151100 (732913), страница 3
Текст из файла (страница 3)
где Δ – оператор Лапласа
m – масса частицы, h – постоянная Планка, E – полная энергия, U – потенциальная энергия.
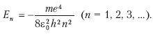
Уравнение Шредингера является дифференциальным уравнением второго порядка и имеет решение, которое указывает на то, что в атоме водорода полная энергия должна иметь дискретный характер: E1, E2, E3…
Эта энергия находится на соответствующих уровнях n =1,2,3,…по формуле:
Самый нижний уровень E соответствует минимальной возможной энергии. Этот уровень называют основным, все остальные – возбужденными.
По мере роста главного квантового числа n энергетические уровни располагаются теснее, полная энергия уменьшается, и при n = ∞ она равна нулю. При E>0 электрон становится свободным, несвязанным с конкретным ядром, а атом – ионизированным.
Полное описание состояния электрона в атоме, помимо энергии, связано с четырьмя характеристиками, которые называются квантовыми числами. К ним относятся: главное квантовое число п, орбитальное квантовое число l, магнитное квантовое число m1, магнитное спиновое квантовое число ms.
Волновая φ-функция, описывающая движение электрона в атоме, представляет собой не одномерную, а пространственную волну, соответствующую трем степеням свободы электрона в пространстве, то есть волновая функция в пространстве характеризуется тремя системами. Каждая из них имеет свои квантовые числа: п, l, ml.
Каждой микрочастице, в том числе и электрону, также свойственно собственное внутреннее сложное движение. Это движение может характеризоваться четвертым квантовым числом ms. Поговорим об этом подробнее.
A. Главное квантовое число п, согласно формуле, определяет энергетические уровни электрона в атоме и может принимать значения п = 1, 2, 3…
Б. Орбитальное квантовое число /. Из решения уравнения Шредингера следует, что момент импульса электрона (его механический орбитальный момент) квантуется, то есть принимает дискретные значения, определяемые формулой
где Ll – момент импульса электрона на орбите, l – орбитальное квантовое число, которое при заданном п принимает значение i = 0, 1, 2… (n – 1) и определяет момент импульса электрона в атоме.
B. Магнитное квантовое число ml. Из решения уравнения Шредингера следует также, что вектор Ll (момент импульса электрона) ориентируется в пространстве под влиянием внешнего магнитного поля. При этом вектор развернется так, что его проекция на направление внешнего магнитного поля будет
Llz = hml
где ml называется магнитным квантовым числом, которое может принимать значения ml = 0, ±1, ±2,±1, то есть всего (2l + 1) значений.
Учитывая сказанное, можно сделать заключение о том, что атом водорода может иметь одно и то же значение энергии, находясь в нескольких различных состояниях (n – одно и то же, а l и ml– разные).
При движении электрона в атоме электрон заметно проявляет волновые свойства. Поэтому квантовая электроника вообще отказывается от классических представлений об электронных орбитах. Речь идет об определении вероятного места нахождения электрона на орбите, то есть местонахождение электрона может быть представлено условным «облаком». Электрон при своем движении как бы «размазан» по всему объему этого «облака». Квантовые числа n и l характеризуют размер и форму электронного «облака», а квантовое число ml– ориентацию этого «облака» в пространстве.
В 1925 г. американские физики Уленбек и Гаудсмит доказали, что электрон также обладает собственным моментом импульса (спином), хотя мы не считаем электрон сложной микрочастицей. Позднее выяснилось, что спином обладают протоны, нейтроны, фотоны и другие элементарные частицы
Опыты Штерна, Герлаха и других физиков привели к необходимости характеризовать электрон (и микрочастицы вообще) добавочной внутренней степенью свободы. Отсюда для полного описания состояния электрона в атоме необходимо задавать четыре квантовых числа: главное – п, орбитальное – l, магнитное – ml, магнитное спиновое число – ms.
В квантовой физике установлено, что так называемая симметрия или асимметрия волновых функций определяется спином частицы. В зависимости от характера симметрии частиц все элементарные частицы и построенные из них атомы и молекулы делятся на два класса. Частицы с полуцелым спином (например, электроны, протоны, нейтроны) описываются асимметричными волновыми функциями и подчиняются статистике Ферми—Дирака. Эти частицы называются фермионами. Частицы с целочисленным спином, в том числе и с нулевым, такие как фотон (Ls =1) или л-мезон (Ls = 0), описываются симметричными волновыми функциями и подчиняются статистике Бозе– Эйнштейна. Эти частицы называются бозонами. Сложные частицы (например, атомные ядра), составленные из нечетного числа фермионов, также являются фермионами (суммарный спин – полуцелый), а составленные из четного – бозонами (суммарный спин – целочисленный).
