147788 (730570), страница 3
Текст из файла (страница 3)
где к - коэффициент, учитывающий изменение структуры регулятора, равный UnRBj(UKRBn); с - коэффициент, учитывающий изменение параметров цепи возбуждения, равный Твп/Тви = = А,. ПЛВИ/(ХВИЛВП); Твм, Тва - электромагнитные постоянные цепи возбуждения, равные соответственно LBJRBK, LBJRBn.
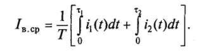
Начальные силы тока /, и /2 можно определить из граничных условий (см. рис.1.2, а): ^(0) = h(x2); 'i(ti) = 'г(О). Для граничных условий:
Решая систему уравнений (1.3), можно найти выражения для токов 1Х = / [(с, ух, к, тв); /2 = /2(с, ут, к, тв) и пульсацию силы тока возбуждения А/в = /j - h, где ут = хх/Т - относительная длительность импульса; тв = Т/Твм - относительная длительность периода переключений реле; Т=тх + т2 - период переключений реле. Среднюю силу тока возбуждения определяют путем интегрирования:
В общем случае средняя сила тока возбуждения при двухпозиционном регулировании зависит от следующих факторов:
-
относительной длительности импульса ух;
-
относительной длительности периода переключений тв (следовательно, и от частоты переключений реле);
-
параметров цепи возбуждения (коэффициента с);
-
структуры регулирования (коэффициента к).
Изменения перечисленных величин могут быть положены в основу способа регулирования напряжения. В регуляторах напряжения автотракторных генераторов применяют регулирование: широтно-импульсное (изменением ут), частотное (изменением тв), комбинированное (изменением ути хв).
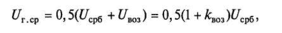
Через параметры реле можно выразить среднее напряжение, поддерживаемое регулятором:
а также пульсацию регулирования напряжения
Полученные соотношения позволяют определить ут и т„, а следовательно, и частоту переключений, \/Т= 1/(твГви) в зависимости от частоты вращения якоря генератора. При необходимости можно определить зависимости ух и тв от нагрузки на генератор. Как видно, Yt и тв зависят от параметров реле (САгср, Д{/г), параметров генератора (a, b, Ce, RBM, LBK), схемы регулирования (к, с). Для определения зависимостей ут и тв от частоты вращения якоря генератора и нагрузки необходимо знать значения перечисленных параметров.
1.3. РЕГУЛЯТОРЫ НАПРЯЖЕНИЯ ДИСКРЕТНОГО ДЕЙСТВИЯ
Преобразователи с широтно-импульсной модуляцией
Преобразование непрерывной величины с амплитудной модуляцией в сигнал с широтно-импульсной модуляцией можно осуществить с помощью устройства, схема которого, а также диаграммы, поясняющие принцип его работы, приведены на рис.1.6. Устройство содержит генератор линейно изменяющегося напряжения (ГЛН), выполненный на операционных усилителях DA1, DA2, устройство сравнения УСр, выполненное на операционном усилителе DA3, и триггер DD.
Входной сигнал UBX (диаграмма 2) сравнивается на устройстве сравнения УСр с линейно изменяющимся напряжением и„ (диаграмма 3). Частота работы ГЛН постоянна и выбирается исходя из решаемой задачи. По обратному ходу пилообразного напряжения (диаграмма 1) триггер DD устанавливается в лог. "1" (диаграмма 5). При совпадении напряжений на входах DA3 на его выходе появляется сигнал (диаграмма 4), устанавливающий триггер DD в лог. "О". Длительность импульса на выходе триггера пропорциональна напряжению на входе в моменты сравнения ти =f(Um). На выходе преобразователя получается сигнал с ШИМ. Преобразователь осуществляет преобразование Um(AM) E-> 1/вых(ШИМ) Е. Импульсы, идущие с УСр, по отношению к началу пилообразного напряжения можно рассматривать как сигнал с фазоимпульс-ной модуляцией (ФИМ).
Регуляторы напряжения с широтно-импульсной модуляцией
Применение регуляторов дискретного действия с постоянной частотой переключений позволяет устранить ряд негативных свойств двухпозиционных регуляторов непрерывного действия.
Можно синтезировать несколько вариантов таких регуляторов. На рис.1.7. представлена одна из возможных САР напряжения с использованием преобразователя напряжение - временной интервал (преобразователя сигнала с ШИМ).
