149628 (731967), страница 3
Текст из файла (страница 3)
В других вариантах оболочечной модели вводится эффективное взаимодействие между квазичастицами в каждой оболочке, приводящее к перемешиванию первоначальных конфигураций индивидуальных состояний. Это взаимодействие учитывается по методике теории возмущений (справедливой для малых возмущений). Внутренняя непоследовательность такой схемы состоит в том, что эффективное взаимодействие, необходимое теории для описания опытных фактов, оказывается отнюдь не слабым. Кроме того, как показывает сравнение теоретических и экспериментальных данных, в разных оболочках приходится вводить разные эффективные взаимодействия, что увеличивает число эмпирически подбираемых параметров модели.
Основные теоретические разновидности модели оболочек модифицируются иногда введением различного рода дополнит, взаимодействий (например, взаимодействия квазичастиц с колебаниями поверхности ядра) для достижения лучшего согласия теории с экспериментом.
Т. о., современная оболочечная модель ядра фактически является полуэмпирической схемой, позволяющей понять некоторые закономерности в структуре ядер, но не способной последовательно количественно описать свойства ядра. В частности, ввиду перечисленных трудностей непросто выяснить теоретически порядок заполнения оболочек, а следовательно, и «магические числа», которые служили бы аналогами периодов таблицы Менделеева для атомов. Порядок заполнения оболочек зависит, во-первых, от характера силового поля, которое определяет индивидуальные состояния квазичастиц, и, во-вторых, от смешивания конфигураций. Последнее обычно принимается во внимание лишь для незаполненных оболочек. Наблюдаемые на опыте магические числа нейтронов (2, 8, 20, 28, 40, 50, 82, 126) и протонов (2, 8, 20, 28, 50, 82) отвечают квантовым состояниям квазичастиц, движущихся в прямоугольной или осцилляторной потенциальной яме со спин-орбитальным взаимодействием (именно благодаря ему возникают числа 28, 40, 82 и 126). Объяснение самого факта существования магических чисел было крупным успехом модели оболочек, впервые предложенной М. Гёпперт-Майер и Й. Х. Д. Йенсеном в 1949—50.
Д
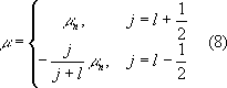
р. важным результатом модели оболочек даже в простейшей форме (без учёта взаимодействия квазичастиц) является получение квантовых чисел основных состояний нечётных ядер и приближённое описание данных о магнитных дипольных моментах таких ядер. Согласно оболочечной модели, эти величины для нечётных ядер определяются состоянием (величинами j, I) последнего «неспаренного» нуклона. В этом случае I = j, P = (—1) l. Магнитный дипольный момент m (в ядерных магнетонах), если неспаренным нуклоном является нейтрон, равен:
В
случае неспаренного протона:
Здесь mn = 1,913 и mp = 2,793 — магнитные моменты нейтрона и протона. Зависимости m от j при данном l = j ± 1/2 называются линиями Шмидта. Магнитные дипольные моменты практически всех нечётных ядер, согласно опытным данным, лежат между линиями Шмидта, но не на самих линиях, как это требуется простейшей оболочечной моделью (рис. 1, 2). Тем не менее близость экспериментальных значений магнитных дипольных моментов ядер к линиям Шмидта такова, что, зная j — I и m, можно в большинстве случаев однозначно определить I. Данные о квадрупольных электрических моментах ядер значительно хуже описываются оболочечной моделью как по знаку, так и по абсолютной величине. Существенно, однако, что в зависимости квадрупольных моментов от А и Z наблюдается периодичность, соответствующая магическим числам.
Все эти сведения о ядрах (значения IP, электрических и магнитных моментов основных состояний, магические числа, данные о возбуждённых состояниях) позволяют принять схему заполнения ядерных оболочек, приведённую на рис. 3.
Несферичность ядер. Ротационная модель.
