147788 (730570), страница 2
Текст из файла (страница 2)
Структурная схема системы автоматического регулирования напряжения
Структурно-поточная схема генераторной установки представлена на рис.1.3.
В ней используется САР с принципом регулирования по отклонению. На схеме указаны функциональные элементы системы регулирования и характеристики входных и выходных потоков.
Г
енератор содержит трехфазные обмотки статора 7, ротор 6 с обмоткой возбуждения ОВ и трехфазный двухполупериодный выпрямитель 2. Управляющее устройство содержит датчик Д, устройство сравнения УСр, задающее устройство ЗдУ, устройство управления УУ, исполнительное устройство ИУ и регулирующий орган РО. Объектом регулирования является энергетический преобразователь генератора ЭП(С). Устройство сравнения является релейным элементом, в котором осуществляется квантование сигнала на два уровня U\ и U2 с функцией преобразования
При включении привода генератора на обмотку возбуждения ОВ через регулирующий орган подается напряжение аккумуляторной батареи и генератор самовозбуждается. При увеличении частоты вращения ротора генератора возрастает напряжение UT на выходе. Напряжение UT воспринимается датчиком Д. Сигнал Ux с датчика поступает на устройство сравнения УСр, где сравнивается с заданным значениемUz. Сигнал Uly2c УСр поступает на устройство управления УУ, являющееся релейным элементом с зоной нечувствительности и формирующее закон управления.
Н
апряжение на выходе УУ определяется функцией преобразования
где Uсрб. р - напряжение срабатывания релейного элемента (см. рис.1.2, б); Uвоз. р - напряжение возврата.
Разность ∆U= Ucp6. p - Uвоз. р является зоной нечувствительности релейного элемента и определяет пульсацию выходного напряжения генератора. Отношение Ucp6. p/Uвоз. р называется коэффициентом возврата реле р.
При равенстве напряжения генератора напряжению срабатывания Ucp6 в цепи возбуждения исполнительное устройство изменяет скачкообразно сопротивление коммутации RK. Сила тока возбуждения через регулирующий орган, а следовательно, и через обмотку возбуждения ограничивается. В результате сила тока возбуждения и напряжение UT уменьшаются. Когда напряжение генератора становится равным U, срабатывает УУ и в цепи возбуждения восстанавливается прежнее значение сопротивления. Сила тока возбуждения и напряжение генератора возрастают, а при напряжении, равном Ucp6, снова срабатывает реле.
Далее процесс регулирования периодически повторяется. При этом средние значения напряжения, равного номинальному значению UH, и тока возбуждения остаются постоянными при данной частоте вращения якоря. Процесс регулирования напряжения происходит следующим образом: при увеличении или уменьшении напряжения регулятор САР соответственно уменьшает или увеличивает силу тока возбуждения и стабилизирует напряжение в заданных пределах.
Рассмотрим процессы преобразования, происходящие в элементах системы. Энергия и информация в любой системе могут передаваться от элемента к элементу только с материальным потоком (потоком вещества), поступающим на вход элемента. Поток вещества характеризуется тремя параметрами: видом энергии, носителем информативного параметра (физической величиной процесса) и формой информативного параметра (видом модуляции).
Энергетический преобразователь ЭП преобразует механическую энергию М углового перемещения ротора генератора Ga, представляемого аналоговым носителем процесса преобразования AM, в электрическую энергию Е переменного напряжения Ј4 с носителем AM с дальнейшим преобразованием носителя в напряжение постоянного тока UT. Процесс преобразования осуществляется под воздействием второго параметра физического явления, которое заключается в преобразовании электрической величины Е (тока возбуждения /„) с амплитудно-кодовой модуляцией АКМ в магнитную величину Mg (магнитный поток Ф) с амплитудной модуляцией AM.
П
роцесс преобразования можно записать в символической форме в виде выражения
Датчик Д преобразует поступивший на него с выхода генератора электрический сигнал Е в виде напряжения Ј7Г(АМ) в напряжение Ux с непрерывным по форме носителем информационного сигнала и амплитудной модуляцией AM: UX(AM) E. В устройстве сравнения УСр происходит сравнение (вычитание) величин Ux и Uz и квантование носителя информативного параметра. УСр является релейным элементом. Амплитудно-модули-рованный с квантованным на два уровня носителем информативного параметра АКМ сигнал (двоичный сигнал) на выходе УСр имеет вид U{> 2(AKM) Ј. Он преобразуется в УУ в сигнал иу(АКМ) Е, амплитуда и фаза которого определяют алгоритм управления.
