72553-1 (736093)
Текст из файла
Байесова схема принятия коллективных решений в условиях противоречий
Леонид Соломонович Файнзильберг
Развивается подход к построению схемы принятия коллективного решения в условиях противоречивой информации, полученной от независимых экспертов. Показано, что только при равновероятных классах групповое решение должно совпадать с частным решением более квалифицированного эксперта. Предложены правила, обеспечивающие минимизацию средней вероятности ошибки коллективного решения.
Введение.
Различные сферы профессиональной деятельности человека связаны с принятием решений, которые сводятся к выбору оптимального варианта поведения из множества альтернатив [1,2]. Довольно часто такой выбор опирается на информацию, которую лицо, принимающее решение, получает в виде рекомендаций от коллектива экспертов [3-7].
Целый ряд прикладных задач, например, задач медицинской и технической диагностики, также сводится к принятию решения: необходимо определить принадлежность состояния объекта исследования к одному из нескольких заранее определенных классов (диагнозов) [8]. В простейших случаях достаточно сделать выбор между двумя возможными состояниями, например “болен” - “здоров”, “исправен - неисправен”. В других случаях число возможных диагнозов больше двух.
При решении таких задач используются методы распознавания образов, позволяющие автоматизировать процесс диагностики. С этой целью состояние объекта описывается совокупностью некоторых параметров (признаков) и строится алгоритм распознавания, который после соответствующей настройки (обучения) обеспечивает классификацию текущего состояния объекта. Обычно эффективность таких систем оценивается вероятностью ошибочной классификации.
Для повышения эффективности систем распознавания в последнее время внимание специалистов привлекают так называемые коллективные (комбинированные) классификаторы [9,10]. Их суть состоит в том, что окончательное решение принимается на основе “интеграции” частных решений, которые принимают отдельные классификаторы.
Существуют различные подходы к интеграции частных решений. В одних случаях предлагается использовать метод голосования (majority vote method) [11,12] или ранжирования (label ranking method) [13, 14]. В других - использовать схемы, основанные на усреднении или линейной комбинации апостериорных вероятностей, которые оцениваются отдельными классификаторами [15,16], либо использовать алгоритмы нечетких правил (fuzzy rules) [17]. Предлагается также проводить независимое обучение комбинированного классификатора, рассматривая частные решения как новые комплексные признаки [18,19]. Развиваются также подходы, основанные на выделении в пространстве наблюдений локальных областей, в каждой из которых только один из частных классификаторов “компетентен” принимать решение [20].
Все эти работы имеют несомненный теоретический интерес и, как показано в [21], позволяют обосновать выбор той или иной схемы интеграции, если известны алгоритмы принятия частных решений и характеристики признаков, которые используют отдельные классификаторы.
В то же время на практике, как отмечено в [1], приходится принимать решения и в тех случаях, когда рассматриваемая проблема слабо структурирована, а формализации поддаются лишь отдельные фрагменты общей постановки. Довольно часто эксперты при анализе ситуаций используют не количественные, а качественные признаки [22], а сами решения принимают на основе эвристических алгоритмов либо просто полагаются на свой предшествующий опыт и интуицию.
Разумеется в этих практически важных случаях также требуется обоснованный подход к интеграции частных решений экспертов. Например, какое окончательное решение должно быть принято, если в результате независимого обследования часть специалистов (экспертов) признала пациента здоровым, а другая часть – больным?
Можно привести и другие не менее актуальные примеры необходимости принятия коллективных решений в условиях противоречий при ограниченной априорной информации о частных решениях экспертов.
В настоящей статье развивается один из возможных подходов к решению таких задач.
Постановка задачи.
Пусть некоторый объект Z находится в одном из М возможных состояний (классов) V1 ,...,VM с известными априорными вероятностями P(V1),...,P(VM),
. Ясно, что если не располагать какой либо дополнительной информацией, то состояние Z всегда следует относить к классу, имеющему наибольшую априорную вероятность. В этом случае величина
P0 =1- max{P(V1),...,P(VM)}, (1)
определяет минимальную вероятность ошибочной классификации.
Предположим теперь, что имеется N экспертов (алгоритмов) A1,…, AN, которые на основании дополнительной информации независимо один от другого принимают решения δi(Z) о состоянии объекта Z в виде индикаторных функций
δi(Z) = k, если Ai решает в пользу Vk, i =1,…,N, k = 1,..M. (2)
Будем характеризовать “квалификации” экспертов вероятностями P(Ai) ошибочной классификации, которые считаются известными для всех N экспертов на основании предыдущего опыта. При этом, естественно, допустить, что эти вероятности удовлетворяют условиям
P(Ai) < P0 для всех i = 1 ,…, N (3)
Ставится задача построения коллективного решающего правила, основанного на частных решениях экспертов, которое минимизирует среднюю вероятность ошибочной классификации.
Решающее правило 1.
Рассмотрим вначале простейший случай, когда число экспертов N=2 и число возможных классов M=2. В этом случае возможны четыре комбинации частных решений экспертов:
S11: δ1(Z) = 1, δ2(Z) = 1;
S12: δ1(Z) = 1, δ2(Z) = 2;
S21: δ1(Z) = 2, δ2(Z) = 1;
S22: δ1(Z) = 2, δ2(Z) = 2.
Как видно в ситуациях S12 и S21 решения экспертов противоречивы. Возникает естественный вопрос: какое решение следует принимать, чтобы минимизировать вероятность ошибочной классификации?
На первый взгляд может показаться, что в условиях противоречий следует принимать то решение, которое принял более “квалифицированный” эксперт. В то же время оказывается, что в общем случае такой подход неправомерен.