8. Многоэлектронный атом. Принцип Паули
В многоэлектронном атоме, заряд которого равен Ze, электроны будут занимать различные «орбиты» (оболочки). При движении вокруг ядра Z-электроны располагаются в соответствии с квантово-механическим законом, который называется принципом Паули (1925 г.). Он формулируется так:
► 1. В любом атоме не может быть двух одинаковых электронов, определяемых набором четырех квантовых чисел: главного n, орбитального /, магнитного m и магнитного спинового ms.
► 2. В состояниях с определенным значением могут находиться в атоме не более 2n2 электронов.
Значит, на первой оболочке («орбите») могут находиться только 2 электрона, на второй – 8, на третьей – 18 и т. д.
Таким образом, совокупность электронов в многоэлектронном атоме, имеющих одно и то же главное квантовое число n, называют электронной оболочкой. В каждой из оболочек электроны располагаются по подоболочкам, которые соответствуют определенному значению /. Так как орбитальное квантовое число l принимает значения от 0 до (п – 1), число подоболочек равно порядковому номеру оболочки п. Количество электронов в подоболочке определяется магнитным квантовым числом ml и магнитным спиновым числом ms.
Принцип Паули сыграл выдающуюся роль в развитии современной физики. Так, например, удалось теоретически обосновать периодическую систему элементов Менделеева. Без принципа Паули невозможно было бы создать квантовые статистики и современную теорию твердых тел.
9. Квантово-механическое обоснование Периодического закона Д.И. Менделеева
В 1869 г. Д. И. Менделеев открыл периодический закон изменения химических и физических свойств элементов в зависимости от их атомных масс. Д. И. Менделеев ввел понятие порядкового номера Z-элемента и, расположив химические элементы в порядке возрастания их номера, получил полную периодичность в изменении химических свойств элементов. Физический смысл порядкового номера Z-элемента в периодической системе был установлен в ядерной модели атома Резерфорда: Z совпадает с числом положительных элементарных зарядов в ядре (протонов) и, соответственно, с числом электронов в оболочках атомов.
Принцип Паули дает объяснение Периодической системы Д. И. Менделеева. Начнем с атома водорода, имеющего один электрон и один протон. Каждый последующий атом будем получать, увеличивая заряд ядра предыдущего атома на единицу (один протон) и добавляя один электрон, который мы будем помещать в доступное ему, согласно принципу Паули, состояние.
У атома водорода Z = 1 на оболочке 1 электрон. Этот электрон находится на первой оболочке (K-оболочка) и имеет состояние 1S, то есть у него n =1,а l =0(S-состояние), m = 0, ms = ±l/2 (ориентация его спина произвольна).
У атома гелия (Не) Z = 2, на оболочке 2 электрона, оба они располагаются на первой оболочке и имеют состояние 1S, но с антипараллельной ориентацией спинов. На атоме гелия заканчивается заполнение первой оболочки (K-оболочки), что соответствует завершению I периода Периодической системы элементов Д. И. Менделеева. По принципу Паули, на первой оболочке больше 2 электронов разместить нельзя.
У атома лития (Li) Z = 3, на оболочках 3 электрона:2—на первой оболочке (К-оболочке)и1—на второй (L-оболочке). На первой оболочке электроны в состоянии 1S, а на второй – 2S. Литием начинается II периодтаблицы.
У атома бериллия (Be) Z = 4, на оболочках 4 электрона: 2 на первой оболочке в состоянии IS и 2 на второй в состоянии 2S.
У следующих шести элементов – от В (Z = 5) до Ne(Z = 10) – идет заполнение второй оболочки, при этом электроны находятся как в состоянии 2S, так и в состоянии 2р (у второй оболочки образуется 2 под-оболочки).
У атома натрия (Na) Z = 11. У него первая и вторая оболочки, согласно принципу Паули, полностью заполнены (2 электрона на первой и 8 электронов на второй оболочках). Поэтому одиннадцатый электрон располагается на третьей оболочке (М-оболочке), занимая наинизшее состояние 3S. Натрием открывается III период Периодической системы Д. И. Менделеева. Рассуждая подобным образом, можно построить всю таблицу.
