151100 (732913), страница 4
Текст из файла (страница 4)
Термоядерные реакции в природе идут на звездах и, конечно, на Солнце. В условиях Земли они происходят при взрывах водородных бомб (термоядерное оружие), запалом для которых служит обычная атомная бомба, создающая условия для формирования сверхвысоких температур. Управляемый термоядерный синтез пока имеет только научно-исследовательскую направленность. Промышленных установок нет, однако работы в этом направлении ведутся во всех развитых странах, в том числе и в России.
11. Радиоактивность
Радиоактивностью называется самопроизвольное преобразование одних ядер в другие.
Спонтанный распад изотопов ядер в условиях природной среды называют естественной, а в условиях лабораторий в результате деятельности человека – искусственной радиоактивностью.
Естественную радиоактивность открыл французский физик Анри Беккерель в 1896г. Это открытие вызвало революцию в естествознании вообще и в физике в частности. Классическая физика XIX в. с ее убежденностью в неделимости атома ушла в прошлое, уступив место новым теориям.
Открытие и исследование явления радиоактивности связано также с именами Марии и Пьера Кюри. Этим исследователям в 1903 г. была присуждена Нобелевская премия по физике.
Искусственная радиоактивность открыта и исследована супругами Ирен и Фредериком Жолио-Кюри, которые в 1935г. также получили Нобелевскую премию.
Необходимо отметить, что принципиального различия между этими двумя типами радиоактивности нет.
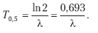
Для каждого радиоактивного элемента установлены количественные оценки. Так, вероятность распада одного атома в одну секунду характеризуется постоянной распада данного элемента л, а время, за которое распадается половина радиоактивного образца, называется периодом полураспада Г05.
Со временем число нераспавшихся ядер N убывает по экспоненциальному закону:
N = N0e-λt,
где N0 – число нераспавшихся ядер в момент времени t = t0 (то есть начальное число атомов), N – текущее значение числа нераспавшихся ядер.
Этот закон называется элементарным законом радиоактивного распада. Из него можно получить формулу для периода полураспада:
Число радиоактивных распадов в образце за одну секунду называют активностью радиоактивного препарата. Чаще всего активность обозначают буквой A тогда по определению:
где знак «-» означает убывание N во времени.
Единица активности в системе СИ – Беккерель (Бк): 1 Бк=1распад/1с. Часто на практике используется внесистемная единица – Кюри (Ки), 1 Ки = 3,7 · 1010 Бк.
Можно показать, что активность уменьшается во времени также по экспоненциальному закону:
A = A0 e-λt.
Список литературы:
-
Азимов А. Краткая история биологии. От алхимии до генетики: Пер. с англ. Л. А. Игоревского. – М.: ЗАО «Издательство Центрполиграф», 2002
-
Биология: Энциклопедия / Под ред. М. С. Гилярова. – М.: Большая Российская энциклопедия, 2003.
-
Горелов А. А. Концепции современного естествознания. – М., 2003.
-
Капке В. Б. Концепция современного естествознания. – М.: Логос, 2002.















