150525 (732760)
Текст из файла
МИНИСТЕРСТВО ОБРАЗОВАНИЯ РОССИЙСКОЙ ФЕДЕРАЦИИ.
СИБИРСКИЙ ГОСУДАРСТВЕННЫЙ АЭРОКОСМИЧЕСКИЙ УНИВЕРСИТЕТ ИМЕНИ АКАДЕМИКА М.Ф. РЕШЕТНЕВА.
Кафедра физики.
Реферат
по дисциплине "Физика"
На тему:
«Основы физики атмосферы. Термодинамические процессы в сухом и влажном воздухе. Термодинамические процессы фазовых переходов. Уравнение Клаузиуса-Клапейрона. Уравнение переноса водяного пара в атмосфере. Физические процессы образования облаков Динамические процессы а атмосфере»
Выполнил: студент 2-го курса
группы ИУТ-61
Нечаев А. С.
Проверил:
Баринов Г. И.
Красноярск 2007
Основы физики атмосферы
Уравнение состояния
Основным действующим на атмосферу внешним фактором является Солнце. Под воздействием солнечного излучения происходят разнообразные процессы переноса энергии, тепла и вещества между разными областями атмосферы и другими геосферами. Атмосфера, в основном, заполнена воздухом и примерный молекулярный вес воздуха, как хорошо известно, равен 29, что несколько больше молекулярного веса основной компоненты воздуха — азота N2, равного 28. Небольшое превышение молекулярного веса воздуха над молекулярным весом азота связано с тем, что следующая по объему компонента — кислород О2 имеет больший молекулярный вес — 32.
Уравнение состояния воздуха с большой точностью описывается уравнением состояния идеального газа:
где объем V, масса воздуха m, молекулярная масса µ измеряются в обычных единицах системы СИ, R — универсальная газовая постоянная. Давление Р традиционно измеряется в барах, причем, бар выражается следующим образом через стандартные единицы Н (ньютон) и Па (единица давления паскаль равна силе в ньютонах, деленной на площадь в м2):
Часто используется единица давления атм (атмосфера), равная 1 кг/см2 и близкая к одному бару.
Здесь целесообразно напомнить некоторые полезные для дальнейшего цифры. Часто выделяют так называемые «нормальные условия»:
Они представляют собой некоторые типичные, «нормальные» значения атмосферного давления и температуры 0°С, т.е. примерно 273 К. При этом объем одного моля идеального газа составляет 2,24 • 10-2 м3, или 22,4 литра.
Чаще в физике атмосферы используется другая форма записи уравнения состояния, содержащая плотность воздуха р. Уравнение следует из (13.1), если поделить на объем правую часть. Нередко используется не универсальная газовая постоянная R, а газовая постоянная для воздуха Ra, нормированная на молекулярный вес воздуха µ:
где
Отсюда плотность воздуха при нормальных условиях равна
Одним из самых существенных факторов, определяющих поведение атмосферы, является водяной пар — известный всем газ Н2О с молекулярной массой 18. Он присутствует в сравнительно небольших количествах в атмосфере, но в отличие от других компонент воздуха с водяным паром при типичных атмосферных температурах происходят фазовые переходы с выделением и поглощением тепла, поэтому его роль весьма значительна. Уравнение состояния воздуха при учете водяного пара меняется.
Напишем отдельно уравнение состояния для сухого воздуха с парциальным давлением Ра и уравнение состояния для водяного пара, где е обозначает так называемую упругость водяных паров, или парциальное давление водяного пара:
Здесь введена газовая постоянная для водяного пара Rw = = R/pw. Уравнение состояния для смеси сухого воздуха и водяного пара будет несколько отличаться от уравнения состояния для сухого воздуха. Суммарная плотность смеси р равна плотности сухого воздуха ра плюс плотность воды pw:
Учитывая, что
получим выражение для плотности:
где плотности воздуха и водяного пара выражены через соответствующие уравнения состояния, при этом парциальное давление сухого воздуха заменено на разность давлений влажного воздуха (смеси) и пара, поскольку давление паров плюс давление сухого воздуха есть суммарное давление смеси. После тождественных преобразований получим формулу
Поскольку парциальное давление водяного пара, как правило, не превышает 30-50 мбар, оно мало по сравнению с давлением
воздуха (~ 1 бар). Учитывая малость отношения — <С 1, можно переписать уравнение состояние влажного воздуха в виде
Сравнивая (13.2) и (13.3), нетрудно видеть, что присутствие водяных паров дает лишь небольшую поправку к уравнению состояния, которую можно интерпретировать как сдвиг температуры. Иногда вводится так называемая виртуальная температура, т. е. для воздуха с водяным паром можно заменить уравнение состояния (13.3) соотношением вида (13.2) с другой — виртуальной температурой. Иными словами, это температура сухого воздуха, имеющего такое же давление как влажный воздух. Виртуальная температура будет несколько больше, потому что молекулярный вес пара меньше. Если происходит добавление пара с замещением молекул воздуха, то смесь становится легче и плотность падает. А для того чтобы сухой воздух имел такую же плотность, нужно поднять его температуру, тогда его плотность уменьшится. Как упоминалось выше, давление водяных паров невелико, поэтому в ряде задач без фазовых переходов влиянием водяного пара на уравнение состояния можно пренебречь.
