150710 (732807), страница 2
Текст из файла (страница 2)
В 1911 году Резерфорд и Содди показали, что атомы некоторых веществ испытывают последовательные превращения, образуя радиоактивные ряды, где каждый член этого ряда возникает из предыдущего, причем никакими внешними физическими воздействиями (температура, электрические и магнитные поля, давление) нельзя повлиять на характеристики распада.
Позже, способность некоторых ядер самопроизвольно (спонтанно) превращаться в другие ядра с испусканием различных видов излучения и элементарных частиц называли радиоактивностью. При этом различают два вида радиоактивности — естественную, наблюдающуюся у нестабильных изотопов атома, существующих в природе, и искусственную, наблюдающуюся у изотопов, образующихся в результате ядерных реакций. Оба вида радиоактивности ничем принципиально не отличаются друг от друга и описываются одними и теми же законами радиоактивных превращений.
Процесс естественного, самопроизвольно происходящего радиоактивного превращения называется радиоактивным распадом, или просто распадом. Ядра, испытывающие распад, называются радионуклидами. Исходное атомное ядро называется материнским, а ядро, образовавшееся в результате распада, называется дочерним.
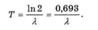
Радиоактивный распад происходит со строго определённой скоростью, характерной для каждого данного элемента. Время, за которое исходное число радиоактивных ядер в среднем уменьшается вдвое, называется периодом полураспада Т. Периоды полураспада различных ядер колеблются в очень широких пределах. Так, например, период полураспада урана
составляет 4,5 млрд. лет, радия
— 1620 лет, радона—
3,8 суток. Более того, периоды полураспада у изотопов одного и того элемента могут сильно различаться — у
Ra Т = 1630 лет, а у
Т=0,001с.
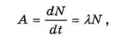
Поскольку отдельные радиоактивные ядра распадаются независимо друг от друга, то закон радиоактивного распада носит статистический характер. Можно показать, что закон убывания во времени числа радиоактивных ядер данного вещества (закон радиоактивного распада) имеет вид
Здесь
— число радиоактивных ядер в момент времени, принятый за начало отсчёта, т.е. при t = 0 . N — число радиоактивных ядер в момент времени t. Я — постоянная для данного радиоактивного вещества величина, носящая название постоянной радиоактивного распада. Между постоянной радиоактивного распада и периодом полураспада существует простая связь:
Среднее время жизни радиоактивного ядра г есть величина, обратная постоянной радиоактивного распада, т.е. радионуклиды, из которых 37000 распадается каждую 5 секунду.
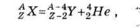
Радиоактивный распад происходит в соответствии с правилами смещения, установленными опытным путём. Правила смещения: => для альфа-распада (превращения ядер, сопровождающиеся испусканием альфа-частиц)
для бета распада (превращения ядер, сопровождающиеся, испусканием бета-частиц)
Активностью А нуклида в радиоактивном источнике называется число распадов, происходящих с ядрами образца в единицу времени:
где
— число ядер, распавшихся в среднем за интервал времени от t до t + dt.
Единица активности в системе СИ — беккерелъ (Бк): 1 Бк — активность нуклида, при которой за 1 с происходит один распад. Внесистемная единица активности — кюри (Ки):
1 кюри равен числу распавшихся ядер содержащихся в 1 г радия за 1 с (3,7 х
рас/сек).
На всех картах радиационного загрязнения, явившегося результатом Чернобыльской катастрофы, приводится радиационная плотность загрязнения, т.е. радиоактивность на единицу площади.
Например, если вы проживаете на территории с плотностью загрязнения почвы 1 Ки/кв. км или 37000 Бк/кв. м (37 кБк/кв. м), то это означает, что на одном квадратном метре этой почвы находятся
где X — химический символ материнского ядра,
— ядро атома гелия,
— символическое обозначение электрона (заряд его равен —1, массовое число равно 0).
Правила смещения являются следствиями двух законов сохранения, выполняющихся при радиоактивных распадах — сохранения электрического заряда и массового числа: сумма зарядов (массовых чисел) возникающих ядер и частиц равна заряду (массовому числу) исходного ядра.
Получившееся в результате распада дочернее ядро тоже может быть радиоактивным. В результате возникает цепочка или ряд радиоактивных превращений, заканчивающихся стабильным изотопом. Совокупность элементов, образующих цепочку, называется радиоактивным семейством. Семейство называется по наиболее долгоживущему элементу (с наибольшим периодом полураспада) "родоначальнику" семейства: тория
урана
и актиния. Конечными
нуклидами являются соответственно
В таблице 1 представлена цепочка семейства урана.
