zxcdd (729524), страница 3
Текст из файла (страница 3)
Например, при t*=3J5*10 ≈365 сут
Для вычисления дебита нефти и воды необходимо определять значение интеграла
Можно при этом использовать также таблицы интеграла вероятности
помещенные в справочнике (2).
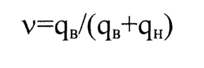
Имеем соотношение:
Обозначим
тогда
Таким образом, обводненность v=v(t) будем вычислять по формуле (21) из ист.(1) преобразованной к виду
Приведем к виду, удобному для вычислений, зависимость k*=k*(t)
Например, при t= 3,15·107≈365сут k* =2.9·10-12
По таблицам Ф(3,59)=0,99. Отсюда при t=3 515*107с значение vэ=0,005 Результаты вычислений изменения во времени обводненности продукции, а также дебита нефти и воды при постоянном дебите жидкости для элемента
пласта приведены в таблице при ряде значений времени t==t*
| Т , годы | К*, 10-12м2 | Vэ(t) | qнэ, м3/сут | qвэ м3/сут | ηэ | ||
| 1 | 2,9 | 3,59 | 0,99 | 0,005 | 34,83 | 0,17 | 0,138 |
| 2 | 1,46 | 2,5 | 0,9874 | 0,0063 | 34,78 | 0,22 | 0,154 |
| 3 | 0,97 | 1,9 | 0,9426 | 0,029 | 34 | 1,0 | 0,166 |
| 4 | 0,73 | 1,53 | 0,9164 | 0,04 | 33,6 | 1,4 | 0,189 |
| 5 | 0,58 | 1,05 | 0,7062 | 0,147 | 29,8 | 5,2 | 0,193 |
| 6 | 0,49 | 0,9 | 0,6318 | 0,18 | 28,7 | 6,3 | ,0,208 |
| 7 | 0,42 | 0,69 | 0,5098 | 0,24 | 26,6 | 8,4 | 0,224 |
| 8 | 0,37 | 0,45 | 0,3472 | 0,33 | 23,45 | 11,55 | 0,235 |
| 9 | 0,32 | 0,3 | 0,2358 | 0,38 | 21,7 | 13,3 | 0,244 |
| 10 | 0,29 | 0,13 | 0,1034 | 0,45 | 19,25 | 15,75 | 0,258 |
| 11 | 0,26 | -0,02 | -0,016 | 0,5 | 17,5 | 17,5 | 0,262 |
| 12 | 0,24 | -0,15 | -0,1192 | 0,56 | 15,4 | 19,6 | 0,270 |
Дебит жидкости, получаемый из элемента разработки qж согласно (20) не изменяется со временем при
pc=const. По формуле (20) имеем
согласно источнику (1).
Изменение во времени нефтеотдачи показано на графике 1 ,откуда видно что через 12 лет после начала разработки элемента его нефтеотдача станет равной Г1э=0,27.
4,3 Определение показателей разработки месторождения.
Согласно плану разбуривания и обустройства месторождения ежегодно в течение шести лет, т.е. в течение срока ввода месторождения в разработку в эксплуатацию передается по 60 элементов. Всего за 6 лет введено в эксплуатацию 360 элементов. Для простоты будем считать, что добыча нефти с разбуриваемых элементов будет происходить с начала каждого года.
Для определения изменения во времени добычи нефти по месторождению в таб. 2 приведены данные о добыче нефти из элементов, вводимых в действие за каждый год. Для определения добычи нефти в целом по месторождению добыча нефти по группам элементов суммируется по каждой горизонтальной строке таблицы. Аналогичным образом строится таблица 3 для расчета добычи воды.
Обводненность добываемой из месторождения продукции вычисляют по формуле
Всего по месторождению в разработку вовлекается объем нефти в пластовых условиях
Коэффициент охвата по месторождению в целом η2=0,7. Поэтому общий объем нефти в пласте
Нефтеотдача по месторождению в целом определяется как отношение объема накопленной добычи нефти
к первоначальному объему нефти в пласте Vн















