160234 (737924)
Текст из файла
Аналіз беззбитковості проектів
Фінансова здійсненність проекту - це засадовий критерій для інвестора. Всі інші цілі, що переслідуються інвестором, вторинні і не становлять інтересу без досягнення головної - достатньо високого прибутку як на сукупний капітал, так і на власний і оплачений акціонерний.
Кожний з учасників спільного фінансування може мати власні критерії оцінки інвестиційного проекту. Проте фінансова здійсненність проекту для всіх є головним критерієм, хоча мінімально прийнятний прибуток в розрахунку на частку капіталу кожного учасника може істотно коливатись.
Оцінка фінансової здійсненності проекту повинна виконуватись таким чином, щоб всі учасники фінансування одержали вичерпну інформацію про свої частки в загальній сумі майбутнього прибутку від реалізації проекту, а також про можливі втрати внаслідок інвестиційних ризиків.
Інвестору, як правило, недостатньо власних коштів для інвестування проекту, він змушений або залучити додаткові кошти, або брати позичку.
Компаньйони і кредитори разом з тим наперед хочуть знати про рівень доходів від фінансування проекту, тобто про свій чистий прибуток після сплати податків.
Проте на стадії попереднього ТЕО і ТЕО звичайно не відомо, як буде фінансуватись проект, невідомі джерела фінансування, не визначена більшість суб'єктів інвестиційної діяльності. ТЕО для того і складається, щоб залучити акціонерів і кредиторів до фінансування проекту.
Для цих цілей на стадії попереднього техніко-економічного обгрунтування проводиться оцінка фінансової здійсненності проекту і оцінка імовірності його здійснення.
Головний інструментарій, що використовується при оцінці проектів, наступний:
фінансові показники здійсненності проекту;
показники економічної ефективності;
аналіз чутливості;
аналіз беззбитковості;
оцінка імовірності;
економічна оцінка проекту.
Головним інструментом, що визначає міру впливу на здійсненність проекту, є аналіз чутливості. Цей аналіз виконується за сценарієм, відповідно до якого кожній складовій критичної змінної надаються різні значення параметрів кількості і ціни, що дозволяє виявити міру впливу цих складових на одиницю критичних змінних. Таким чином визначають домінуючі статті витрат в інвестиційних, виробничих і реалізаційних витратах, які справляють найбільший вплив на розмір і структуру грошових потоків і формують масу прибутку або доходу.
Звичайно розробляється декілька сценаріїв аналізу чутливості: песимістичний, нормальний та оптимістичний. За цими сценаріями в витратах визначаються найбільш важливі складові, наприклад: сировина і матеріали, заробітна плата, вартість експлуатації обладнання, адміністративно-господарські витрати та ін.
Результатом аналізу чутливості є визначення беззбитковості проекту, яка характеризується рівновагою обсягів продаж і відповідних витрат (інвестиційних і виробничих). Таку рівновагу називають точкою беззбитковості. В цій точці фірма працює беззбитково. Якщо надходження від продаж не покривають витрати - фірма терпить збитки і неминучо прийде до банкрутства.
При розрахунках точки беззбитковості потрібно дотримуватись наступних неодмінних умов:
обсяг продаж повинен бути рівний обсягу виробництва;
у витрати включаються тільки відповідні товарові (групі товарів) витрати;
дотримується стабільний операційний леверідж: постійні витрати однакові для будь-якого обсягу виробництва, змінні - вимірюються пропорційно до обсягу виробництва і продаж;
ціни на товар (групу) не змінюються за часом;
для групи товарів структура обсягів продаж повинна залишатися незмінною.
Беззбитковість досягається за наступного рівняння:
(ЦО – ПВ) х ОВ = ПВ,
або
ПВ
ОВ = - ------------ -
ЦО – ПВ
де ЦО - ціна одиниці продукції; ПВ - поточні (змінні) витрати в складі собівартості одиниці продукції; ОВ - обсяг виробництва (продажу) в натуральних одиницях вимірювання; ПВ - річна величина постійних витрат.
Для групи виробів беззбитковість визначається шляхом підсумку всіх витрат на кожний вид товару і прирівняння їх до сумарного обсягу продаж:
де і - вид товару в групі n.
Графічна інтерпретація точки беззбитковості наведена на рис.1.
Рис.1. Визначення точки беззбитковості
Графічна інтерпретація точки беззбитковості наведена на рис.1.
В точці Б досягається рівновага, тобто така кількість реалізованих виробів дозволяє за рахунок надходжень від продажу повністю покрити витрати виробництва.
