Rectif (729501), страница 2
Текст из файла (страница 2)
Рис.2 Зависимость критерия оптимальности от коэф-та избытка флегмы
По графику определяем что
. Отсюда находимо рабочее флегмовое число:
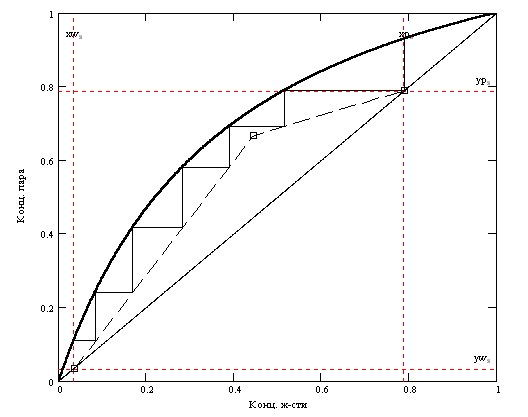
Исходя из рабочего флегмового числа строим рабочую линию и определяем теоретическое число тарелок в верхней и нижней части секции.
Рис.3 Теоретические ступени
Число теоретических тарелок NТТ=6
Число теоретических тарелок в нижней части NН=4
Число теоретических тарелок в верхней части NВ=2
Расчёт физико-химических свойств смеси в верхней и нижней частях.
Расчёт средних концентраций жидкости:
Расчёт средних концентраций пара:
Средние температуры верха и низа:
Определяются по той же формуле что и температуры на выходе из дистиллата и куба.
Средние молекулярные массы пара:
Средние молекулярные массы жидкости:
Средние плотности пара:
Средние массовые доли:
Средние плотности жидкости:
Плотность НК компонента при температур tН=388 оС равна
Плотность ВК компонента при температур tН=388 оС равна
Плотность НК компонента при температур tВ=369 оС равна
Плотность ВК компонента при температур tВ=369 оС равна
Средние вязкости жидкости:
Вязкость НК компонента при температур tН=388 оС равна
Вязкость ВК компонента при температур tН=388 оС равна
Вязкость НК компонента при температур tВ=369 оС равна
Вязкость ВК компонента при температур tВ=369 оС равна
Средние коэффициенты диффузии жидкости и пара:
Для низа колонны:
Для верха колонны:
Гидравлический расчёт колпачковых тарелок 1-й секции.
Определяем количество пара поднимающегося вверх по колонне. Примем допущение, что расход пара во всей колонне является величиной постоянной и находится:
Определяем расход жидкости в верхней и нижней части колонны:
Для расчёта диапазон колебания нагрузки принимаем равными:
К3=0,8 – коэффициент уменьшения нагрузки
К4=1,1 – коэффициент увеличения нагрузки
1. Диапазон колебания нагрузки.
Такое значение приемлемо для колпачковых тарелок.
2. Расчёт оценочной скорости для нижней части:
Для верхней части:
3. Диаметр нижней части:
Верхней части:
4. Так как диаметры оказались одинаковыми принимаем колонну одного диаметра DК=2,4 м
Действительную скорость пара в нижней части находим:
В верхней части:
5. По таблице 6 [1] периметр слива
и относительное сечение перелива
. Относительная активная площадь тарелки:
6. Фактор нагрузки для нижней части колонны:
Для верхней части:
Коэффициент поверхностного натяжения для нижней части колонны:
Для верхней части:
Принимая минимальное расстояние между тарелками
, по табл. 6.7 [1] определяем комплекс В1 для верхней и нижней частей колонны:
Допустимая скорость пара в рабочем сечении колонны для нижней части:
Для верхней части:
7. Проверяем условие допустимости скоростей пара для верхней и нижней частей колонны:
Условие не выполняется, поэтому необходимо увеличивать межтарельчатое расстояние, а при достижении максимального значения принимать тарелку большего диаметра до тех пор пока условие не сойдётся. Расчёт для нижней и верхней частей колонны ведём раздельно.
Расчёт нижней части секции:
Принимаем следующее диаметр:
Принимаем следующее диаметр:
Принимаем следующее диаметр:
Принимаем следующее диаметр:
Увеличиваем межтарельчатое расстояние:
Увеличиваем межтарельчатое расстояние:
Увеличиваем межтарельчатое расстояние:
Условие выполнилось. Продолжаем расчёт дальше.