Исполнительное устройство ИУ осуществляет преобразование Uy(AKM) E ^ Rk(AKM) E. В регулирующем органе РО происходит следующее преобразование: ЛК(АКМ) Ј'-* 1В(АКМ) Е.
В генераторе также происходит и побочная широтно-импульс-ная модуляция носителя информативного параметра - тока возбуждения: /В(ШИМ) ЈГ.
Тепловая энергия, которая является продуктом побочного преобразования механической и электрической энергий в тепло, отводится с помощью потока теплоносителя, создаваемого вентилятором 4.
Параметры теплоносителя на входе FX(TX) и выходе F2(T2) указаны на рис.1.3.
Двухпозиционные регуляторы с амплитудной модуляцией
Принципиальная схема САР напряжения генераторной установки представлена на рис.1.4.
В САР можно выделить следующие функциональные устройства:
-
датчик Д, чувствительным элементом которого является резистивный делитель Rl, R2. С него снимается информация о значении напряжения генератора. Простота датчика объясняется тем, что на его входе и выходе информация передается однородными электрическими величинами - напряжениями. В этом случае функции датчика может выполнять простой электрический контакт;
-
устройство сравнения УСр, включающее в себя стабилитрон VD1 и резистор R3. Стабилитрон выполняет функции задающего устройства. Напряжение стабилизации стабилитрона и значения резисторов R1... R3 определяют величину заданного напряжения Uz;
-
устройство управления УУ, реализованное на транзисторе VT1 с нагрузкой R4. Оно по сигналу с УСр формирует закон управления исполнительным устройством. На базу транзистора VT1 поступает сигнал Ј/i) 2 = (kUx-Uz), где к - коэффициент деления делителя; исполнительное устройство ИУ, представляющее собой усилительный каскад на транзисторе VT2, работающем в ключевом режиме. Диод VD2 играет вспомогательную роль. Он защищает транзистор от больших обратных напряжений при отключении обмотки возбуждения;
-
регулирующий орган РО - сопротивление добавочного резистора или сопротивление коммутирующего элемента, обеспечивающее изменение тока в обмотке возбуждения ОВ. В РО формируется управляющая величина - ток возбуждения;
-
объект регулирования ОР - электрогенератор, переменное напряжение которого преобразуется диодным выпрямителем VD3... VD8 в постоянное.
Работает система автоматического регулирования напряжения следующим образом. Если напряжение генератора UT меньше заданного Uz, определяемого напряжением стабилизации стабилитрона VD1, то стабилитрон закрыт, его сопротивление велико и базовый ток управления транзистора VT1 недостаточен для его открытия. Транзистор VT1 закрыт. На базу транзистора VT2 через резистор R4 подается положительное напряжение и он открывается. Через открытый транзисторный ключ VT2 в обмотку возбуждения поступает ток от источника питания.
Когда напряжение генератора и напряжение стабилизации стабилитрона становятся равны, стабилитрон открывается ("пробивается"), транзистор VT1 переходит в состояние насыщения (напряжение на переходе эмиттер-коллектор мало) и шунтирует переход база-эмиттер транзистора VT2. Транзистор VT2 закрывается, ток через обмотку возбуждения не протекает. Напряжение генератора начинает уменьшаться, и при определенном его значении стабилитрон закрывается. Весь процесс регулирования периодически повторяется. Пульсации выходного напряжения генератора сглаживаются на выходном емкостном фильтре, функции которого выполняет аккумуляторная батарея.
В применяемых в настоящее время САР напряжения АиТ регуляторы напряжения выполняются исключительно на электронных элементах. В генераторных установках электронные элементы, узлы и устройства изготавливаются из полупроводниковых материалов (чаще всего из кремния) с использованием различных технологических процессов. Для элементов базовыми являются гибридная и полупроводниковая (интегральная) технологии.
Узлы и устройства, имеющие определенное схемное решение, могут быть воплощены в различных конструкциях, при изготовлении которых используются соответствующие технологии. Современный уровень развития микроэлектроники позволяет производить узлы и устройства в виде интегральных микросхем и отказаться от традиционных конструкций со сборкой, монтажом и пайкой дискретных элементов на платах.