Переход фазовый (ф.п.) - термодинамический процесс перехода вещества из одной фазы в другую;
первого рода - фазовый переход, при котором претерпевают скачки первые производные от химического потенциала (S и V);
второго рода - фазовый переход, при котором первые производные от химического потенциала непрерывны, но претерпевают скачки его вторые производные (cP,
,
T);
монотропный - односторонний ф.п., при котором переход от высокотемпературной модификации к низкотемпературной невозможен, тогда как обратный процесс осуществляется и протекает тем быстрее, чем выше температура;
энантиотропный - взаимные превращения двух кристаллических модификаций, которые могут самопроизвольно протекать как в прямом так и в обратном направлениях в зависимости от условий.
Правило фаз Гиббса - в равновесной термодинамической системе, на которую из внешних факторов оказывают влияние только 2 фактора - температура и давление (соответствуют слагаемому "2" в ур-нии), число степеней свободы (C) равно числу независимых компонентов (K) минус число фаз (Ф) плюс два: С = К - Ф + 2. Если Ф = 0, система инвариантна, Ф = 1 - моновариантна, Ф = 2- бивариантна и т.д.
Уравнение Клапейрона-Клаузиуса для фазовых превращений
равновесие "кристалл"
жидкость":
равновесие "жидкость"
пар":
,
если насыщенный пар подчиняется ур-нию состояния идеального газа , то
при испарении
;
, при возгонке
;
.
В интегральном виде
Термодинамические процессы в атмосфере
В атмосфере происходят различные термодинамические процессы, в частности, изотермические, адиабатические и другие знакомые по курсу молекулярной физики процессы. В основном атмосфера неизотермична, например, в тропосфере температура меняется с высотой довольно сильно, примерно на 6,5 °С на км. Но в областях тропопаузы, стратопаузы, мезопаузы в некоторых диапазонах высот ее приближенно можно считать изотермичной.
Как известно, распределение давления и плотности в изотермической атмосфере определяется формулой Больцмана. Разность давлений в слоистой и статичной атмосфере обусловлена весом выделенного объема воздуха:
Ось z направлена вверх. Если заменить р выражением, полученным из уравнения состояния (13.2), то получим уравнение
откуда после интегрирования следует формула Больцмана
где
— так называемая высота однородной атмосферы.
В соответствии с формулой Больцмана давление с высотой меняется экспоненциально, причем Н определяет масштаб спадания давления по высоте, т. е. на высоте Н давление падает в е раз. Формула для плотности будет аналогичной, потому что при постоянной температуре плотность пропорциональна давлению. Высоту однородной атмосферы можно выразить и через массу т одной молекулы:
Численная оценка дает величину около 8 км:
Заметим, что уже на высотах в несколько километров спадание давления и плотности воздуха значительно, например, на высоте 2,5 км плотность составляет 70% от плотности на уровне моря. Однако, как правило, в атмосфере происходят заметные изменения температуры с увеличением высоты, и приближение
изотермической атмосферы явно неприменимо. Более подходящим приближением при рассмотрении перемещения частиц воздуха является адиабатическое приближение. При таком анализе обычно выделяется малая частица, представляющая собой «физически бесконечно малый» объем, но достаточно большая, в том смысле, что она содержит много молекул. Иными словами, предполагается, что частица достаточно велика по сравнению с масштабами микроструктуры среды и достаточно мала по сравнению с внешними характерными масштабами задачи. Поскольку воздух — плохой проводник тепла и его теплопроводность низка, можно считать, что по мере перемещения этой частицы с потоком других частиц, с ветром, она слабо обменивается энергией с окружающей средой, т.е. можно использовать адиабатическое приближение. Такая простейшая модель, тем не менее, отражает основное физическое явление и объясняет многие процессы в атмосфере.
