kursovik (730107), страница 3
Текст из файла (страница 3)
Общая трудоемкость всех видов ТО заносится в таблицы 4 и 5.
Таблица 4. - Трудоемкость ТО и ТР машин
| № | Наименование | Трудоемкость | Всего | ТР | ||
| ТО1 | ТО2 | СО | ||||
| 1 | Экскаватор | 974,1 | 568,4 | 650 | 2192,5 | 10125 |
| 2 | Экскаватор | 1598,8 | 1998,6 | 1120 | 4717,4 | 18876,8 |
| 3 | Эксковотор | 1198,8 | 674,28 | 960 | 2833,08 | 14208 |
| 4 | Экскаватор | 786,24 | 912,28 | 700 | 2398,52 | 7640 |
| 6 | Бульдозер ДЗ-29 | 3801,6 | 2112 | 2800 | 8713,6 | 25080 |
| 7 | Бульдозер | 3155 | 3523,2 | 2520 | 9198,2 | 19280,8 |
| 10 | Автогрейдер | 412,28 | 309,96 | 450 | 1172,24 | 14760 |
| 14 | Экскаватор | 150 | 150,24 | 102 | 402,24 | 991,8 |
| 15 | Скрепер | 195 | 146,45 | 188 | 529,45 | 904 |
| 16 | Скрепер | 279,9 | 108,86 | 480 | 868,76 | 3402 |
| 20 | Автокран | 3024 | 2268 | 448 | 5740 | 15336 |
| 21 | Автокран | 4608 | 3456 | 768 | 8832 | 23616 |
| 22 | Пневмоколесный кран | 1677,2 | 1797 | 960 | 4434,2 | 15360 |
| 23 | Гусеничный кран | 2475 | 2337,84 | 1240 | 6052,84 | 21392 |
| 24 | Кран башеный | 756 | 769,5 | 216 | 1741,5 | 3448 |
| 25 | Трактор | 200 | 175 | 250 | 625 | 1390 |
| 26 | Трактор МТЗ - 80 | 280,2 | 245 | 350 | 875,2 | 1946 |
| 27 | Трактор | 157,44 | 118,1 | 180 | 455,54 | 1312,2 |
| 28 | Трактор | 279,92 | 244,86 | 320 | 844,78 | 1992,6 |
| 29 | Трактор | 842,4 | 421,2 | 540 | 1803,6 | 4212 |
| 30 | Трактор | 112,32 | 70,2 | 120 | 302,52 | 1092 |
| Итого: | 26964,2 | 22406,97 | 15362 | 64733,17 | 206365,2 | |
При проектировании профилактория считается, что 30% всего объема работ по выполнению ТО выполняются в нем, а остальной объем -передвижными средствами.
При проектировании мастерской 70% объема ТР выполняется непосредственно в ней, а остальной - передвижными средствами. Распределение трудоемкости ТО и ТР машин приведено в таблицах 5 и 6.
Таблица 5. — Распределение годовой трудоемкости ТО машин
| № | Виды ТО | Годовая трудоемкость | ||
| Общая | Работа в | Работы на | ||
| 1 | ТО1 | 26964,2 | 18874,94 | 8089,26 |
| 2 | ТО2 | 22406,97 | 15684,879 | 6722,091 |
| 3 | СО | 15362 | 10753,4 | 4608,6 |
| Итого: | 64733,17 | 45313,219 | 19419,951 | |
Таблица 6. — Распределение годовой трудоемкости ТР машин
| Работы ТР | Объем | Трудоемкость ТР по выполненным видам работ | ||||||
| слесарные | станочные | сварочные | кузнечные | медницкие | ремонт эл. | другие | ||
| на мастерской | 176174,88 | 79278,696 | 22902,7344 | 19379,2368 | 14093,9904 | 8808,744 | 15855,7392 | |
| передвижными | 75503,52 | 33976,584 | 9815,4576 | 8305,3872 | 6040,2816 | 3775,176 | 6795,3168 | |
| заказы на | 44043,72 | 19819,674 | 5725,6836 | 4844,8092 | 3523,4976 | 2202,186 | 3963,9348 | |
| самообслуживание | 50335,68 | 22651,056 | 6543,6384 | 5536,9248 | 4026,8544 | 2516,784 | 4530,2112 | |
| Итого: | 346057,8 | 155726,01 | 44987,514 | 38066,358 | 27684,624 | 17302,89 | 31145,202 | 31145,202 |
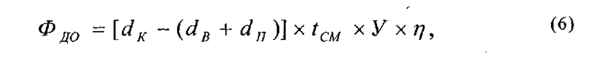
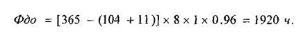
2.4 Определение годовых фондов времени
2.4.1 Определение годового действительного фонда времени рабочих.
Годовой действительный фонд времени рабочих определяется по формуле из [1]
где dотп — количество отпускных дней в году (24 дня);
t СМ - продолжительность смены (8 час);
nс - количество часов, на которое сокращается смена в праздничные дни (1 час);
- коэффициент, учитывающий потери рабочего времени по уважительной причине (0,96);
dп – кол-во праздничных дней (11 дней);
dк – количество календарных дней (305 дней);
dв – количество выходных дней (105 дней).
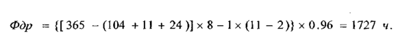
2.4.2 Определение годового фонда времени оборудования
Годовой фонд времени оборудования определяется по формуле из [1]
где У - количество смен, действующих на предприятие; принимаем У=1;
- коэффициент, учитывающий простои оборудования в ТО и ТР; принимаем =0,96.
2.5 Расчет числа рабочих
2.5.1 Определение числа производственных рабочих
Производственные рабочие заняты непосредственно на технологических операциях по выполнению производственной программы. Число производственных рабочих определяется по формуле из [4]
где Тв – трудоемкость каждого вида работ.
Полученные результаты числа производственных рабочих сводятся в таблицу 7.
Таблица 7. - Численность производственных рабочих по видам работ
| № | Наименование | Трудоемкость по | Годовой фонд | Число | |
| расчетное | принятое | ||||
| 1 | Слесарные | 155726,01 | 1727 | 90,17 | 90 |
| 2 | Станочные | 44987,514 | 1727 | 26,05 | 26 |
| 3 | Сварочные | 38066,358 | 1727 | 22,04 | 22 |
| 4 | Кузнечные | 27684,624 | 1727 | 16,03 | 16 |
| 5 | Меднические | 17302,89 | 1727 | 10,02 | 10 |
| 6 | Ремонт эл. | 31145,202 | 1727 | 18,03 | 18 |
| 7 | Другие | 31145,202 | 1727 | 18,03 | 18 |
| Итого: | 346057,8 | 200,38 | 200 | ||
2.5.2. Определение числа вспомогательных рабочих
К вспомогательным рабочим относятся: такелажники, стропальщики, контролеры.















