150519 (732758), страница 2
Текст из файла (страница 2)
где N = N+ + N~ - полное число ядерных спинов, находящихся в единице объема. Из формулы видно, что макроскопическая намагниченность возрастает с увеличением напряженности магнитного поля В0 и гиромагнитного отношения у/ и убывает с ростом температуры Т. Такое поведение намагниченности М определяет большое число эффектов, наблюдаемых в ЯМР.
Время установления теплового равновесия между спиновой системой и окружающей средой, которую даже в жидкостях принято называть решеткой, определяется как время спин-решеточной релаксации. Эта величина описывает процесс установления равновесия, т.е. приближение z-компонен-ты намагниченности Mz к равновесному значению М0, которое устанавливается в спиновой системе спустя длительный период времени. Равновесная намагниченность устанавливается параллельно внешнему магнитному полю В0, поэтому спин-решеточную релаксацию называют также продольной релаксацией.
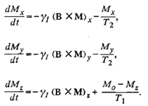
Непосредственно после открытия явления ЯМР Феликс Блох на основе классического подхода описал поведение намагниченности М, которая характеризуется компонентами Мх, Му и Mz, с помощью системы дифференциальных уравнений. Эти уравнения называются уравнениями Блоха.
Уравнения Блоха позволяют достаточно просто описать основные экспериментальные данные: 1) Если направления намагниченности и магнитного поля в исходный момент не совпадают, то намагниченность совершает прецессию относительно направления магнитного поля. 2) Спустя достаточно длительный промежуток времени после воздействия возбуждения в системе устанавливается равновесная намагниченность, компонента Мг которой вдоль направления магнитного поля равна М0, а поперечная компонента намагниченности, перпендикулярная направлению внешнего магнитного поля, равна нулю. Экспоненциальное приближение Mz к равновесному значению М0 описывается уравнением
Постоянная Tj называется временем продольной релаксации. Соответственно процесс распада поперечной намагниченности описывается уравнениями для Мх и Му:
Классическое уравнение движения, описывающее прецессию намагниченности в магнитном поле без учета релаксации, имеет вид
Уравнения Блоха получаются путем феноменологического введения в уравнение релаксационных слагаемых в форме правых частей уравнений и:
В типичном ЯМР эксперименте наряду со статическим магнитным полем В0, направленным вдоль оси z, имеется еще и переменное РЧ поле с частотой О), магнитная составляющая которого направлена перпендикулярно полю В0, например, вдоль оси х, и осциллирует с частотой V = t, как правило, много меньше внешнего магнитного поля В0. Линейно поляризованное переменное магнитное поле можно представить в виде разложения по двум компонентам, которые вращаются в противоположных направлениях с круговыми частотами ±, частота вращения которой относительно оси z равна Шг Соответствующим преобразованием координат можно не только формально упростить уравнения, но и преобразовать их так, что они приобретут более наглядный вид. Сложное движение вектора намагниченности в пространстве можно разложить на два движения: движение во вращающейся системе координат и одновременное движение этой системы координат относительно лабораторной системы координат, фиксированной в пространстве. Обычно частоту вращения выбирают равной частоте РЧ поля, 0)г = О), так как в этом случае поле В; во вращающейся системе координат будет неподвижным. Обозначим когерентную компоненту намагниченности вдоль оси х через М х', а сдвинутую на 90° вдоль оси у' - через М ':
Уравнения Блоха во вращающейся системе координат принимают следующий вид:
С помощью рис. 1.3 попытаемся построить простое представление о процессах, происходящих во вращающейся системе координат. Так как система координат вращается с круговой частотой
равной частоте поля Bi, то поле Bi будет неподвижным в этой системе координат. При этом удобно кроме суммарного поля Вг, складывающегося из полей В0 и Bi, определить еще и эффективное поле Beff, которое является векторной суммой полей к
. Можно показать, что уравнения, описывающие затухающее движение и прецессию спинов в этом эффективном магнитном поле, имеют вид -<1.16). Особенно простым будет вид этих уравнений, если
и эффективное поле Beff равно полю i ' В\. В этом случае частота прецессии со/ формально удовлетворяет условию резонанса, в котором вместо В0 используется Bi:
Если вначале вектор намагниченности направить вдоль оси z, и включить кратковременно РЧ поле, например, на время /, то вектор намагниченности отклонится на некоторый угол в направлении оси у ' в плоскости у ' z, а затем вновь возвратится к оси z. Если ВЧ поле отключается в момент времени, когда вектор намагниченности расположится строго вдоль оси у ', то говорят, что на систему воздействует 90°-ный или
-импульс. Если при той же напряженности магнитного поля выбрать длительность РЧ импульса такую, что вектор намагниченности отклонится от оси z в плоскости у ' z на 180°, то такой импульс называется 180°-ным или
-импульсом. В общем случае путем соответствующего выбора Beff и длительности импульса можно развернуть вектор намагниченности в плоскости у' z в произвольном направлении.