Аналіз беззбитковості проекту може виконуватись з урахуванням і без урахування інвестиційних витрат.
В першому випадку річні витрати на виробництво продукції зростають на всю суму інвестиційних витрат за рік, які звичайно включаються в постійну частку витрат. При цьому інвестиційні витрати зменшуються на суму щорічних (щомісячних) платежів відсотків і погашень боргу.
Аналіз беззбитковості за таким методом дозволяє передбачити можливість прискореного повернення капіталу.
За другим методом аналізу беззбитковості інвестиційні витрати враховуються у вигляді постійних витрат (амортизації).
Аналіз чутливості і беззбитковості дозволяє виявити домінуючі змінні і, варіюючи їхніми складовими, оцінити проект з точки зору доцільності здійснення інвестицій. Передумовами цього аналізу є стабільна соціально-економічна обстановка в країні і конкурентне середовище. Але в процесі реалізації проекту можуть виникнути обставини, які значно вплинуть на результати, що прогнозуються в проекті. На будь-якій стадії життєвого циклу інвестицій значення домінуючих змінних можуть суттєво відхилятися від передбачених в проекті. Більше того, можуть виникнути нові змінні, які матимуть домінуючий характер. Тому аналіз імовірності здійснення проекту набуває для інвестора першорядного значення.
Розрахунок точки беззбитковості
Мета аналізу беззбитковості - визначення обсягу продукції, для якого обсяг виручки від продажів дорівнює витратам. Коли обсяг продажів нижчий цієї точки, фірма зазнає збитків, а в точці, де виручка дорівнює витратам, фірма веде бізнес беззбитково.
Обсяг продажів у точці беззбитковості являє собою вартість беззбиткових продажів, а ціна одиниці продукції в цьому разі є беззбитковою ціною продажів. Якщо виробнича програма включає різноманітні продукти, то для будь-якого беззбиткового обсягу продажів існуватимуть різні варіанти цін на вироби, але не буде єдиної беззбиткової ціни.
Аналіз беззбитковості передбачає такі допущення:
не враховуються зміни виробничих запасів з періоду в період (обсяг виробництва дорівнює обсягові продажів);
постійні операційні витрати однакові для будь-якого обсягу виробництва;
змінні витрати змінюються пропорційно обсягу виробництва, а отже, загальний обсяг витрат також змінюється пропорційно обсягу виробництва;
ціна продукту вважається постійною величиною протягом циклу проекту;
частка продажу продукту в обсязі виручки не змінюється;
незмінні витрати вважаються постійними.
Зазначені обставини хоча й знижують можливості застосування даного методу, але простота розрахунків робить його досить популярним на практиці.
Точка беззбитковості (ВЕР) - це обсяг реалізації, при якому доходи підприємства дорівнюють його витратам. Вона розраховується за формулою: для одного виду продукції (фізичний обсяг)
де FC - постійні витрати; Р - ціна одиниці продукції; AVC - середні змінні витрати.
Маржинальний доход на одиницю продукції - це різниця між ціною одиниці продукції та середніми змінними витратами.
Для розрахунку точки беззбитковості в грошових одиницях постійні витрати відносять до коефіцієнту маржинального доходу. Коефіцієнт маржинального доходу - це відношення маржинального доходу від реалізації одиниці продукції до її ціни.
Аналіз беззбитковості зображується за допомогою графіка. (рис.1)
Для визначення впливу на прибуток зниження обсягу реалізації продукції можна використати запас міцності.
Запас міцності - це величина, на яку фактичний обсяг реалізації перевищує критичний обсяг реалізації.
Запас міцності = Обсяг реалізації - Точка беззбитковості
Запас міцності відображає граничну величину можливого зниження обсягу продажу без ризику зазнати збитків.
Методи оцінки ефективності проектів
Для оцінки ефективності проектів застосовуються дві групи методів - формальні танеформальні. Формальні методи передбачають використання математичного апарату для розрахунку показників ефективності, неформальні - евристичних підходів.
Ефективність проекту характеризується системою показників, які виражають співвідношення вигід і витрат проекту з погляду його учасників.
Виділяють такі показники ефективності інвестиційного проекту:
показники комерційної ефективності, які враховують фінансові наслідки реалізації проекту для його безпосередніх учасників;
показники економічної ефективності, які враховують народногосподарські вигоди й витрати проекту, включаючи оцінку
екологічних та соціальних наслідків, і допускають грошовий вимір;
показники бюджетної ефективності, які відображають фінансові наслідки здійснення проекту для державного та місцевого бюджетів.
