151009 (732882), страница 3
Текст из файла (страница 3)
Взаимодействие металлических конструкционных материалов с жидкими металлами, содержащими неметаллические примеси
При рассмотрении возможности применения жидкого металла или расплава основным критерием его совместимости с конструкционным материалом может быть величина равновесной растворимости компонентов последнего в жидкой фазе. Однако вследствие несовершенства методов определения малых величин растворимостей, более достоверные данные о влиянии неметаллических примесей на совместимость жидкого металла (расплава) с конструкционным материалом во многих случаях удается получить из результатов исследования переноса массы в гетерогенных условиях.
Известно, что при изотермическом переносе массы в системе из двух чистых металлов (в твердом состоянии), разделенных жидкометаллическим расплавом, изменение массы единицы поверхности каждого из них является функцией растворимостей как первого, так и второго металлов в жидкой фазе4.
В результате экспериментального исследования массопереноса в жидком натрии установлена корреляция между величинами параметров взаимодействия первого порядка атомов растворяющегося твердого металла с атомами неметаллического элемента в жидкой фазе и направлением преимущественного переноса массы в гетерогенной системе. Если расположить металлы (твердые в рассматриваемом диапазоне температур), являющиеся компонентами гетерогенных систем Fe-Ni-Na-O, Fe-Nb-Na-O и Fe-Mo-Na-O, в порядке возрастания абсолютных значений параметра взаимодействия с кислородом в разбавленных растворах на основе натрия при 800ОС, то получается следующий ряд: Ni, Mo, Fe, Nb. Проведенные эксперименты показали, что в исследованных системах преимущественный перенос массы происходит от металла с наибольшим значением параметра взаимодействия к металлу, у которого абсолютное значение этого параметра меньше. Сравнение рассчитанных величин параметров взаимодействия первого порядка с экспериментальными данными, имеющимися в литературе, показывает, что установленная закономерность справедлива и для систем на основе лития, в которых в качестве примеси присутствует азот.
Результаты расчета параметров взаимодействия первого порядка в разбавленных растворах систем натрий – ниобий – кислород и калий – ниобий – кислород согласуются с величинами определенными экспериментально. Системы Na-Nb-O и K-Nb-O относятся именно к той группе систем, где за счет сильного взаимодействия между атомами кислорода и ниобия, расчеты по стандартной методике приводят к существенно завышенным значениям коэффициента распределения кислорода между ниобием и жидким щелочным металлом по сравнению экспериментальными величинами. Расчет с использованием уравнений координационно-кластерной модели для трехкомпонентных растворов позволяет преодолеть это несоответствие.
Из анализа результатов расчета и имеющихся экспериментальных данных по определению растворимости ниобия в жидком калии следует, что в системе K-Nb-О при 600ОС образования двойного оксида ниобия и калия не происходит, по крайней мере, до концентрации 0,22% кислорода в калии.
Полученные в результате расчетов большие по абсолютной вели-чине отрицательные значения параметров взаимодействия с азотом в системах Li-Fe-N, Li-Cr-N и Li-Mo-N качественно подтверждаются имеющимися экспериментальными данными по влиянию примеси азота на совместимость железа, хрома и молибдена с жидким литием. Величины пороговой концентрации образования тройного соединения лития с хромом и азотом свидетельствуют о том, что образование Li9CrN5 необходимо учитывать при рассмотрении условий равновесия в системах, где присутствуют литий, хром и азот. Из уравнений модели также следует, что растворимость никеля в литии при температурах 300-900ОС практически не зависит от содержания азота в жидком металле. В системах на основе лития, где неметаллическим компонентом является водород, параметры взаимодействия принимают существенно меньшие по абсолютной величине значения, чем в системах, состоящих из тех же металлических компонентов, но с азотом в качестве элемента внедрения. Это свидетельствует о более слабом влиянии водорода на растворимость металлов в литии. Если расположить твердые металлы, являющиеся компонентами систем Li-Ni-H, Li-Nb-H, Li-V-H, Li-Cr-H и Li-Fe-H, в порядке возрастания абсолютных значений параметра взаимодействия с водородом при 550ОС, то получим следующий ряд: Ni, Cr, Fe, V, Nb.