С
огласно экспериментальным данным в области массовых чисел 150 < A 200, квадрупольные моменты Q ядер c I>1/2 чрезвычайно велики, они отличаются от значений, предсказываемых оболочечной моделью, в 10—100 раз. В этой же области значений А зависимость энергии нижних возбуждённых состояний ядер от спина ядра оказывается поразительно похожей на зависимость энергии вращающегося волчка от его момента вращения. Особенно четко это выражено у ядер с чётными А и Z. В этом случае энергия x возбуждённого уровня со спином I даётся соотношением:
(10)
г
де J — величина, практически не зависящая от I и имеющая размерность момента инерции. Спины возбуждённых состояний в (10) принимают, как показывает опыт, только чётные значения: 2, 4, 6,... (соответствует основному состоянию). Эти факты послужили основанием для ротационной модели несферического ядра, предложенной американским физиком Дж. Рейнуотором (1950) и развитой в работах датского физика О. Бора и американского физика Б. Моттельсона Согласно этой модели, ядро представляет собой эллипсоид вращения Его большая (a1) и малая (a2) полуоси выражаются через параметр деформации b ядра соотношениями:
(
11)
Электрический квадрупольный момент Q несферического ядра выражается через b. Параметры b, определённые из данных по квадрупольным моментам (не только по статическим, но и динамическим — т. е. по вероятности испускания возбужденным ядром электрического квадрупольного излучения), оказываются по порядку величины равными 0,1, но варьируются в довольно широких пределах, достигая у некоторых ядер редкоземельных элементов значений, близких к 0,5. От параметра b зависит также момент инерции ядра. Как показывает сравнение опытных данных по энергии возбужденных состояний несферических ядер с формулой (10), наблюдаемые значения J значительно меньше моментов инерции твёрдого эллипсоида вращения относительно направления, перпендикулярного оси симметрии. Нет так же ротационных уровней, соответствующих вращению эллипсоида вокруг оси симметрии. Эти обстоятельства исключают возможность отождествить вращение несферического ядра с квантовым вращением твердотельного волчка в буквальном смысле слова. Для ротационной модели несферических ядер принимается схема, аналогичная квантованию движения двухатомной молекулы с идентичными бесспиновыми ядрами: вращательный момент ядер такой молекулы относительно её центра тяжести всегда перпендикулярен оси симметрии (линии, соединяющей ядра). Из-за свойств симметрии волновой функции относительно перестановки ядер допустимы только чётные значения момента вращения (0, 2, 4 и т. д.), что как раз соответствует значениям I для ротационных состояний несферических ядер с чётными А и Z. Для ядер с небольшими значениями параметров деформации b, наблюдаемые значения близки к моменту инерции той части эллипсоида вращения, которая находится вне вписанного в эллипсоид шара. Такой момент инерции мог бы иметь идеальный газ, помещенный в сосуд в форме эллипсоида вращения, или, что то же самое, частицы, движущиеся независимо друг от друга в несферической эллипсоидальной потенциальной яме. С ростом b момент инерции ядра в такой модели растет довольно быстро, достигая твердотельного значения. Это противоречит опытным данным, согласно которым рост l с увеличением Р происходит значительно медленнее, так что для реальных ядер I принимают значения, лежащие между моментами инерции части эллипсоида, находящейся вне вписанного в него шара и твёрдого эллипсоида вращения. Это противоречие устраняется учётом взаимодействия между частицами, движущимися в потенциальной яме. При этом, как оказывается, гл. роль играют парные корреляции «сверхтекучего типа» (см. ниже).
Описанная картина структуры несферического ядра отвечает обобщению оболочечной модели на случай движения квазичастиц в сферически-несимметричном потенциальном поле (обобщённая модель). При этом несколько изменяются и схема энергетических уровней и квантовые числа, характеризующие индивидуальные орбиты частиц. В связи с появлением физически выделенного направления — оси симметрии эллипсоида, сохраняется проекция момента вращения каждой из частиц на эту ось. Момент вращения частицы при этом перестаёт быть определённым квантовым числом. Практически, однако, для всех ядер смешивание орбит с разными j мало, так как несферичность ядра в движении частиц сказывается главным образом на появлении дополнительного квантового числа.
Д
ля нечетных ядер спин ядра I получается векторным сложением ротационного момента всего ядра как целого и момента вращения «последнего» нечётного нуклона. При этом энергия ротационного уровня зависит не только от I, но и от проекции момента вращения К нечётного нуклона на ось симметрии ядра. Разным значениям К отвечают разные «ротационные полосы». Общая формула, определяющая энергию x (I) ротационного уровня нечётного ядра, имеет вид:
(12)
где dK,1/2 = 0, если К ¹ 1/2 и dK,1/2 = 1. при K = 1/2; a — эмпирически подбираемая константа, характеризующая «связь» момента вращения частицы и ротационного момента ядра. Моменты инерции для чётных и нечётных по А несферических ядер по порядку величины одинаковы и таковы, что энергия возбуждения первого ротационного уровня у ядер редкоземельных элементов около 100 кэв (это отвечает значениям J ~ 10-47 г·см2).
