kursovik (729780), страница 3
Текст из файла (страница 3)
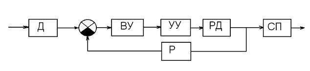
Измерение и запись температуры производятся следующим образом. Изменение сопротивления терморезистора
нарушает равновесие мостовой схемы, и в диагонали АВ моста возникает напряжение рассогласования, которое поступает на входной трансформатор, затем усиливается усилителем до значения, достаточного для приведения в действие реверсивного двигателя РД. Выходной вал двигателя, вращаясь в ту или иную сторону в зависимости от знака сигнала рассогласования, перемещает движок реохорда и перо самописца СП. При достижения равновесия мостовой схемы выходной вал двигателя о
станавливается, а движок реохорда, указатель и перо самописца занимают положение, соответствующее измеряемому сопротивлению термометра, а следовательно, температуре измеряемого объекта.
Мостовая схема изображенная на рис 2.2, будет в состоянии равновесия при условии
где
- приведенное сопротивление участка реохорда левее движка А;
- приведенное сопротивление участка реохорда правее движка А.
Для автоматических уравновешенных мостов установлена допускаемая основная погрешность, выраженная в процентах от нормирующего значения. Она составляет
0,25 или
0,5.
Отечественная промышленность выпускает следующие основные типы автоматических уравновешенных мостов: показывающие КПМ1 и КВМ1; показывающие и самопишущие с ленточной диаграммой КСМ1, КСМ2 и КСМ4; показывающие и самопишущие с дисковой диаграммой КСМ3. эти приборы имеют дополнительные сигнальные и регулирующие устройства и могут быть использованы в системах сигнализации и регулировки температуры.
-
ВЫБОР ТИПА ПЕРВИЧНОГО ИЗМЕРИТЕЛЬНОГО ПРИБОРА И
СООТВЕТСТВУЮЩЕЙ СХЕМЫ ИЗМЕРЕНИЯ
На основании заданного диапазона температур t
=
0
С и t
= 100
С в качестве первичного измерительного прибора (ПИП) возьмем медный термометр сопротивления, так как использование термоэлектрических термометров считаю нецелесообразным в этом диапазоне температур, с номинальным сопротивлением при 0
С R
= 53,00 Ом. Данному типу ПИП соответствует мостовая схема измерения, используемая в автоматических мостах.
-
РАСЧЕТ ПАРАМЕТРОВ НАСТРОЙКИ МОСТОВОЙ СХЕМЫ
ИЗМЕРЕНИЯ
Примем для расчета следующие данные:
-
диапазон измерения температуры от 0 до 100 градусов Цельсия;
-
в качестве датчика температуры выбран термометр сопротивления типа ТСМ 23 градуировки;
-
стандартная градуировочная шкала для электронного автоматического моста типа КСМ4 выбрана от 0
С до 100
С при работе его с термометром сопротивления типа ТСМ (23 градуирровки); -
параметры настройки измерительной схемы моста при использовании стандартной шкалы (0
С до 100
С ) имеют следующие значения:
Rл = 2,5 Ом; Rд = 4,3 Ом; R2 = R3 = 300 Ом; Rб = 450 Ом;
Rп = 23,6 Ом; Rрш = 90 Ом; Rпр = 18,7 Ом; R1 = 76 Ом;
R
= 53 Ом; R
= 75,58 Ом; Uо = 6,3 В.
Пересчитаем параметры настройки измерительной схемы моста (рис. 1), которые бы обеспечивали изменение положения показателя шкалы в пределах всей шкалы при заданном диапазоне изменения температуры от 0
С до 100
С.
Принимаем для расчета : Rл = 2,5 Ом; Rд = 4,3 Ом; R2 = R3 = 300 Ом; Rб = 450 Ом.
По градуировочной таблице определяем:
По формулам:
A = ( R
+ ( Rл + Rд + R3 ) * ( 1 – 2 *
) ) – (R
+ R
) *
= ( 53 + + (2,5 + 4,3 + 300) * (1 – 2 * 0,032)) – (53 + 75,58) * 0,032 = 383,05,
B = 4 * ( R
- R
) * R3 * (1 – 2 *
) = 4 * (75,58 - 53) * 300 * (1 – 2 * 0,032) = 25360,
определяем: Rпр = 16,419 Ом, R1 = 73,061 Ом; Rп = 13,866 Ом.