Если под действием РЧ импульса намагниченность отклонится от оси z, то после выключения РЧ импульса намагниченность, в результате появления у нее поперечных компонент, начнет прецессировать вокруг направления поля В0. Прецессия намагниченности создает модуляцию во времени связанного с этой намагниченностью магнитного поля. Если мы поместим образец в приемную катушку, то изменяющееся во времени магнитное поле создаст малое индукционное напряжение, которое может быть зарегистрировано с помощью соответствующих методов. Амплитуда этого сигнала пропорциональна резонансной частоте со/ и намагниченности м0; затухание сигнала во времени называют спадом свободной индукции.
1.1.4 Спин-решеточная релаксация
Изменение во времени намагниченности мг может быть описано уравнениями Блоха. Решением этих уравнений для мъ является экспоненциальная функция с характерным временем Tlt которое называется временем продольной или спин-решеточной релаксации:
Если после воздействия радиочастотного импульса спиновая система свободно эволюционирует, то она стремится к состоянию больцмановского равновесия. В частности, после воздействия 180°-ного импульса, приводящего к равенству Mz = -Mo, поведение намагниченности Mz описывается экспоненциальной функцией, которая при t = 1п2 • Т\ = 0,69 • Т\ обращается в нуль, и это обстоятельство можно использовать для определения значения Т\ так называемым нуль-методом.
При использовании обычного способа регистрации намагниченность —Mz, направленная после воздействия 180°-ного импульса вдоль оси —z, дает такой же малоинтенсивный сигнал, как и +MZ, ввиду того, что он не сопровождается возникновением отличного от равновесного значения поперечной намагниченности в плоскости ху. Для определения времени продольной релаксации необходимо сначала с помощью L 80°-ного импульса изменить равновесную ориентацию вектора намагниченности вдоль оси +z на противоположную, ориентировав ее вдоль оси —z, а затем, спустя некоторое время задержки
, провести измерение значения
, которое устанавливается за счет продольной релаксации. Измерение
можно провести после воздействия на систему 90°-ного импульса, который преобразует z-намагниченность в поперечную, что дает возможность зарегистрировать сигнал свободной индукции, пропорциональный
. Так как сначала намагниченность инвертируется, а затем наблюдается восстановление ее равновесного значения, то этот метод называют методом инверсии-восстановления и обозначают следующим образом:
1.1.5 Распад поперечной намагниченности и спйн-спиновая релаксация
Второй тип релаксации, с которым нам предстоит познакомиться, это поперечная релаксация. С этим механизмом релаксации теснейшим образом связана ширина линии ЯМР - параметр, характеризующий разрешающую способность спектров высокого разрешения. Кроме того, различие времен поперечной релаксации для каждого типа тканей очень важно для разрешения по контрасту изображений в ЯМР-томографии.