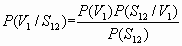
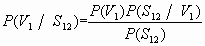
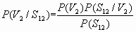
Для того, чтобы показать это, рассмотрим условные (апостериорные) вероятности P(V1/S12 ) и P(V2/S12 ) классов в ситуации S12. При этом для минимизации средней вероятности ошибочной классификации будем принимать окончательное решение в пользу класса V1, если
P(V1 / S12 ) > P(V2 / S12 ) , (4)
и решение в пользу V2 в противном случае.
По формуле Байеса имеем
,
.
Очевидно, что неравенство (4) имеет место в том и только в том случае , когда
P(V1)P(S12 / V1) > P(V2)P(S12 / V2) . (5)
По определению условная вероятность P(S12 / V1) есть ни что иное как вероятность того, что в ситуации, когда имеет место класс V1 , эксперт A2 принял правильное решение, а эксперт A1 ошибся. Поскольку мы предполагаем, что решения экспертов независимы, то по формуле произведения вероятностей
P(S12/V1) = [1-P(A1)]P(A2). (6)
Аналогичным образом
P(S12/V2 ) = P(A1)[1-P(A2)]. (7)
Неравенство (5) с учетом (6), (7), можно представить в виде:
P(V1)[1- P(A1) P(A2) > P(V2) P(A1) [1-P(A2)]. (8)
Из (8) вытекает, что в ситуации S12, когда решения экспертов противоречивы, объект Z следует относить к классу V1 в том и только том случае, когда
, (9)
где λ = P(V2)/P(V1) – отношение априорных вероятностей классов.
Если же выполняется соотношение
, (10)
то в ситуации S12 объект Z следует относить к классу V2
Для иллюстрации на рис. 1 показаны границы областей решений, построенные для ситуации S12 согласно условиям (9), (10) при различных значениях λ. Область решения в пользу класса V1 расположена выше соответствующей границы, а решений в пользу класса V2 – ниже соответствующей границы.
Рис. 1. Области решений для ситуации S12
1: λ = 9; 2: λ = 4; 3: λ =2.33; 4: λ =1.5; 5: λ = 1; 6: λ = 0.67;
7: λ = 0.43; 8: λ = 0.25; 9: λ = 0.11.
Аналогичным образом легко показать, что в ситуации S21 решение в пользу класса V1 следует принимать в том случае, когда
, (11)
а решение в пользу класса V2, когда
. (12)
Заметим, что из (9)-(12) непосредственно следует, что только при равновероятных классах, когда λ =1, окончательное решение совпадает с решением того из экспертов, который имеет меньшую вероятность ошибки.
В остальных же случаях, когда λ
1, т.е.
окончательное решение определяется не только соотношением вероятностей ошибок экспертов, но и соотношением априорных вероятностей классов. При этом окончательное решение может не совпадать с решением более “квалифицированного” эксперта.
Поскольку примеры часто бывают более убедительными, чем формальные рассуждения, поясним сказанное на модельном примере.
Модельный пример.
Пусть P(V1)=0.3, P(V2)=0.7, а значит λ. = 2.33. Пусть далее известно, что первый эксперт ошибается в 5% случаев, т.е. P(A1)=0.05, а второй - в 8% случаев, т.е. P(A2)=0.08. Предположим, что эксперт A1 отнес объект к классу V1, а эксперт A2 - к классу V2, т.е. мы имеем ситуацию S12 противоречивых решений. Заметим, что первый эксперт более “квалифицированный”, так как P(A1) < P(A2).
Как видно из рис. 1 точка с координатами P(A1)=0.05 и P(A2)=0.08, расположена ниже границы, соответствующей λ. = 2.33. Следовательно объект должен быть отнесен к классу V2, хотя более квалифицированный эксперт A1 принял противоположное решение.
Для проверки обоснованности решения в пользу класса V2 определим по формуле Байеса апостериорные вероятности классов в рассматриваемой ситуации S12 :
=
(13)
и
=
. (14)
Как видим P(V1/S12) < P(V2/S12), и значит объект действительно следует отнести к классу V2.
Изменим в условиях примера соотношения априорных вероятностей классов, положив P(V1) = 0.4, P(V2) = 0.6. В этом случае λ = 0.67 и, как видно из рис. 1, точка с координатами P(A1)=0.05 и P(A2)=0.08 попадает уже в область решений в пользу класса V1. В самом деле
=
и
=
,
т.е. P(V1/S12) > P(V2/S12). Значит в этом случае объект следует отнести к классу V2, что совпадает с решением более “квалифицированного” эксперта A1.
Характеристики
Тип файла документ
Документы такого типа открываются такими программами, как Microsoft Office Word на компьютерах Windows, Apple Pages на компьютерах Mac, Open Office - бесплатная альтернатива на различных платформах, в том числе Linux. Наиболее простым и современным решением будут Google документы, так как открываются онлайн без скачивания прямо в браузере на любой платформе. Существуют российские качественные аналоги, например от Яндекса.
Будьте внимательны на мобильных устройствах, так как там используются упрощённый функционал даже в официальном приложении от Microsoft, поэтому для просмотра скачивайте PDF-версию. А если нужно редактировать файл, то используйте оригинальный файл.
Файлы такого типа обычно разбиты на страницы, а текст может быть форматированным (жирный, курсив, выбор шрифта, таблицы и т.п.), а также в него можно добавлять изображения. Формат идеально подходит для рефератов, докладов и РПЗ курсовых проектов, которые необходимо распечатать. Кстати перед печатью также сохраняйте файл в PDF, так как принтер может начудить со шрифтами.