Рассмотрим адиабатический процесс в атмосфере. Первое начало термодинамики имеет вид
Здесь приращение тепла δQ равно приращению внутренней энергии dU = CVdT плюс работа ЗА = P dV. Отметим, что в общем случае только приращение внутренней энергии dU является полным дифференциалом. Для частицы, которая будет перемещаться, не меняя своей энергии, можно написать δQ = О, т.е. приток тепла равен нулю, взаимодействие с окружающей средой отсутствует или, по крайней мере, пренебрежимо мало за время этого перемещения. Если мы хотим получить зависимость Р(Т), надо перейти от дифференциала dV к дифференциалу dP. Это несложно сделать, используя уравнение состояния идеального газа. Дифференцируя логарифм соотношения (13.1), получим
После интегрирования получается связь
Это так называемое тождество Майера. Далее, используя тождество Майера, заменяем дифференциал dV на dP в (13.5) и получаем
уравнение адиабатического процесса:
Отсюда отношение температур равно отношению давлений в степени R/Cp. Универсальная газовая постоянная равна, как известно, разности теплоемкостей
Тогда, заменяя R на разность Ср — Сv, получим для адиабатического процесса формулу
в которой отношение температур есть отношение давлений в степени 1 — 1/y где y = Ср/Сv . Воздух при нормальных условиях состоит в основном из молекул N2 и О2. У таких двухатомных молекул при типичных атмосферных температурах колебательные степени свободы не возбуждаются, поэтому они имеют 5 степеней свободы и молярную теплоемкость при постоянном объеме Су = 5/2 R, а молярную теплоемкость при постоянном давлении Ср = 7/2 R, тогда y = 7/5.
При адиабатическом подъеме, естественно, будет происходить охлаждение частиц воздуха. Давление в частице меняется так же, как и давление внешней среды. Частица — это условный элемент объема, в котором достаточно много молекул, и по мере перемещения воздуха давление в частице все время равно давлению среды. Но по мере подъема будет происходить изменение температуры частицы, и этот градиент температуры, полученный в адиабатическом приближении, называют адиабатическим градиентом температуры. Уравнение адиабатического процесса (13.6) связывает, заменяя приращение давления через гидростатическое равенство (13.4), получим уравнение для температуры при таком адиабатическом подъеме:
Адиабатический градиент температуры по высоте отрицателен и представляет собой отношение ускорения свободного падения g к удельной теплоемкости воздуха при постоянном
Полученное численное значение градиента больше, чем в реальной атмосфере ( ≈ 6-6,5 К). Завышение величины температурного градиента связано с точностью адиабатического приближения, но, главное, здесь не учтено, что при конденсации водяного пара будет выделяться тепло и поднимающаяся частица будет охлаждаться слабее, т. е. рассмотренное здесь охлаждение сильнее, чем в реальной атмосфере.
Подставляя сюда гидростатическое соотношение для приращения давления (13.4), получим
и далее аналогично (13.7)
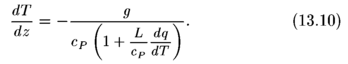
Рассмотренные выше процессы относятся к сухоадиабатическим процессам. Название сухоадиабатический процесс не означает, что воздух сухой, он может содержать и водяной пар, но его уравнение близко к уравнению состояния сухого воздуха, пока не происходит выделения скрытой теплоты конденсации. Во влажноадиабатическом процессе происходит выделение скрытой теплоты. С выделением такой теплоты ситуация существенно меняется. В первом начале термодинамики для влажноадиаба-тического процесса будет фигурировать скрытая теплота δQ, отнесенная к массе, которая пропорциональна произведению относительного содержания dq (q — безразмерная величина) влаги в воздухе и удельной теплоты парообразования L. Поэтому выделение тепла (со знаком «минус», поскольку при dq > 0 тепло уходит из системы) определяется соотношением.
Итак, dT/dz — равен сухоадиабатическому градиенту минус добавка, в которую входит изменение относительного содержания пара в воздухе. Производную dq/dz — удобно переписать через производную по температуре:
Отсюда для влажно-адиабатического градиента получаем формулу
Добавок к единице в знаменателе представляет собой положительную величину, поскольку относительная плотность q с температурой растет. Получается, что влажноадиабатический градиент ys равен сухоадиабатическому градиенту ya, деленному на величину, большую 1, т.е. он меньше сухоадиабатического градиента:
В качестве иллюстрации адиабатических процессов рассмотрим адиабатический подъем и последующее опускание частиц воздуха, например, при обтекании возвышенностей и гор (рис. 13.1, а). На рис. 13.1, б изображена диаграмма адиабатических процессов, иллюстрирующая изменение температуры
с высотой. При перемещение частицы вверх из точки О (с температурой T0 на высоте z = 0) температура линейно спадает. Когда температура уменьшается до температуры конденсации Тс, на высоте конденсации zc образуется облако. Далее происходит выпадение осадков из этого облака и выделение скрытой теплоты конденсации, что уменьшает охлаждение воздуха. Поэтому у влажноадиабатического процесса (между точками С и A) наклон —— меньше, чем у сухоадиабатического.
После того как выпадут все осадки, воздух становится сухим, и далее происходит спуск в долину (между точками Л и В).Из диаграммы несложно понять, что если стартовать с температуры Tq, то завершается процесс с другой температурой Тв, которая всегда больше T0. Подобное выпадение осадков в горах и повышение температуры воздушного потока достаточно часто наблюдается в природе и хорошо иллюстрирует сухо- и влажноадиабатические процессы. Если осадки остаются на горе, то в долину спускается сухой и теплый воздух. Такой ветер называется фён.