Система содержит генератор G с обмоткой возбуждения LG, выпрямитель UZ, датчик регулятора Д, как правило, выполненный в виде делителя напряжения, формирователь опорного напряжения ФОН, выполняющий функции задающего устройства, устройство сравнения УСр1, преобразователь напряжение - время ПНВ и усилитель мощности УМ. ПНВ, в свою очередь, состоит из генератора тактовых импульсов ГТИ, генератора линейного напряжения ГЛН, устройства сравнения УСр2 и триггера Т.Д.ля питания электронной части системы используется стабилизатор напряжения СН второй ступени стабилизации. Он же используется для формирования заданного (опорного) напряжения Uz.
Работает система регулирования следующим образом. На устройство сравнения УСр1 подается напряжение с ФОН и датчика Д. Разность напряжений Ux и Uz с выхода УСр1, равная АС, поступает на устройство сравнения УСр2 преобразователя ПНВ. Генератор тактовых импульсов ГТИ дискретизирует процесс регулирования. Время, равное периоду следования импульсов с ГТИ, определяет цикл преобразования напряжения в длительность импульса (временной интервал). Импульсы с ГТИ синхронизируют работу генератора линейного напряжения ГЛН. В УСр2 напряжение с ГЛН сравнивается с напряжением AU. При совпадении значений сравниваемых напряжений на выходе устройства сравнения УСр2 вырабатывается сигнал, который сбрасывает триггер Т в лог. "О". Предварительно триггер импульсом с ГТИ устанавливается в лог. "1". Импульсы с выхода триггера поступают на усилитель мощности УМ и далее на обмотку возбуждения. ПНВ осуществляет преобразование …… функцией преобразования ти =f(AU), где ти - длительность (ширина) электрического импульса на выходе триггера.
Тиристорные регуляторы напряжения
П
о способу управления тиристором тиристорные регуляторы напряжения можно разделить на регуляторы с управлением угла включения тиристора (системы с естественной коммутацией) и регуляторы с управлением относительной длительностью включения тиристора (системы с искусственной коммутацией).
На рис.1.8. приведена принципиальная схема тиристорного регулятора напряжения с естественной коммутацией. В регуляторе напряжения функции регулирующего органа выполняет тиристор VS. В анодную цепь тиристора включена обмотка возбуждения ОВ генератора. Обмотка возбуждения шунтируется диодом VD4. Чтобы обеспечить естественную коммутацию, тиристор подключен к генератору через однофазный двухполупериодный выпрямитель, образованный двумя диодами выпрямителя генератора и двумя вспомогательными диодами VD5, VD6. Для обеспечения возбуждения генератора к обмотке возбуждения подводится напряжение аккумуляторных батарей через резисторы R6nR7. Для улучшения условий коммутации тиристора применен конденсатор С1.
Датчик, задающее устройство и устройство сравнения регулятора напряжения состоят из делителя напряжения Rl... R3, стабилитронов VD1, VD2 и резистора R4. Усилитель постоянного напряжения на транзисторе VT1 с нагрузкой R4 выполняет функции устройства управления. Дроссель L1 выполняет функции фильтра.
При включении выключателя зажигания S1 на вход регулятора поступает напряжение аккумуляторной батареи. Поскольку напряжение аккумуляторной батареи меньше напряжения срабатывания стабилитрона, то транзистор VT1 находится на границе состояния отсечки. По цепи LI, R4, VD3, R5 протекает ток, создающий падение напряжения на сопротивлении R5, достаточное для переключения тиристора VS.
Через фильтр Z, сопротивления R6 и R7, диоды VD5, VD6 и обмотку возбуждения ОВ подается анодное напряжение к тиристору, и тиристор переключается в состояние насыщения. Таким образом, обеспечивается возбуждение генератора. Затем обмотка возбуждения практически питается от однофазного мостового выпрямителя.
Когда напряжение генератора достигает напряжения срабатывания стабилитрона, транзистор VT1 переключается в состояние насыщения. При этом напряжение на цепочке VD3, R5 резко уменьшается и распределяется неравномерно. Большая часть напряжения приходится на диод, а меньшая часть - на сопротивление R5. Напряжение на сопротивлении R5 очень мало. Следовательно, напряжение на управляющем электроде тиристора практически равно нулю. При напряжении на выходе однофазного двухполупериодного выпрямителя, близком к нулю, тиристор переключается в состояние отсечки.
Регулирующие органы тиристорных регуляторов могут быть выполнены по различным схемам управляемых выпрямителей, в том числе как однофазные и трехфазные.
Тиристорные регуляторы напряжения создают более сложные условия возбуждения генератора и требуют увеличения числа витков обмотки возбуждения генератора, так как напряжение электроснабжения обмотки возбуждения ниже выпрямленного напряжения генератора. В автотракторном электроснабжении тиристорные регуляторы напряжения применяются редко.