Существенная черта ротационной модели несферических ядер — сочетание вращения всего ядра, как целого, с движением отдельных нуклонов в несферическом потенциальном поле. При этом предполагается, что вращение всего ядра (т. е. несферической потенциальной ямы) происходит достаточно медленно сравнительно со скоростью движения нуклонов (адиабатическое приближение). Более точно последнее означает, что расстояние между соседними ротационными уровнями должно быть мало сравнительно с расстояниями между энергетическими уровнями нуклонов в потенциальной яме. Адиабатическое приближение для описания энергетического спектра некоторых несферических ядер оказывается недостаточным. В этом случае вводятся неадиабатические поправки (например, на кориолисовы силы и др.), что приводит к увеличению числа параметров, определяемых из сравнения теории с опытом.
Современные данные о ротационных спектрах несферических ядер обильны. У некоторых ядер известно несколько ротационных полос (например, у ядра 235U наблюдается 9 полос, причём отдельные ротационные полосы «прослежены» вплоть до спинов I = 25/2 и более). Несферические ядра в основном сосредоточены в области больших А. Есть попытки интерпретировать и некоторые лёгкие ядра как несферические (так в несферичности «подозревается» ядро 24Mg). Моменты инерции таких лёгких ядер оказываются примерно в 10 раз меньше, чем у тяжёлых.
Ротационная модель несферических ядер позволяет описать ряд существенных свойств большой группы ядер. Вместе с тем эта модель не является последовательной теорией, выведенной из «первых принципов». Её исходные положения постулированы в соответствии с эмпирическими данными о ядрах. В рамках этой модели необъяснённым остаётся сам факт возникновения ротационного спектра (т. е. факт вращения всего ядра, как целого). Попытки получить ядерные ротационные спектры на основе общей квантовомеханической теории системы многих тел пока остаются незавершёнными.
Сверхтекучесть ядерного вещества и другие ядерные модели.
Аналогично тому, как спаривание электронов в металлах порождает сверхпроводимость (см. Купера эффект), спаривание нуклонов должно приводить к сверхтекучести ядерного вещества. В безграничном ядре (ядерной материи) в единую «частицу» (куперовскую пару) объединялись бы нуклоны с равными по величине, но противоположными по знаку импульсами и проекциями спинов. В реальных ядрах предполагается спаривание нуклонов с одними и теми же значениями квантовых чисел (j, l) и с противоположными проекциями полного момента вращения нуклона, равными —j, —j + 1,... j—1, j. Физическая причина спаривания — взаимодействие частиц, движущихся по индивидуальным орбитам, как это принимается оболочечной моделью. Впервые на возможность сверхтекучести ядерной материи указал Н. Н. Боголюбов (1958). Одним из проявлений сверхтекучести должно быть наличие энергетической щели между сверхтекучим и нормальным состоянием ядерного вещества. Величина этой щели определяется энергией связи пары (энергией спаривания), которая для ядерной материи (насколько можно судить по разности энергий связи чётных и нечётных ядер) должна составлять ~ 1—2 Мэв. В реальных ядрах наличие энергетической щели с определённостью установить трудно, поскольку спектр ядерных уровней дискретен и расстояние между оболочечными уровнями сравнимо с величиной щели.
Наиболее ярким указанием на сверхтекучесть ядерного вещества является отличие моментов инерции сильно несферических ядер от твердотельных значений: теория сверхтекучести ядерного вещества удовлетворительно объясняет как абсолютные значения моментов инерции, так и их зависимость от параметра деформации Р. Теория предсказывает также резкое (скачкообразное) возрастание момента инерции в данной вращательной полосе при некотором критическом (достаточно большом) спине I. Это явление, аналогичное разрушению сверхпроводимости достаточно сильным магнитным полем, пока отчётливо не наблюдалось (в теоретическом предсказании критических значений I имеются неопределённости). Менее выразительно, но всё же заметно сказывается сверхтекучесть ядерного вещества на других свойствах ядра: на вероятностях электромагнитных переходов, на положениях оболочечных уровней и т. п. Однако в целом сверхтекучесть ядерного вещества выражена в реальных ядрах не так ярко, как, например, явление сверхпроводимости металлов или сверхтекучесть гелия при низких температурах. Причиной этого является ограниченность размера ядра, сравнимая с размером куперовской пары. Менее надёжны, чем в физике обычных конденсированных сред, и выводы теории сверхтекучести ядер. Главным препятствием теории и здесь является то обстоятельство, что взаимодействие между ядерными частицами не может считаться слабым (в отличие, например, от взаимодействия, приводящего к спариванию электронов в металле). Поэтому наряду с парными корреляциями следовало бы учитывать и корреляции большего числа частиц (например, четырёх). Вопрос о влиянии таких многочастичных корреляций на свойства ядра остаётся пока открытым.