Устойчивость атмосферы
Термодинамическую устойчивость атмосферы также можно рассмотреть в рамках адиабатического приближения. Устойчивость атмосферы зависит от вертикального профиля температуры. Предположим, что в неподвижном слое атмосферы температура линейно убывает с высотой ∆z, например, как это происходит в тропосфере. Градиент температуры данного слоя характеризуется параметром β:
Тогда разность температур частицы и окружающей среды будет равна:
Пусть малая частица воздуха поднимается адиабатически на высоту ∆z, при этом ее температура будет меняться в соответствии с адиабатическим градиентом уа :
Учитывая, что давление в частице равно давлению окружающего воздуха, изменение плотности в соответствии с уравнением состояния (13.2) определяется разностью температур:
Отсюда знак вариации плотности определяется разностью адиабатического градиента и существующего в слое градиента температуры:
Поэтому при yа < β частица становится менее плотной, чем окружающий воздух (∆р < 0), и возникает выталкивающая сила плавучести (архимедова сила), направленная вверх. В этом случае атмосфера находится в неустойчивом состоянии,
поскольку любая сместившаяся вверх частица будет продолжать это движение. При yа > β частица становится более плотной, чем окружающий воздух (∆р > 0), и направленная вниз архимедова сила возвращает частицу обратно в исходное положение. Это случай устойчивого равновесия атмосферы. Особо устойчивые состояния атмосферы наблюдаются в так называемых слоях инверсии, когда β < 0 и температура возрастает с высотой. Температурные инверсии гасят вертикальные движения и конвекционные потоки, подавляют перемешивание воздуха. Такие инверсионные слои могут существовать достаточно длительное время и оказывать негативное влияние на состояние и экологию атмосферы, особенно в городах, поскольку приводят к накоплению загрязнений.
Динамика и глобальная циркуляция
Первоначально проведем качественное рассмотрение движения воздушных масс. Из курса механики известно, что физические тела, находящиеся на вращающейся планете в неинерциальной системе координат, приобретают дополнительное поворотное, или кориолисово ускорение. Кориолисово ускорение ак есть удвоенное векторное произведение угловой скорости вращения Земли И на скорость тела v в неинерциальной системе координат:
Уравнение относительного движения материальной точки в неинерциальной системе координат может быть записано формально подобно уравнению движения в инерциальной системе координат, но с введением соответствующих дополнительных сил инерции. Иными словами, в неинерциальной системе координат появляется некоторая эффективная сила инерции, действующая со знаком «минус» и равная произведению массы тела на дополнительное ускорение. В частности, для описания кориолисова ускорения вводится плотность кориолисовой силы
Следует отметить принципиальное отличие сил инерции от обычных сил взаимодействия тел, состоящее в том, что для них нельзя указать, действие каких конкретно тел на данное тело ими описывается. Однако, не вдаваясь в детали, отметим, что в Северном полушарии под действием кориолисовой силы всякий движущийся объект, независимо от направления движения, будет отклоняться при движении вправо. Соответственно в Южном полушарии объект будет отклоняться влево от направления движения. Кориолисово ускорение имеет и вертикальную составляющую, но при обычных в атмосфере скоростях движения, не
превышающих сотни метров в секунду, эта составляющая мала (< 10-3) по сравнению с ускорением свободного падения д. При движении по экватору остается только вертикальная составляющая, и тело не отклоняется в горизонтальной плоскости. В остальных случаях при движении в горизонтальных направлениях кориолисова сила имеет существенное значение, во многих случаях она является определяющей.
Характеристики
Тип файла документ
Документы такого типа открываются такими программами, как Microsoft Office Word на компьютерах Windows, Apple Pages на компьютерах Mac, Open Office - бесплатная альтернатива на различных платформах, в том числе Linux. Наиболее простым и современным решением будут Google документы, так как открываются онлайн без скачивания прямо в браузере на любой платформе. Существуют российские качественные аналоги, например от Яндекса.
Будьте внимательны на мобильных устройствах, так как там используются упрощённый функционал даже в официальном приложении от Microsoft, поэтому для просмотра скачивайте PDF-версию. А если нужно редактировать файл, то используйте оригинальный файл.
Файлы такого типа обычно разбиты на страницы, а текст может быть форматированным (жирный, курсив, выбор шрифта, таблицы и т.п.), а также в него можно добавлять изображения. Формат идеально подходит для рефератов, докладов и РПЗ курсовых проектов, которые необходимо распечатать. Кстати перед печатью также сохраняйте файл в PDF, так как принтер может начудить со шрифтами.















