150956 (732864), страница 2
Текст из файла (страница 2)
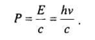
которое называется формулой Эйнштейна. Отсюда вытекает, что в случае, когда работа выхода А превышает энергию кванта hv, электроны не могут покинуть металл. Следовательно, для возникновения фотоэффекта необходимо, чтобы энергия кванта была больше работы выхода. Частота v0, ниже которой не наблюдается фотоэффект, называется красной границей фотоэффекта. Эйнштейн выдвинул гипотезу, что свет распространяется в виде дискретных частиц, названных световыми квантами. Впоследствии эти частицы получили название фотонов. Энергия фотона определяется его частотой Е = hv, масса покоя фотона равна нулю, и фотон всегда движется со скоростью с. Сказанное означает, что фотон представляет собой частицу особого рода, отличную от таких частиц, как электрон, протон и т.п., которые могут существовать, двигаясь со скоростями, меньшими с, и даже покоясь. [2, с.173]
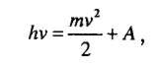
Поток фотонов, падающих перпендикулярно на поглощающую свет поверхность, оказывает на нее давление. Если плотность фотонов равна n, то давление света равно Р = nΕ = nhv, так как каждый фотон сообщает стенке импульс
Особенно отчетливо проявляются корпускулярные свойства света в явлении, которое получило название эффекта Комптона. В 1923 г.А. Комптон, исследуя рассеяние рентгеновских лучей различными веществами, обнаружил, что в рассеянных лучах наряду с излучением первоначальной длины волны содержатся также лучи большей длины волны. Разность между этими длинами волн оказалась зависящей только от угла, образуемого направлением рассеянного излучения с направлением первичного пучка. От первоначальной длины волны и от природы рассеивающего вещества разность им волн не зависит. Все особенности эффекта Комптона можно объяснить, рассматривая рассеяние как процесс упругого столкновения рентгеновских фотонов с практически ободными электронами. Свободными можно считать слабее всего связанные с атомами электроны, энергия связи которых значительно меньше той энергии, которую фотон может передать электрону при соударении. Таким образом, мы рассмотрели ряд явлений, в которых свет ведет себя как поток частиц (фотонов). Однако не надо забывать, что такие явления, как интерференция и дифракция света, могут быть объяснены только на основе волновых представлений. Таким образом, свет обнаруживает корпускулярно-волновой дуализм (двойственность): в одних явлениях проявляется его волновая природа, и он ведет себя как электромагнитная волна, в других явлениях проявляется корпускулярная природа света, и он ведет себя как поток фотонов. [2, с.174]
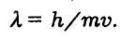
Новый радикальный шаг в развитии физики был связан с распространением корпускулярно-волнового дуализма на мельчайшие частицы вещества - электроны, протоны, нейтроны и другие микрообъекты. В классической физике вещество всегда считалось состоящим из частиц, и потому волновые свойства казались явно чуждыми ему. Тем удивительнее оказалось открытие о наличии у микрочастиц волновых свойств, первую гипотезу о существовании которых высказал зал в 1924 г. известный французский ученый Луи де Бройль "В оптике, - писал он, - в течение столетия слишком пренебрегали корпускулярным способом рассмотрения по сравнению с волновым; не делалась ли в теории вещества обратная ошибка? ". Допуская, что частицы вещества наряду с корпускулярными свойствами имеют также и волновые, де Бройль перенес на случай частиц вещества те же правила перехода от одной картины к другой, какие справедливы и случае света. По идее де Бройля, движение электрона или какой-либо другой частицы связано с волновым процессом, с частотой
v = E/h.
Гипотеза де Бройля была вскоре подтверждена экспериментально в 1927 г. американскими физиками К. Дэвинсоном: и Л. Джермером, впервые обнаружившими явление дифракции электронов на кристалле никеля, т.е. типично волновую картину. Формула
называется формулой де Бройля и является одним из соотношений, лежащих в основе современной физики. Для частицы с массой т, движущейся с малой скоростью v
Рис.2. Эксперимент по определению свойств микрочастиц.
