151008 (732881)
Текст из файла
Термины и единицы измерения при описании электрического тока
Единицы измерения электрического тока
Единица измерения, используемая для выражения скорости потока жидкости, в определенной степени дело вкуса; можно измерять поток воды через трубу, например, в кубических футах в минуту, хотя в некоторых случаях миллиметры в час подходят больше. Сила электрического тока обычно измеряется в кулонах в секунду или в амперах (сокращенно А). Одни кулон соответствует заряду, содержащемуся в 6,24· 1018 электронах. В электрических цепях и уравнениях ток обычно обозначается I или i. Как поток воды, ток векторная величина, иначе говоря, он имеет определенное направление. Направление тока часто обозначают стрелками, как на графике 1, всегда предполагая, что ток движется от положительного к отрицательному полюсу батареи.
Что означают термины положительный или отрицательный применительно к электрическому току? Здесь аналогия с гидравликой не помогает. В данном случае стоит представить эффект тока, проходящего через химический раствор. Например, представим, что две медные проволоки погружены в раствор сульфата меди н соединены с положительными и отрицательными полюсами батареи. Ионы меди в растворе, отталкиваясь от положительно заряженной проволоки, проходят к отрицательно заряженному стержню. Положительные ионы меди движутся в направлении условно принятом для тока: от положительного полюса к отрицательному. Одновременно ионы сульфата передвигаются в противоположном направлении и накапливаются на положительно заряженной проволоке. В таком случае направление, заданное току, соответствует направлению, в котором движутся положительные заряды в цепи; отрицательные заряды передвигаются в противоположном направлении.
Аналогия с гидравликой также полезна при объяснении источника энергии для тока и понятия электрического потенциала. Поток жидкости, изображенный на рис. 1, зависит от разности давления. Движение тока происходит от области высокого давления по направлению к области с низким давлением. При равном давлении в этих областях движение практически отсутствует. Общее давление в цепи обеспечивается использованием энергии насоса. В электрической цепи, изображенной здесь, «электрическое давление», или потенциал, обеспечивается батареей, в которой запасена химическая энергия. Гидравлическое давление измеряется в г/см2, а электрический потенциал в вольтах.
Символы, использованные в диаграммах параллельных и последовательных электрических цепей, проиллюстрированы на рис. 2. В соответствии с названиями, вольтметр измеряет электрический потенциал и является эквивалентом измерения давления в гидравлике; амперметр измеряет силу тока в цепи и соответствует флоуметру.
| Рис. 1. Гидравлические и электрические цепи. (А, В) соответствующие цепи для для тока воды и электрического тока. Батарея аналогична насосу, который работает при постоянном давлении, переключатель соответствует крану в гидравлической линии, а сопротивления — сужениям трубы. |
|
| Рис. 2. Обозначения, применяемые в схемах электрических цепей. |
|
| Рис. 3. Закон Ома в простой цепи. (А) Ток I = (10V)/(10) = 1A. (В) Ток I = (10V)/(20) = 0,5 А, и напряжение на каждом сопротивлении 5 V. |
|
Закон Ома и электрическое сопротивление
В гидравлических системах, по крайней мере в идеальных условиях, количество тока, проходящего через систему, увеличивается с давлением. Отношение между давлением и скоростью течения тока определяется сопротивлением, собственной характеристикой трубы. Длинные трубы маленького диаметра обладают большим сопротивлением, чем короткие трубы большого диаметра. Аналогичным образом, прохождение тока в электрических цепях зависит от сопротивления цепи. Опять же, тонкие длинные провода обладают большим сопротивлением, чем широкие короткие. Если ток проходит через ионный раствор, его сопротивление увеличится при меньшей концентрации раствора. Это происходит потому, что менее концентрированный раствор имеет меньше ионов, способных переносить электрический ток. В проводниках, таких как металлическая проволока, отношение между током и разностью потенциалов описывается законом Ома, сформулированным в 1820 году. Согласно этому закону, величина тока I, проходящего через проводник, прямо пропорциональна приложенной к нему разности потенциалов, согласно уравнению I = V/R, где R — сопротивление провода.