Рис. 6. Температурная зависимость растворимости никеля (1), хрома (2), ванадия (3), железа (4) и ниобия (5) в чистом литии и литии с 0,05% водорода (- - - -)
Проведенные расчеты показали (рис. 6), что влияние примеси водорода на растворимость металлов в литии могло бы проявиться только в области относительно низких температур, где абсолютные значения растворимости чрезвычайно низки. В то же время имеющиеся данные свидетельствуют о том, что примесь водорода в литии может существенно влиять на процессы перераспределения других примесей внедрения (азот, углерод) в гетерогенных системах.
Совместимость металлических материалов с двухкомпонентными
металлическими расплавами
Известно, что совместимость конструкционного материала с металлическим расплавом в значительной степени зависит от величин равновесной растворимости компонентов этого материала в жидкой фазе. Если для жидких легкоплавких металлов (Na, K, Li) имеются экспериментальные данные, позволяющие оценить их совместимость с конструкционными материалами различных классов, то для двухкомпонентных расплавов (Li-Pb и др.), применение которых возможно, необходимые сведения в большинстве случаев отсутствуют. Дополнительные затруднения возникают при наличии в расплавах неметаллических примесей – кислорода, азота, водорода, которые сильно влияют на совместимость жидких и твердых металлов. Для предварительной оценки совместимости конструкционных материалов с многокомпонентными расплавами в настоящей работе предложена методика расчета растворимости твердых металлов в чистых двухкомпонентных расплавах, а также в расплавах, содержащих неметаллические примеси.
Используя разложение в ряд Тейлора избыточной парциальной мольной энергии Гиббса третьего компонента, получено выражение, позволяющее учесть в первом приближении влияние неметаллической примеси в расплаве5 на растворимость твердого металла А3 в жидкой фазе:
, (6)
где
– растворимость А3 в расплаве, содержащем x4 мольных долей неметаллического компонента;
– растворимость А3 в расплаве того же состава, но не содержащем примесей неметаллов;
– удельный параметр взаимодействия. Следует отметить, что уравнение (6) справедливо только для систем, в которых компоненты А1 и А2 не образуют твердых растворов с А3.
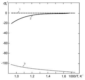
Рис. 7. Температурные зависимости удельных параметров взаимодействия
,
и
в системах Li-Pb-Ni-O,
Li-Pb-Fe-O и Li-Pb-Cr-O вблизи состава хLi=0,17 и xPb=0,83
Расчеты, проведенные для расплавов эвтектического состава Li17Pb83, находящихся в контакте с хромом, никелем и железом, показали (рис. 7), что в гетерогенных системах наибольшее влияние примесь кислорода должна оказывать на перенос хрома между материалами и практически не оказывать никакого эффекта на растворение и перенос никеля в расплаве.
Такие результаты находятся в соответствии с экспериментальными наблюдениями (T.Flament, P.Tortorerelli, V.Coen, H.U.Borgstedt – J. Nucl. Mater. - 1992. - V.191-194. – Part A. - P. 132) . Учитывая очень низкую растворимость кислорода в расплаве Li17Pb83 (менее 1·10-4 % ат. при 550ОС), более обоснованным можно считать коррозионный механизм, который предполагает сильную зависимость константы скорости растворения хрома от содержания кислорода в расплаве. Основываясь на имеющихся экспериментальных данных, нельзя исключить возможности того, что промежуточной ступенью, контролирующей скорость растворения твердого металла в расплаве, является образование тройного соединения хрома с литием и кислородом на начальной стадии процесса.