На рис.1.5. представлена принципиальная схема САР напряжения автомобильного генератора типа EE14V3 фирмы Bosch, работа которой полностью соответствует ранее рассмотренной САР. Практические схемы усложняются за счет введения дополнительных элементов, улучшающих качество работы системы и ее динамические характеристики. Так, с помощью диода VD1 осуществляют температурную компенсацию параметров стабилитрона, конденсатор С является фильтром на входе регулятора, сопротивление R7 выполняет функции жесткой обратной связи, обеспечивающей ускоренное переключение транзисторов, диод VD3 гасит обратное напряжение на транзисторах. Соединение транзисторов VT2 и VT3, при котором их коллекторные выводы объединены, а питание базовой цепи одного транзистора производится от эмиттера другого, называется схемой Дарлингтона. При таком соединении оба транзистора могут рассматриваться как один составной транзистор с большим коэффициентом усиления. Использование дополнительного выпрямителя VD4... VD6 до питания обмотки возбуждения устраняет разряд батареи GA при выключенном двигателе.
Все системы автомобилей, как правило, снабжаются устройствами контроля и диагностики. В генераторной установке для контроля работоспособности используются лампа HL и резистор R8. При неработающем двигателе автомобиля замыкание контактов выключателя зажигания SA позволяет току от аккумуляторной батареи GA через лампу HL поступать в обмотку возбуждения генератора. Этим обеспечивается первоначальное возбуждение генератора. Если лампа HL горит, значит в цепи обмотки генератора нет обрыва. После запуска двигателя напряжения на выводах генератора D+ и В+ выравниваются и лампа гаснет. Если генератор при работающем двигателе не вырабатывает напряжение, то лампа HL продолжает гореть и в этом режиме, что является сигналом об отказе генератора или обрыве его привода. Введение резистора R8 в цепь лампы позволяет контролировать целость обмотки возбуждения. В случае обрыва обмотки возбуждения при работающем двигателе лампа загорается.
Рассмотрим процесс регулирования в непрерывной двухпозиционной системе автоматического регулирования.
Характер процесса регулирования при использовании непрерывных квантованных сигналов в регуляторе позиционного действия определяется статической характеристикой релейного элемента и свойствами элементов системы автоматического регулирования, описываемыми линейными дифференциальными уравнениями. В линейной части системы первостепенное значение имеют параметры объекта регулирования, которые определяют характер дифференциального уравнения, описывающего его функционирование. В теории автоматического регулирования дифференциальные уравнения представляются в виде передаточных функций.
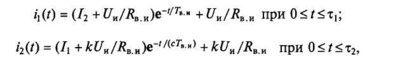
В замкнутой САР при статической характеристике релейного элемента с зоной нечувствительности в установившемся режиме возникают устойчивые автоколебания с определенной частотой (периодом) и амплитудой. Зона нечувствительности определяется порогами срабатывания Ucp6p и возврата С4озр релейного элемента. Параметры колебательного процесса в установившемся режиме определяются передаточной функцией объекта регулирования.
Е
сли предположить, что объект регулирования является апериодическим звеном без запаздывания, время нарастания напряжения генератора соответствует импульсу включения тока возбуждения, а время спада напряжения - паузе (ток возбуждения отключается), то процесс регулирования напряжения генератора описывается на участках нарастания и спада напряжения следующими дифференциальными уравнениями:
где UH и Un - напряжения, приложенные к цепи возбуждения соответственно во время импульса и паузы тока возбуждения; RB„ и RBn - сопротивления цепи возбуждения соответственно во время импульса и паузы; LB. „ и LB п - индуктивности цепи возбуждения соответственно во время импульса и паузы.
П
редположим, что UK и Un - обобщенные параметры, учитывающие встречные ЭДС, падения напряжения на полупроводниковых элементах и т.д. Такими же обобщенными параметрами являются RBAt, RBn, LBM, LBM. Если ию Ua, RBM, RBn, LBM, LBM являются постоянными и ток в цепи возбуждения непрерывный, то решением линейных дифференциальных уравнений является переходная функция (см. рис.1.2. а), которая может быть представлена аналитическими выражениями