| Рис. 4. Параллельные сопротивления. Кода R1 и R3 параллельно включены в цепь, падение напряжения на каждом сопротивлении равно 10 V, а общий ток цепи 2 А. . |
|
Если I измеряется в амперах, V в вольтах, то единицей измерения R является ом (Ом). Величина, обратная сопротивлению, называется проводимостью, и является отражением того, с какой легкостью проходит ток через проводник. Проводимость обозначается g и равна 1/R; единицей измерения проводимости является сименс (См). Таким образом, закон Ома можно также записать в форме I = gV.
Применение закона Ома при расчетах (цепей)
Закон Ома действителен, когда кривая зависимости тока от потенциала представлена прямой линией. В любом контуре или той его части, для которой выполнено это условие, можно вычислить каждую переменную, если известны две другие. Например:
1. Можно пропустить известный ток через нервную мембрану, измерить изменение потенциала и затем вычислить сопротивление мембраны по формуле
R = V/I.
2. Измеряя разницу потенциала, производимую неизвестным током, и зная сопротивление мембраны, можно вычислить ток, используя формулу I = V/R.
3. Пропустив известный ток через мембрану и зная ее сопротивление, можно вычислить изменение потенциала:
V = IR.
Необходимо упомянуть два простых, но важных правила (законы Кирхгофа).
1. Алгебраическая сумма всех токов, направленных к одному узлу, равна нулю. Например, в точке а на рис. 4
что означает, что
I[ota] (входящий) = -IR1 - IR3(выходящий),
(это просто означает, что заряд не производится и не разрушается в каком-либо месте цепи).
2. Алгебраическая сумма напряжений батарей равна алгебраической сумме всех IR падений напряжения в цепи. Пример этого показан на рис. 3В:
V = IR1, + IR2
(это соответствует закону сохранения энергии). Теперь мы можем изучить более детально цепи на рис. 3 и 4, которые необходимы для создания модели мембраны. На рис. 3А изображена батарея (V) на 10 вольт, связанная с сопротивлением (резистором) R в 10 Ом. Переключатель S можно размыкать и замыкать, прерывая или устанавливая таким образом прохождение тока. Напряжение на Я равно 10 вольт, поэтому ток I, измеренный амперметром, согласно закону Ома, равен 1,0 ампер. На рис. 3В один резистор заменен двумя резисторами R1 и R2, соединенными последовательно. По первому закону Кирхгофа, ток, входящий в точке b, должен быть равен току, выходящему из нее. Поэтому через оба сопротивления должен проходить одинаковый ток I. Согласно второму закону Кирхгофа, IR1 +IR2 = V (10В). Следовательно, ток I = V/(R1 + R2) = 0,5 А. Тогда напряжение в b на 5 В больше, чем напряжение в с, а в а на 5В больше, чем в b. Следует заметить, что, поскольку есть только один путь для тока, полное сопротивление, воспринимаемое со стороны батареи, равно просто сумме сопротивлений двух резисторов, то есть
Что произойдет, если, как показано на рис. 4, мы добавим второе сопротивление, также 10 ом, включенное параллельно, а не последовательно? В пепи два резистора R1 и R2 обеспечивают отдельные пути для тока. Оба находятся под напряжением 10 В, так что соответствующие значения тока будут:
Следовательно, для удовлетворения первого закона Кирхгофа в точку а должно поступать 2 А и 2 А должны выходить из точки Ь. Амперметр в таком случае будет показывать 2 А. Комбинированное сопротивление R1 и R3 равно
R[ota] = V/I = (10 В)/(2 А) = 5 Ом,
или половине отдельных сопротивлений. Это имеет смысл, если подумать об аналогии в гидравлике: две трубы в параллели предоставят меньшее сопротивление потоку, чем одна из этих труб в одиночку. В электрической цепи в параллели проводимости суммируются:
g[ota] = g1 + g3, или I /R[ota] = 1 /R1 + 1 /R3.