Таким образом, периодичность в химических свойствах элементов объясняется повторяемостью в структуре внешних оболочек у атомов родственных элементов. Так, инертные газы имеют одинаковые внешние оболочки из 8 электронов.
10. Основные понятия ядерной физики
Ядра всех атомов можно разделить на два больших класса: стабильные и радиоактивные. Последние самопроизвольно распадаются, превращаясь в ядра других элементов. Ядерные преобразования могут происходить и со стабильными ядрами при их взаимодействии друг с другом и с различными микрочастицами.
Любое ядро заряжено положительно, и величина заряда определяется количеством протонов в ядре Z (зарядовое число). Количество протонов и нейтронов в ядре определяет массовое число ядра A. Символически ядро записывается так:
где X – символ химического элемента. Ядра с одинаковыми зарядовым числом Z и разными массовыми числами A называются изотопами. Например, уран в природе встречается в основном в виде двух изотопов
Изотопы обладают одинаковыми химическими свойствами и разными физическими. Например, изотоп урана 23592U хорошо взаимодействуют с нейтроном 10n любых энергий и может разделиться на два более легких ядра. В то же время изотоп урана 23892U делится только при взаимодействии с нейтронами высоких энергий, более 1 мегаэлектроновольта (МэВ) (1 МэВ = 1,6 · 10-13 Дж). Ядра с одинаковыми A и разными Z называются изобарами.
В то время как заряд ядра равен сумме зарядов входящих в него протонов, масса ядра не равна сумме масс отдельных свободных протонов и нейтронов (нуклонов), она несколько меньше ее. Это объясняется тем, что для связи нуклонов в ядре (для организации сильного взаимодействия) требуется энергия связи E. Каждый нуклон (и протон и нейтрон), попадая в ядро, образно говоря, выделяет часть своей массы для формирования внутриядерного сильного взаимодействия, которое «склеивает» нуклоны в ядре. При этом, согласно теории относительности (см. главу 3), между энергией E и массой m существует соотношение E = mc2,где с – скорость света в вакууме. Так что формирование энергии связи нуклонов в ядре Eсв приводит к уменьшению массы ядра на так называемый дефект массы Δm = Eсв · c2. Эти представления подтверждены многочисленными экспериментами. Построив зависимость энергии связи на один нуклон E св/ A = ε от числа нуклонов в ядре A, мы сразу увидим нелинейный характер этой зависимости. Удельная энергия связи ε с ростом A сначала круто возрастает (у легких ядер), затем характеристика приближается к горизонтальной (у средних ядер), а далее медленно снижается (у тяжелых ядер). У урана ε ≈ 7,5 МэВ, а у средних ядер ε ≈ 8,5 МэВ. Средние ядра наиболее устойчивы, у них большая энергия связи. Отсюда открывается возможность получения энергии при делении тяжелого ядра на два более легких (средних). Такая ядерная реакция деления может осуществиться при бомбардировке ядра урана свободным нейтроном. Например, 23592U делится на два новых ядра: рубидий37-94Rb и цезий 14055Cs (один из вариантов деления урана). Реакция деления тяжелого ядра замечательна тем, что помимо новых более легких ядер появляются два новых свободных нейтрона, которые называют вторичными. При этом на каждый акт деления приходится 200 МэВ выделяющейся энергии. Она выделяется в виде кинетической энергии всех продуктов деления и далее может быть использована, например, для нагревания воды или другого теплоносителя. Вторичные нейтроны в свою очередь могут вызвать деление других ядер урана. Образуется цепная реакция, в результате которой в размножающей среде может выделиться огромная энергия. Этот способ получения энергии широко используется в ядерных боеприпасах и управляемых ядерных энергетических установках на электростанциях и на транспортных объектах с атомной энергетикой.
Помимо указанного способа получения атомной (ядерной) энергии есть и другой – слияние двух легких ядер в более тяжелое ядро. Процесс объединения легких ядер может происходить лишь при сближении исходных ядер на расстояние, где уже действуют ядерные силы (сильное взаимодействие), то есть ~ 10– 15 м. Этого можно достигнуть при сверхвысоких температурах порядка 1 000 000C. Такие процессы называют термоядерными реакциями.















