149596 (731901), страница 18
Текст из файла (страница 18)
Вопросы изучения неустановившегося движения реальной жидкости очень сложны. Если окажется необходимым получить самое общее решение поставленной задачи, то придётся рассматривать систему уравнений, в составе которой будут входить:
уравнение Навье-Стокса,
уравнение неразрывности,
уравнение состояния жидкости,
- уравнение термического состояния жидкости, уравнение первого закона термодинамики.
Следует отметить, что данная система настолько сложна и трудоёмка в своём решении, что сразу же стоит рассмотреть вопросы о необходимости принятия некоторых допущений и ограничений, облегчающих решение поставленной задачи. Другими словами, необходимо определить из соображений практики степень детальности построения модели, откуда станут очевидными требования к описанию объекта изучения. Так, рассматриваемый объект (жидкость) должна обладать упругими свойствами (быть сжимаемой), деформация жидкости должна происходить в пределах пропорциональности, что соответствует закону Гука. Следует также учитывать упругие свойства самого трубопровода, другие внешние среды не рассматриваются. Движение жидкости считается одномерным. Можно также пренебречь и теплопотерями во внешнюю среду.
Приняв такие ограничения, можно полную систему уравнений заменить на систему из двух дифференциальных уравнений
Н.Е. Жуковского:
где:
- адиабатический модуль упругости жидкости.
Однако даже для решения этой довольно простой системы придётся преодолеть немалые трудности. По сути дела обычно рассматривают одну из хорошо известных моделей процесса неустановившегося движения жидкости: модель несжимаемой жидкости,
- модель сжимаемой жидкости с сосредоточенными параметрами,
- модель сжимаемой жидкости с рассосредоточенными параметрами.
Строго говоря, процесс изменения давления в жидкости во времени уподобляется волновым процессам в упругой среде, модель среды должна относиться к моделям с рас-
пределёнными параметрами. Однако подходить к выбору модели следует, прежде всего, исходя из практики работы предприятий горных отраслей промышленности. По этой причине остановимся на изучении проблем, связанных с явлением гидравлического удара в круглых трубах и на базе решения этой практической задачи рассмотрим основные уравнения неустановившегося движения жидкости. Явление гидравлического удара характеризуется большими скоростями распространения ударной волны и значительными величинами возникающих при этом давлений, периоды колебаний давления составляют доли секунды, благодаря чему действием сил трения можно пренебречь. 9.2. Явление гидравлического удара
Явление гидравлического удара возникает при резком изменении скорости движения жидкости в трубопроводе (вплоть до его мгновенного закрытия). В таких случаях происходит переход кинетической энергии движущейся жидкости в потенциальную энергию покоящейся жидкости. Однако такой переход не мгновенный, а протекает с определённой скоростью, зависящей от свойств жидкости и материала трубопровода. Кроме того, этот процесс носит волновой характер. Покажем на простом примере, что гидравлический удар - процесс колебательный, т.е. волновой.
Резервуар А соединён с трубопроводом длиной /, на конце трубопровода установлена задвижка. Размеры резервуара таковы, что при отборе жидкости из него уровень жидкости в резервуаре практически не понижается. Также для упрощения модели пока будем считать саму трубу недеформируемой. Примем за начало отсчёта точку О, расположенную на оси трубы в плоскости задвижки. Если потерями напора на трение при движении жидкости пренебречь, то пьезометрическая линия будет горизон
тальной. Если бы жидкость была несжимаемой, то при резком закрытии задвижки
мгновенно остановилась бы вся масса жидкости находящаяся в трубе, что вызвало бы мгновенный рост давления во всей жидкости. На самом деле в упругой жидкости процесс будет развиваться иначе. В момент резкого закрытия задвижки остановится только тонкий слой жидкости, непосредственно примыкающий к задвижке, остальная масса жидкости
будет продолжать движение За бесконечно малый промежуток времени (длительность процесса остановки) остановится масса жидкости в объеме первого тонкого слоя.
где: -
- толщина тонкого слоя жидкости,
S - площадь внутреннего сечения трубы.