Если теперь мы обобщим для любого количества (n) резисторов, сопротивления в случае последовательного соединения просто суммируются:
| Рис. 5. Аналоговая схема мембраны нервной клетки. На А и В сопротивления R1 и R2 поменяны местами, в остальном цепи одинаковы. Источники V1 и V2 включены последовательно. На (А) точка b (потенциал «внешней» стороны мембраны) положительно заряжен относительно точки d («внутренняя» сторона) на 85 mV; на (В) — на 35 mV. Эти цепи иллюстрируют как изменения сопротивления изменяют потенциал при неизменном источнике тока (который представляет равновесные потенциалы ионов). |
А при параллельном соединении сопротивлений складываются обратные величины:
Применение анализа цепи к модели мембраны
На рис. 5А показана цепь, сходная с цепями, которые используются для представления нервных мембран. Следует заметить, что две батареи поставляют ток в цепь в одинаковом направлении, и что сопротивления R1 и R2 соединены последовательно. Какова разность потенциалов между точками b и d (которые представляют внутреннюю и внешнюю среду мембраны)? Полная разность потенциалов на двух резисторах между а и с равна 150 мВ, при этом точка а положительна по отношению к с. Следовательно, ток протекающий из а в с через резистор равен 150 мВ/100000 Ом = 1,5 мкА. Когда 1,5 мкА проходит через 10000 Ом. как между а и Ь, происходит падение потенциала в 15 мВ, если точка а положительна по отношению к Ь. Разница потенциалов между внутренней и внешней средой равна, следовательно, 100 мВ - 15 мВ = 85 мВ. Можно получить тот же результат, вычислив падение потенциала после прохождения R2 (1,5 мкА x 90000 Ом = 135 мВ) и прибавив его к V2 ( 135 мВ - 50 мВ = 85 мВ). Это должно быть так, потому что потенциал между b и d должен иметь единое значение.
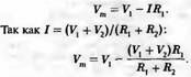
На рис. 5В R1, и R2 поменялись местами. Так как общее сопротивление в цепи остается прежним, ток тоже должен быть таким же, как на рис. 5А, то есть 1,5мкА. Теперь падение потенциала после прохождения Л2, между а и Ь, равно 90 000 Ом x 1,5 мкА = 135 мВ, точка а положительна по отношению к Ь. Теперь потенциал мембраны 100 мВ - 135 мВ = -35 мВ — отрицательный; тот же результат можно, конечно, получить используя ток, проходящий через R1. Эта простая цепь иллюстрирует важный пункт физиологии мембран: потенциал мембраны может меняться в результате изменения сопротивлений, при том что батареи остаются неизмененными. Общее описание мембранного потенциала в цепи, изображенной на рис. 5А, можно получить таким способом:
Преобразовав получим:
Электрическая емкость и постоянная времени
Характеристики
Тип файла документ
Документы такого типа открываются такими программами, как Microsoft Office Word на компьютерах Windows, Apple Pages на компьютерах Mac, Open Office - бесплатная альтернатива на различных платформах, в том числе Linux. Наиболее простым и современным решением будут Google документы, так как открываются онлайн без скачивания прямо в браузере на любой платформе. Существуют российские качественные аналоги, например от Яндекса.
Будьте внимательны на мобильных устройствах, так как там используются упрощённый функционал даже в официальном приложении от Microsoft, поэтому для просмотра скачивайте PDF-версию. А если нужно редактировать файл, то используйте оригинальный файл.
Файлы такого типа обычно разбиты на страницы, а текст может быть форматированным (жирный, курсив, выбор шрифта, таблицы и т.п.), а также в него можно добавлять изображения. Формат идеально подходит для рефератов, докладов и РПЗ курсовых проектов, которые необходимо распечатать. Кстати перед печатью также сохраняйте файл в PDF, так как принтер может начудить со шрифтами.