Если воздействовать на равновесную спиновую систему не 180°-ным импульсом, а 90°-ным, то вектор намагниченности отклонится на угол 90° и расположится вдоль оси у '. Затем намагниченность свободно эволюционирует, вращаясь с частотой Щ вокруг направления магнитного поля В0; эта составляющая намагниченности обозначается Мху. Так как поле В0 не является строго однородным по объему образца, то не все спины, образующие суммарную намагниченность Мху, вращаются в плоскости х У с одной и той же скоростью: одни из них вращаются с несколько меньшей, а другие - с несколько большей средней скоростью. Изменение проекции вектора намагниченности во времени показано на рис. 1.6. Намагниченность Мху распадается при этом в плоскости х'У так, что проекция вектора намагниченности в этой плоскости принимает все возможные значения, а средняя амплитуда поперечной намагниченности и соответственно сигнал в приемной катушке обращаются в нуль. Обычно группу сигналов, которые характеризуются одинаковой скоростью вращения, называют спиновым пакетом. Если, спустя время 7, на спиновую систему воздействует 180°-ный импульс, то все спиновые пакеты изменяют свое положение таким образом, что самые "медленно движущиеся" пакеты оказываются впереди, а самые "быстро движущиеся" - позади. Это подобно бегу группы бегунов на длинные дистанции, движущихся по гаревой дорожке при условии, что все они стартуют одновременно. Спустя некоторое время бегуны распределяются вдоль дорожки таким образом, что бегущие с большой скоростью оказываются более удаленными от исходной точки, чем бегущие с меньшей скоростью. После команды "кругом" бегущие с большей скоростью оказываются позади, и, если в дальнейшем они будут двигаться с прежней скоростью, то достигнут исходной точки одновременно с бегунами, движущимися с меньшей скоростью. Совершенно аналогично вели бы себя спиновые пакеты, движущиеся с различными скоростями, если бы направление внешнего магнитного поля мгновенно изменилось. Отметим, однако, что такое мгновенное изменение направления поля технически достаточно сложно осуществимо. Подобный эффект достигается под действием 180°-ного импульса в момент времени x после 90°-ного импульса, когда положение спиновых пакетов изменится таким образом, что спустя время 27 после воздействия 90°-ного импульса или 7 после 180°-ного более быстрые спины догонят спины, движущиеся более медленно, т.е. все спиновые пакеты будут иметь одинаковую фазу прецессии. Таким образом в плоскости х'У вновь образуется результирующая намагниченность, которая формирует сигнал, названный по имени открывшего этот эффект Эр-вина Хана эхом Хана или спиновым эхом. Результирующее эхо имеет знак, противоположный знаку спада свободной индукции, образовавшегося после воздействия 90°-ного импульса, т.е. сигнал эха сдвинут на 180° относительно сигнала, полученного после преобразования спада свободной индукции. Этого можно избежать, сдвинув фазу 180°-ного импульса на 90°. Для этого в системе координат, движущейся со скоростью. Так как эта дефазировка вызвана спин-спиновым взаимодействием, то характерное время Тг, описывающее этот процесс, называется временем спин-спиновой или поперечной релаксации. В эксперименте спинового эха спин-спиновое взаимодействие приводит к уменьшению амплитуды эха, зависящему от избранного интервала времени x между 90°-ным и 180°-ным импульсами, причем это уменьшение описывается экспоненциальной функцией с характерным временем Т2- Измерение амплитуды эха как функции интервала между 90°-ным и 180°-ным импульсами дает возможность определять Тг в неоднородных магнитных полях.
Следует отметить, что определение значений Тг с помощью этого метода является достаточно трудоемкой задачей, поскольку при проведении экспериментов приходится снимать множество спектров для различных значений x. Для усовершенствования метода проведения измерений была разработана другая импульсная последовательность - последовательность Карра-Парселла -, которая в дальнейшем была улучшена Мейбумом и Гиллом. После 90°-ного импульса на спиновую систему воздействует серия 180°-ных импульсов, между которыми всякий раз проводится измерение амплитуды спинового эха. Основным преимуществом импульсной последовательности спинового эха Карра-Парселла-Мейбума-Гилла является то, что полное измерение Тг может быть проведено с помощью одной импульсной последовательности. Кроме того, этот метод позволяет проводить более точное измерение Т2, так как при использовании простой импульсной последовательности спинового эха процессы диффузии могут оказывать существенное влияние на точность измерений. В настоящее время последовательность Карра-Парселла-Мейбума-Гилла приобретает особое значение для ЯМР-томографии.
1>














