007.
5 Ковалев В. В. Финансовый анализ. - М.: Финансы и статистика, 2007.
6 Валдайцев С.В. Оценка эффективности ценных бумаг. — М.: Филинъ, 2007