Таблица 1. Семейство урана.
| Вид излучения | Нуклид | Период полураспада |
| α | Уран-238 | 4,47 млрд.лет |
| β | Торий-234 | 24,1 суток |
| β | Протактиний-234 | 1,17 минут |
| α | Уран-234 | 245000 лет |
| α | Торий-230 | 8000 лет |
| α | Радий-226 | 1600 лет |
| α | Радон-222 | 3,823 суток |
| α | Полоний-218 | 3,05 минут |
| β | Свинец-214 | 26,8 минут |
| β | Висмут-214 | 19,7 минут |
| α | Полоний-214 | 0,000164 секунды |
| β | Свинец-210 | 22,3 лет |
| β | Висмут-210 | 5,01 суток |
| β | Полоний-210 | 138,4 суток |
| Свинец-206 | стабильный |
4. ВЗАИМОДЕЙСТВИЕ ИЗЛУЧЕНИЙ С ВЕЩЕСТВОМ
Для регистрации радиоактивности и мер защиты от ядерных излучений, необходимо знать за счет каких процессов теряется энергия излучения, проходя через вещество; какова ионизирующая способность различных видов излучения.
В основном заряженные частицы, проходя через вещество, теряют свою энергию за счет столкновений с атомами этого вещества. Так как масса ядра вещества на много больше по сравнению с массой электронов атома, то наблюдаются существенные различия между столкновениями "электронными" (падающая частица сталкивается с электроном) и "ядерными" столкновениями (падающая частица сталкивается с ядром атома). В первом случае происходит возбуждение или ионизация атома (неупругое столкновение), во втором — частица и атом приходят в движение как единая система (упругое столкновение). Ядерные столкновения происходят в веществе многократно, что приводит к рассеянию частиц. Если в результате взаимодействия появляются новые частицы или исчезают первоначальные, то этот процесс называют реакцией. В частности, если возникают при взаимодействии ядра с новыми свойствами, то реакция называется ядерной.
Процесс радиоактивного превращения элементов всегда сопровождаются выбросом элементарных частиц. Это могут быть заряженные частицы такие, как альфа-, бета-частицы, протоны и другие, нейтральные — нейтроны, нейтрино, так и гамма кванты различных энергий.
Пучки заряженных элементарных частиц, ядра лёгких элементов, ионов оказывают ионизирующее воздействие на вещество, через которые они проходят. Опосредствованное ионизирующее воздействие оказывают и нейтральные частицы, прежде всего нейтроны: в результате взаимодействия этих частиц с ядрами веществ испускаются ядром протон и гамма квант, которые и вызывают ионизацию среды.
Рассмотрим процессы, сопровождающие прохождение ионизирующего излучения через вещество.
4.1 ВЗАИМОДЕЙСТВИЕ АЛЬФА-ЧАСТИЦ С ВЕЩЕСТВОМ
История открытия и изучения альфа-частиц связана с именем Резерфорда. При помощи альфа-частиц Резерфорд проводил исследования большинства атомных ядер.
Альфа-частицы это атомы гелия, потерявшие два электрона, т.е. ядра атома гелия
Ядро гелия, состоящее из двух протонов и двух нейтронов устойчиво, частицы связаны в нем прочно.
В настоящее время известно более 200 альфа активных ядер, главным образом тяжёлых (А > 200, Z > 82 ), исключение составляют редкоземельные элементы (А=140-160). Примером альфа распада может служить распад изотопов урана:
Скорости, с которыми альфа-частицы ,, вылетают из распавшегося ядра, очень велики и колеблются для разных ядер в пределах от 1,4 х 107 до 2,0x10' м/с, что соответствует кинетическим энергиям этих частиц 4—8,8 МэВ. Альфа-частицы в состав ядра не входят, и, по современным представлениям, они образуются в момент радиоактивного распада при встрече движущихся внутри ядра 2-х протонов и 2-х нейтронов.
Пролетая через вещество, альфа-частицы постепенно теряют свою энергию, затрачивая ее на ионизацию газов. Причём в начале пути, когда энергия альфа-частиц велика, удельная ионизация меньше, чем в конце пути.
