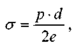
Если обозначить давление в точке О до закрытия затвора через
, а через
дав-
ление после мгновенного закрытия задвижки, то по теореме об изменении количества движения можно вычислить
Затем в следующий момент времени остановится следующий слой жидкости, потом третий и т.д. Так постепенно увеличенное давление у задвижки распространится по всему
трубопроводу в направлении против течения жидкости Тогда величина
представ-
ляет собой скорость распространения упругой (ударной) волны. По истечении времени
вся жидкость в трубопроводе станет находиться в сжатом состоянии. Но теперь возник перепад давления между жидкостью в резервуаре и жидкостью в трубе, в результате чего начнётся движение упругой жидкости из трубопровода обратно в резервуар. По истечении
такого же временного интервала
, давление жидкости у задвижки понизится на величину
, т.е достигнет первоначального значения. При этом процесс движения жидкости в резервуар будет продолжаться, пока пониженное давление не распространится до конца трубопровода (до резервуара). Таким образом, давление у задвижки буде сохраняться на
постоянном уровне в течение времени
, а продолжительность всего цикла гидравлического удара будет равна
. За это время давление у задвижки в течение половины этого
времени будет максимальным
, в течение другой половины времени - минималь-
9.3. Скорость распространения упругих волн в трубопроводе
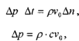
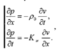
Рассмотрим общую задачу о распространении упругой волны в трубопроводе с упругими стенками (т.е. с учётом сжимаемости материала труб). Выделим элемент трубопровода протяжённостью
, в котором жидкость остановилась в течение времени
, а давление возросло на величину:
В остальной части трубы жидкость продолжает двигаться и за время А/ в выделенный остановившийся элемент жидкости за счёт её сжатия и сжатия стенки трубы поступит дополнительный объём жидкости:
где:
и
- начальная площадь трубы и скорость движения жидкости до
момента удара.
Разделим этот дополнительный объём на два составляющих объёма (за счёт сжатия жидкости
и за счёт сжатия трубы
где:
- увеличение площади сечения трубы за счёт упругости её материала.
Отсюда скорость распространения упругой волны в жидкости:
Относительное удлинение размера трубы (её радиуса):
Принимая во внимание, что:
- (Е- модуль Юнга материала трубы).
тогда:
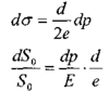
Величину
называют приведённым модулем упругости. С учётом
принятых обозначений:
9.4. Методы предотвращения негативных явлений гидравлического удара и его использование
Резкое увеличение давления, сопровождающее гидравлический удар - явление крайне негативное, т.к. гидравлический удар может разрушить трубопровод или какие-либо элементы гидравлических машин, испытывающие эффекты гидравлического удара. По этой причине разрабатываются методы предотвращения гидравлических ударов или уменьшить его негативное влияние. Поскольку мощность гидравлического удара напрямую зависит от массы движущийся жидкости, то для предотвращения гидравлического удара следует максимально уменьшить массу жидкости, которая будет участвовать в гидравлическом ударе. Для этого необходимо запорную арматуру монтировать в непосредственной близости к резервуару. В качестве меры уменьшения негативных последствий гидравлического удара используют замену прямого гидравлического удара на непрямой. Для этого достаточно запорную арматуру на напорных трубопроводах сделать медленно закрывающейся, что позволит уменьшить силу удара. Другой мерой борьбы с явлением гидравлического удара является установка на напорных линиях, работающих в условиях
циклической нагрузки специальных компенсаторов с воздушной подушкой, которая принимает на себя удар
Однако в ряде случаев явление гидравлического удара успешно используется. К таким случаям использования гидравлического удара относятся производственные процессы по разрушению материалов и др. Известна специальная конструкция водоподъёмника, базирующаяся на использовании гидравлического удара.
10. Движкние газа по трубам 10.1. Основные положения и задачи
Основной отличительной особенностью движения газа по трубам от движения капельных жидкостей заключается в том, что капельные жидкости характеризуются весьма малой сжимаемостью, а их вязкость практически не зависит от давления. По этой причине для решения большинства практических задач капельные жидкости можно считать не сжимаемыми, что позволяет значительно упростить уравнения движения такой жидкости. При движении газа таких допущений делать нельзя. Поскольку изучение общих решений уравнений газодинамики не является предметом настоящего курса, рассмотрим лишь частные задачи, встречающиеся в практике работы специалистов горных отраслей промышленности. К числу таких первоочередных задач относится изучение движения газов, включая воздух по газопроводам (воздуховодам).
Газ двигается по газопроводу при переменном давлении, т.к. давление изменяется вдоль длины газопровода из-за неизбежных потерь напора по длине трубопровода. По этой причине плотность газа и его вязкость являются величинами переменными и неодинаковы в различных сечениях газопровода. Рассмотрим наиболее простой случай газопровода (воздуховода) собранного из труб одинакового диаметра (простой газопровод S = const) при установившемся движении газа. Тогда в соответствии с уравнением неразрывности потока газа массовый расход газа вдоль газопровода является величиной постоянной
= const. При этом объёмный расход газа будет меняться от одного сечения газопровода к другому, т.к. плотность газа зависит от давления, которое по длине газопровода меняется.