И после этого находим соответствующее значение тока в цепи включения реохорда:
Сравниваем это значение тока с предельно допустимым значением Imax:
Неравенство выполняется. Аналогично находим значение тока в цепи включения реохорда при Rt = R
:
Определяем его отношение к значению тока при Rt = R
:
и сравниваем это отношение с предельно допустимым значением (первое должно быть больше), равным 0,8..0,9. в рассматриваемом случае условие выполняется, поэтому можно полученные расчетные значения считать найденными.
-
ГРАДУИРОВОЧНАЯ ХАРАКТЕРИСТИКА ШКАЛЫ
ИЗМЕРИТЕЛЬНОГО ПРИБОРА
Проверяем градуировку шкалы, например при 0, 20, 40, 60, 80, 100 градусах. Для этого рассчитываются значения Uвых при указанных значениях температуры по формуле:
где
- величина определяемая из формулы:
отсюда следует, что при t =
C и Rt = 53 Ом,
;
Далее строится график функции
(рис. 2).
Определяем динамические параметры схемы измерения: К1сс, Кос, К2сс.
Начать вычисление проще с последних двух коэффициентов, причем коэффициент К2сс определяется для любой точки рассчитываемого диапазона температур, например
.
Для вычисления коэффициента К1сс необходимо вначале определить величины
и
. Это можно сделать взяв
для двух близких значений температуры, и определив соответствующие величины
по градуировочным таблицам. Выбираем для температуры + 40 и + 60
С, тогда
,
,
= 62,03 Ом,
= 66,55 Ом.
Исходя из этого, получим:
Следовательно, будем иметь:
-
ПЕРЕДАТОЧНЫЕ ФУНКЦИИ ДЛЯ СХЕМЫ ИЗМЕРЕНИЯ ПО
КАНАЛУ ИЗМЕРЕНИЯ ТЕМПЕРАТУРЫ И ПО КАНАЛУ ПЕРЕМЕЩЕНИЯ ДВИЖКА РЕОХОРДА (ПО ЦЕПИ ОБРАТНОЙ СВЯЗИ)
Измерение и запись температуры производятся следующим образом. Изменение сопротивления терморезистора
нарушает равновесие мостовой схемы, и в диагонали АВ моста возникает напряжение рассогласования, которое поступает на входной трансформатор, затем усиливается усилительным устройством (УУ) до значения, достаточного для приведения в действие реверсивного двигателя (РД). Выходной вал двигателя, вращаясь в ту или иную сторону в зависимости от знака сигнала рассогласования, перемещает движок реохорда и перо самописца (СП). При достижения равновесия мостовой схемы выходной вал двигателя останавливается, а движок реохорда, указатель и перо самописца занимают положение, соответствующее измеряемому сопротивлению термометра, а следовательно, температуре измеряемого объекта.
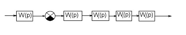
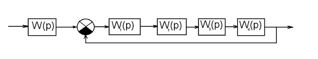
Здесь датчик представляет собой апериодичекое звено первого порядка передаточная функция которого равна:
Так же апериодическими звеньями являются: входное устройство (трансформатор), перо самописца, реверсивный двигатель и реохорд (Р), передаточные функции которых равны:
, для входного устройства (ВУ),
УУ – представляет собой безинерционное передаточное звено с передаточной функцией
Передаточная функция для схемы измерения по каналу измерения температуры равна:
а
передаточная функция по каналу перемещения движка реохорда
.
-
СТРУКТУРНО-ФУНКЦИОНАЛЬНАЯ СХЕМА РАБОТЫ АВТОМАТИЧЕСКОГО МОСТА
ИСПОЛЬЗУЕМАЯ ЛИТЕРАТУРА
-
Теплотехнические измерения и приборы. В.П. Преображенский. Издательство «Энергия», 1978 г.
-
Электрические измерения. Учебник для вузов. Под ред. А.В. Фремке.
Издательство «Энергия», 1980 г.
-
Основы метрологии и электрические измерения. . Учебник для вузов. Под ред. Е.Д. Душина. Издательство «Энергия», 1980 г.
16