Для розрахунку цих показників можуть використовуватись одні й ті самі формули, але значення вихідних показників для розрахунків істотно різнитимуться.
Залежно від тривалості циклу проекту оцінка показників ефективності може бути різною. Показники комерційної ефективності можуть розраховуватися не тільки на весь цикл проекту, а й на місяць, квартал, рік.
До найпростіших показників ефективності інвестицій відносяться:
капіталовіддача (річні продажі, поділені на капітальні витрати);
оборотність товарних запасів (річні продажі, поділені на середньорічний обсяг товарних запасів);
трудовіддача (річні продажі, поділені на середньорічну кількість зайнятих робітників і службовців).
Однак ці показники відносяться до числа показників моментного статичного ряду і не враховують динамічних процесів у їх взаємозв'язку.
Для оцінки ефективності інвестицій доцільніше використовувати показники, які дають змогу розрахувати значення критеріїв ефективності інвестиційних проектів, беручи до уваги комплексну оцінку вигід і витрат, зміну вартості грошей у часі та інші чинники.
До неформальних критеріїв оцінки та вибору інвестиційних проектів відносяться:
рейтинг країни на основі оцінки інвестиційного клімату;
рівень здібностей управлінського персоналу до реалізації проекту;
рівень розвитку інфраструктури, що забезпечує реалізацію проекту (транспорт, зв'язок, готельний сервіс).
Критерії ефективності проектів
Використання критеріїв ефективності інвестиційних проектів допомагає аналітикові прийняти, схвалити або змінити проект. Вибір конкретного критерію для висновку про ефективність проекту залежить від певних чинників - наявної ринкової перспективи, існування обмежень на ресурси для фінансування проекту, коливань грошових потоків та можливості одержання прибутку. Хоча деякі критерії добре відомі й широко застосовуються, для аналітика вкрай важливо бути ознайомленим з усім багатством вибору, щоб обрати комбінацію, яка найбільше підходить для проекту.
Чиста теперішня вартість - Net Present Value (NPV)
Це найвідоміший і найуживаніший критерій. У літературі зустрічаються й інші його назви: чиста наведена вартість, чиста наведена цінність, дисконтовані чисті вигоди.
NPV являє собою дисконтовану цінність проекту (поточну вартість доходів або вигід від зроблених інвестицій).
NPV дорівнює різниці між майбутньою вартістю потоку очікуваних вигід і поточною вартістю нинішніх і наступних витрат проекту протягом усього його циклу.
Для розрахунку NPV проекту необхідно визначити ставку дисконту, використати її для дисконтування потоків витрат та вигід і підсумувати дисконтовані вигоди й витрати (витрати зі знаком мінус). При проведенні фінансового аналізу ставка дисконту звичайно є ціною капіталу для фірми. В економічному аналізі ставка дисконту являє собою закладену вартість капіталу, тобто прибуток, який міг би бути одержаний при інвестуванні найприбутковіших альтернативних проектів.
Якщо NPV позитивна, то проект можна рекомендувати для фінансування. Якщо NPV дорівнює нулю, то надходжень від проекту вистачить лише для відновлення вкладеного капіталу. Якщо NPV менша нуля - проект не приймається.
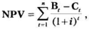
Розрахунок NPV робиться за такими формулами:
або
де Bf - вигоди проекту в рік t, Ct - витрати на проект у рік t; і - ставка дисконту; n - тривалість (строк життя) проекту.
Характеристики
Тип файла документ
Документы такого типа открываются такими программами, как Microsoft Office Word на компьютерах Windows, Apple Pages на компьютерах Mac, Open Office - бесплатная альтернатива на различных платформах, в том числе Linux. Наиболее простым и современным решением будут Google документы, так как открываются онлайн без скачивания прямо в браузере на любой платформе. Существуют российские качественные аналоги, например от Яндекса.
Будьте внимательны на мобильных устройствах, так как там используются упрощённый функционал даже в официальном приложении от Microsoft, поэтому для просмотра скачивайте PDF-версию. А если нужно редактировать файл, то используйте оригинальный файл.
Файлы такого типа обычно разбиты на страницы, а текст может быть форматированным (жирный, курсив, выбор шрифта, таблицы и т.п.), а также в него можно добавлять изображения. Формат идеально подходит для рефератов, докладов и РПЗ курсовых проектов, которые необходимо распечатать. Кстати перед печатью также сохраняйте файл в PDF, так как принтер может начудить со шрифтами.