Выбор эвтектического расплава Na-K был обусловлен наличием большого, по сравнению с другими двухкомпонентными расплавами, накопленного экспериментального материала по исследованию его совместимости с твердыми металлами. В двойном эвтектическом расплаве натрий – калий расчеты по уравнениям ОККМ привели к большим величинам удельного параметра взаимодействия между атомами хрома и кислорода в жидкой фазе, что свидетельствует о сильной зависимости растворимости хрома в расплаве натрий – калий от содержания неметаллической примеси. Примесь кислорода в жидкой фазе практически не оказывает влияния на растворимость и перенос чистого никеля в расплаве (в отличие от Fe и Cr). В целом, расчеты подтвердили, что по степени влияния кислорода на растворимость компонентов конструкционных материалов натрий – калиевый сплав близок к натрию.
Совместимость керамических материалов с двухкомпонентными
металлическими расплавами
При рассмотрении возможности применения керамического материала в условиях, когда последний находится в контакте с жидким металлом или его парами, удобным критерием является равновесная концентрация неметаллического компонента в жидком металле, при которой химическое соединение стабильно в среде жидкого металла.
Для предварительной оценки совместимости керамических материалов с двухкомпонентными металлическими расплавами в настоящей работе предлагается методика расчета равновесной концентрации неметаллического компонента во всем концентрационном диапазоне бинарной системы.
Рассматривая термодинамическое равновесие между химическим соединением АmBn и жидкометаллическим расплавом, содержащим хLi мольных долей лития и хPb мольных долей свинца, было получено следующее выражение для расчета равновесной концентрации компонента В в расплаве
. (7)
Вычисления
проводились в приближении субрегулярных растворов для трехкомпонентных систем, используя следующее уравнение
, (8)
где A(Li-Pb-A) – коэффициент активности металлического компонента А в трехкомпонентной системе Li-Pb-A; хLi и хPb – мольные доли лития и свинца в трехкомпонентной системе Li-Pb-A; Е = ЕLi-A + EPb–A – ELi-Pb; ЕLi-A , ELi-B и ELi-Pb – энергии взаимообмена для соответствующих пар атомов в бинарных системах (для ELi-Pb учитывалась зависимость от состава расплава). Вычисления значений коэффициента активности неметаллического компонента В в системе Li – Pb – B проводились по уравнениям координационно-кластерной модели для трехкомпонентных расплавов.
Результаты расчета для системы SiC – расплав Li17Pb83 (рис. 8) показали, что при температурах, не превышающих 1150 К, равновесная концентрация углерода для SiC ниже концентрации насыщения углерода в расплаве. Это означает, что при содержаниях углерода, превышающих пороговое (выше сплошной кривой), соединение SiC должно быть стабильным в Li17Pb83 при этих температурах. При температуре 932 К существует область концентраций углерода в жидкой фазе, где соединение SiC является стабильным во всем концентрационном интервале двойной системы Li–Pb (рис. 9).
С помощью уравнений координационно-кластерной модели проанализировано влияние температуры на характер межатомных взаимодействия в расплавах Li-Pb. Модель позволяет оценивать долю атомов сi углерода, находящихся в кластерах определенного состава С(Lij Pbk Sil). Вероятности различных кластеров рассчитывались при очень низкой концентрации кремния в расплаве (хSi = 10-10 мольн. долей), которая близка к равновесной для соединения SiC при температурах 800-900 К. Как следует из результатов расчета, доля межатомных связей типа литий-углерод возрастает с понижением температуры расплава эвтектического состава. Вероятность образования кластеров различного состава, содержащих атом кремния в первой координационной сфере атома углерода, также возрастает при низких температурах расплава (рис. 10). Величины удельного параметра взаимодействия
с понижением температуры изменяются аналогичным образом. Равновесная концентрация углерода для соединения SiC растет с повышением температуры, что свидетельствует о снижении термодинамической стабильности этого соединения в расплавах. Таким образом, наблюдается корреляция между равновесной концентрацией углерода в жидком металле для системы SiC - расплав Li-Pb и количеством парных связей между атомами углерода и кремния в этом расплаве.
,
и
в системах Li-Pb-Ni-O, 














