149579 (731857), страница 3
Текст из файла (страница 3)
Угловая скорость может меняться как по величине, так и по направлению. Векторная величина, характеризующая изменение угловой скорости в единицу времени и численно равная второй производной от угла поворота по времени, называется угловым ускорением:
Если положение и радиус окружности, по которой происходит вращение не изменяется со временем, то έ совпадает по направлению с направлением ω в случае ускоренного вращательного движения и противоположна в случае замедленного вращения.
Связь между линейной и угловой скоростью и ускорением.
О
тдельные точки вращающегося тела имеют различные линейные скорости v , которые непрерывно изменяют свое направление и зависят от ω и расстояния r соответствующей точке до оси вращения.
Точка, находящаяся на расстоянии r от оси вращения проходит путь ΔS = rΔφ.
П
, при Δt 0 получим пределы от левой и правой частей равенства:
Таким образом, чем дальше отстоит точка от оси вращения, тем больше ее линейная скорость. Известно, что
И
з написанных формул видно, что aτ, an и a растут с увеличением расстояния точек до оси вращения. Формула v = ωr устанавливает связь между модулями векторов v, r, и ω, которые перпендикулярны друг к другу.
Т
.к. ω | r ,то можно написать v = ω∙r∙sina это ничто иное как модуль векторного произведения. Таким образом
v = [ ω r ]
Рассмотренные простейшие виды движения твердого тела важны потому,
что любое движение твердого тела сводится к ним.
Рассмотрим два последовательных положения тела А1 и А2. Из положения А1 в положение А2 тело можно перевести следующим образом: вначале А1 в А1 поступательно. Затем из положения А1 в положение А2 путем поворота на угол φ вокруг произвольной точки 0.
Следует отметить, что в вращательному движению применимы все формулы кинематики материальной точки с заменой в них линейных величин на соответствующие угловые.
Колебательное движение.
Колебаниями или колебательными движениями являются движения или изменения состояния, обладающие той или иной степенью повторяемости во времени. Колебания весьма разнообразны по своей природе: колебания пружинного маятника, качания маятников, колебания струн, вибрации фундаментов, качка корабля, колебания ветвей деревьев и т.д.
Колебания называются периодическими, если значения физических величин, изменяющихся в процессе колебаний, повторяются через равные промежутки времени: положение маятника в часах, Т – период, v = 1/T.
При изучении кинематики колебательных движений нас интересуют:
- закон, по которое повторяется движение;
- время, через которое тело (система) снова приходит к тому же самому состоянию;
- наибольшие отклонения, которых достигает движущееся тело и т.д.
Изучив эти характеристика колебательного движения, мы можем определить состояние тела (системы) в любой момент времени.
Все сложные виды колебательных движений можно свести к простейшим гармоническим колебаниям. Гармоническими колебаниями физической величины a называется процесс изменения ее во времени по закону sin или cos.
Например: колебания математического маятника, x = x0cosωt колебания пружинного маятника.
А
Е
сли радиус окружности r, угловая скорость вращения ω , то проекция
y = r sinφ = r sinωt
если было начальное смещение на φ0,
y = r sin ( ωt + φ0 )
Аргумент синуса (или cos) наз. фазой. Фаза определяет положение колеблющейся величины в данный момент времени. φ0 – начальная фаза, которая определяет положение точки в начальный момент времени t = 0
y = y0 sinφ0
ω - круговая или циклическая частота, т.е. число полных колебаний, которые совершаются за 2π единиц времени:
ω = 2πv = 2π/Т
где v - частота колебаний, т.е. число полных колебаний за единицу времени;
Т - период колебания - наименьший промежуток времени, по истечении которого повторяются значения всех величин, характеризующих колебательное движение, т.е. время, за которое совершается полное колебание; у – смещение точки - удаление от положения равновесия в данный момент времени; у0 - амплитуда колебания - (наибольшее значение колеблющейся функции).