Сочетая в себе свойства частицы и волны, микротела не ведут себя ни как волны, ни как частицы. Отличие микрочастицы от волны заключается в том, что она всегда обнаруживается как неделимое целое. Никто никогда не наблюдал, например, пол-электрона. В то же время волну можно разделить на части (например, направив световую волну на полупрозрачное зеркало) и воспринимать затем каждую часть в отдельности. Отличие микрочастицы от привычной нам микрочастицы заключается в том, что она не обладает одновременно определенными значениями координаты и импульса, вследствие чего понятие траектории применительно к микрочастице утрачивает смысл. [2, с.177]
Своеобразие свойств микрочастиц отчетливее всего обнаруживается в следующем мысленном эксперименте. Достоверность наблюдаемого в мысленном эксперименте эффекта вытекает из наблюдений, полученных в ряде реальных экспериментов. Направим на преграду с двумя узкими щелями параллельный пучок моноэнергетических (т.е. обладающих одинаковой кинетической энергией) электронов. За преградой поставим фотопластинку Фп. Сначала закроем вторую щель и произведем экспонирование в течение определенного времени. Почернение на обработанной фотопластинке будет характеризоваться кривой 1 на рисунке 2 (б). Вторую фотопластинку подвергнем экспозиции в течение того же времени, закрыв первую щель. Характер почернения передается в этом кривой 2 на рисунке 2 (б). Наконец, откроем обе щели и подвергнем экспонированию в течение того же времени третью пластинку. Картина почернения, получающаяся в последнем случае, изображена на рисунке 2 (в). Эта картина отнюдь не эквивалентна положению первых двух картин. Она оказывается аналогичной картине, получающейся при интерференции двух когерентных световых волн. Характер картины свидетельствует о том, что на движение каждого электрона оказывают влияние оба отверстия. Такой вывод несовместим с представлением о траекториях. Если бы электрон в каждый момент времени находился в определенной точке пространства и двигался по траектории, он проходил бы через определенное отверстие - первое или второе. Явление же дифракции доказывает, что в прохождении каждого электрона участвуют оба отверстия - и первое, и второе. Не следует, однако, представлять дело так, что какая-то часть электрона проходит через одно отверстие, а другая часть - через второе. Мы уже отмечали, что электрон, как и другие микрочастицы, всегда обнаруживается как целое, с присущей ему массой, зарядом и другими характерными для него величинами.
Таким образом, электрон, протон, атомное ядро представляют собой частицы с весьма своеобразными свойствами Обычный шарик, даже и очень малых размеров (макроскопическая частица), не может служить прообразом микрочастицы. С уменьшением размеров начинают проявляться качественно новые свойства, не обнаруживающиеся у микрочастиц. Однако при определенных условиях понятие траектории оказывается приближенно применимым к движению микрочастиц, подобно тому, как оказывается справедливым закон нелинейного распространения света. В формуле де Бройля нет ничего специфического для электрона как определенной частицы. Волновые свойства должны быть присущи любой частице вещества, имеющей массу m и скорость v. Убедительное доказательство справедливости формулы де Бройля наличия волновых свойств у частиц было получено в опытах по дифракции нейтронов на кристаллах. В ряде случаев с помощью дифракции нейтронов можно успешнее исследовать строение веществ, чем с помощью рентгеновских лучей или электронов.
Универсальность корпускулярно-волновой концепции. Французский ученый Луи де Бройль (1892-1987), осознавая существующую в природе симметрию и развивая представление о двойственной корпускулярно-волновой природе света, выдвинул в 1923 г. гипотезу об универсальности корпускулярно-волнового дуализма: [3, с.148]
не только фотоны, но и электроны и любые другие частицы материи наряду с корпускулярными обладают волновыми свойствами.
Согласно де Бройлю, любой микрообъект можно описать, с одной стороны, корпускулярными характеристиками - энергией Е и импульсом р, а с другой - волновыми характеристиками - частотой v и длиной волны X. Формулы, связывающие корпускулярные и волновые свойства частиц, такие же, как и для фотонов:
Смелость гипотезы де Бройля заключалась в том, что приведенные формулы постулировались не только для фотонов, но и для микрочастиц, обладающих массой покоя. Таким образом, любой частице с импульсом р соответствует волновой процесс с длиной волны, определяемой формулой де Бройля:
Вскоре гипотезу де Бройля экспериментально подтвердили американские физики К. Дэвиссон (1881-1958) и Л. Джермер (1896-1971), обнаружив дифракцию электронов, рассеивающихся от естественной дифракционной решетки.
Всем микрообъектам присущи и корпускулярные, и волновые свойства: для них существуют потенциальные возможности проявить себя в зависимости от внешних условий либо в виде волны, либо в виде частицы.
Принципы неопределенности и дополнительности. В классической механике всякая частица движется по определенной траектории, так что в любой момент времени можно определить ее координату и импульс. Микрочастицы из-за наличия у них волновых свойств существенно отличаются от классических частиц. Одно из основных различий - нельзя говорить о движении микрочастицы по определенной траектории и об одновременных точных значениях ее координаты и импульса. Это следует из корпускулярно-волнового дуализма. Так, понятие "длина волны в данной точке" лишено физического смысла, а поскольку импульс выражается через длину волны, микрочастица с определенным импульсом имеет неопределенную координату. И наоборот, если микрочастица находится в состоянии с определенным значением координаты, то ее импульс неопределен. [3, с.149]
Немецкий физик В. Гейзенберг (1901-1976), учитывая волновые свойства микрочастиц и связанные с волновыми свойствами ограничения в их поведении, пришел в 1927 г. к выводу: любой объект микромира невозможно одновременно с заданной наперед точностью характеризовать и координатой, и импульсом. Он сформулировал принцип неопределенности:
микрочастица (микрообъект) не может иметь одновременно определенную координату х и определенный импульс р, причем неопределенности этих величин удовлетворяют условию
