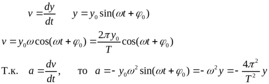
Вычислим скорость и ускорение точки, совершающей гармоническое колебание:
Знак " – " означает, что ускорение направлено в сторону, противоположную смещению. Изменение y, v, a с течением времени можно представить так:
| t | y | v | a |
| 0 | 0 | ωy0 | 0 |
| T/4 | y0 | 0 | – ω2 y0 |
| T/2 | 0 | – ωy0 | 0 |
| 3T/4 | – y0 | 0 | ω2 y0 |
| T | 0 | ωy0 | 0 |
Г
Из таблицы и графика следует, что скорость имеет максимальные значения, когда точка проходит положения равновесия, а ускорение максимально в крайних положениях.
Сложение колебаний
Из теорий гармонического анализа известно, что любую периодическую функцию f(x), имеющую период 2π, можно представить в виде тригонометрического ряда:
где a0, an, bn - коэффициенты этого ряда, определяемые по формулам:
Следовательно, любое сложное колебание можно представить как сумму нескольких простых. Чтобы знать, как зависят параметры сложного колебания от соотношения частот, амплитуд, фаз и направлений слагаемых колебаний, рассмотрим наиболее простые случаи сложения гармонических колебаний.
1. Сложение двух колебаний одного направления.
а) сложение 2-х колебаний одинаковой частоты.
ω1 = ω2 = ω, Т1 = Т2 = Т Уравнения колебаний отличаются только начальной фазой и амплитудой и имеют вид:
Представим оба колебания в виде векторов амплитуды Х01 и Х02, Сложение векторов выполним графически.
О
Само результирующее колебание имеет вид:
Важно заметить, что амплитуда результирующего колебания зависит от разности фаз (φ2 – φ1) слагаемых колебаний.
Она заключена в пределах:
-
Если разность начальных фаз слагаемых колебаний, равна четному числу π, φ2 – φ1 = кπ , то Х0 = Х01 + Х02, tg φ = tg φ1, φ = φ1, к = 0,1,2, …
Колебания однофазные и усиливают друг друга.
t
2) Если φ2 – φ1 = (2к+1)π , то Х0 = Х01 - Х02 , к = 0,1,2,… следовательно колебания ослабляют друг друга
3) Если Х01 = Х02 , ω1 = ω2 = ω , φ2 = φ1
Уравнение результирующего колебания имеет вид:
– начальная фаза результирующего колебания.
Результирующее колебание гармоническое, отличающееся по фазе от слагаемых колебаний на половину суммы их начальных фаз.
При φ1 – φ2 = 2кπ , (к = 0,1,2,…) Х0 = 2Х01 – колебания усиливаются.
При φ1 – φ2 = (2к + 1)π , (к = 0,1,2,…) Х0 = 0 – колебания гасятся.
2. Биения.
Особый интерес представляет сложение колебаний одинакового направления с одинаковыми амплитудами, имеющими (близкие) мало отличающиеся частоты.
Результирующее суммарное колебание имеет уравнение:
Полученное выражение представляет собой произведение 2-х гармонических сомножителей с частотами
и
.
Если ω1 мало отличается от ω2 , то частота
имеет близкие значения к ω1 и ω2 , а частота
– будет очень мала, т.е.
Отсюда следует, что результирующее колебание можно рассматривать как гармоническое колебательное движение, происходящее с круговой частотой
, периодом
и амплитудой
Причем амплитуда не остается постоянной, а медленно изменяется со временем. Частота изменения амплитуды
,
Такие колебания называются биениями. Биения - такие колебания, амплитуда которых периодически возрастает и убывает по закону cos. Максимальная амплитуда наблюдается, если фазы слагаемых колебаний совпадают. Ясли эти колебания находятся в противофазе, то они гасят друг друга.
Биения часто встречаются при сложении колебаний и широко используются в радиотехнике.
-
Сложение взаимно перпендикулярных колебаний.
-
Рассмотрим движение точки М1, участвующей одновременно в 2-х взаимно перпендикулярных колебаниях, частоты которых ω1 и ω2 равны (ω1 = ω2 = ω), амплитуды соответственно а и в.
Колебательный процесс в этом случае описывается системой уравнений:
где φ – угол сдвига фаз.
Для определения уравнения траектории движения точки из системы уравнений исключим время. Из первого уравнения