8. Удельная нагрузка на перегородку в нижней части:
Условие не выполняется. Увеличиваем диаметр колонны:
Увеличиваем межтарельчатое расстояние:
Условие выполнилось. Продолжаем расчёт дальше.
Удельная нагрузка на перегородку в нижней части:
Условие не выполняется. Увеличиваем диаметр колонны:
Условие выполнилось. Продолжаем расчёт дальше.
8. Удельная нагрузка на перегородку в нижней части:
Условие выполнилось. Продолжаем расчёт дальше.
9. Фактор паровой нагрузки:
Подпор жидкости над сливным порогом:
10. Глубина барботажа hб=0,03 м (табл. 6.4. [1]), высота прорези колпачка h3=0,02 м (табл. 6.10. [1]), зазор установки колпачка h4=0,018 м (табл. 6.8. [1]).
Высота парожидкостного слоя на тарелках:
11. Высота сливного порога:
12. Градиент уровня жидкости на тарелке:
13. Динамическая глубина барботажа:
14. Значение комплекса В2 (табл. 6.9. [1]):
Минимально допустимая скорость пара в свободном сечении тарелок:
Относительное свободное сечение тарелок
(табл. 6.6.). Коэффициент запаса сечения тарелок:
Так как К1 <1, то пар будет проходить лишь через отдельные колпачка. Контакт пара и жидкости окажется не достаточно эффективным, но положение можно исправить, уменьшив число колпачков.
Выбираем площадь прорезей колпачка S3 =0,0046 м2 (табл. 6.10 [1]) и определяем скорость пара в прорезях:
Максимальная скорость пара в прорезях колпачка:
Коэффициент В5 берётся по табл. 6.11. [1].
Степень открытия прорезей колпачка:
Условие выполняется и пар проходит через все сечения прорезей и тарелка работает эффективно.
15. Фактор аэрации:
16. Коэффициент гидравлического сопротивления тарелки
(табл. 6.13 [1]).
Гидравлическое сопротивление тарелок:
17. Коэффициент вспениваемости при вакуумной перегонки мазута К5=0,75
Высота сепарационного пространства между тарелками:
18. Межтарельчатый унос жидкости:
Величина не превышает 0,1 кг/кг. Продолжаем расчёт.
19. Площадь поперечного сечения колонны:
Скорость жидкости в переливных устройствах:
Допустимая скорость жидкости в переливных устройствах:
Действительные скорости жидкости меньше допустимых. Таким образом для нижней части 1-й секции принимаем данную тарелку.
Расчёт верхней части секции:
Для упрощения конструкции колонны в верхней части секции принимаем тарелки того же диаметра что и в нижней DК= 3,6 м
1.Действительную скорость пара в верхней части:
2. По таблице 6 [1] периметр слива
и относительное сечение перелива
. Относительная активная площадь тарелки:
3. Фактор нагрузки для верхней части колонны:
Коэффициент поверхностного натяжения для верхней части секции:
Принимая минимальное расстояние между тарелками
, по табл. 6.7 [1] определяем комплекс В1:
Допустимая скорость пара в рабочем сечении колонны:
4. Проверяем условие допустимости скоростей пара:
Условие не выполняется, поэтому необходимо увеличивать межтарельчатое расстояние, а при достижении максимального значения принимать тарелку большего диаметра до тех пор пока условие не сойдётся.
Условие выполнилось. Продолжаем расчёт дальше.
5. Удельная нагрузка на перегородку в нижней части:
Условие выполнилось. Продолжаем расчёт дальше.
6. Фактор паровой нагрузки:
Подпор жидкости над сливным порогом:
7. Глубина барботажа hб=0,03 м (табл. 6.4. [1]), высота прорези колпачка h3=0,02 м (табл. 6.10. [1]), зазор установки колпачка h4=0,018 м (табл. 6.8. [1]).
Высота парожидкостного слоя на тарелках:
8. Высота сливного порога:
9. Градиент уровня жидкости на тарелке:
10. Динамическая глубина барботажа:
11. Значение комплекса В2 (табл. 6.9. [1]):
Минимально допустимая скорость пара в свободном сечении тарелок:
Относительное свободное сечение тарелок
(табл. 6.6. [1]). Коэффициент запаса сечения тарелок:
Так как К1 >1, то пар будет проходить через тарелку равномерно.
Выбираем площадь прорезей колпачка S3 =0,0046 м2 (табл. 6.10 [1]) и определяем скорость пара в прорезях:
Максимальная скорость пара в прорезях колпачка:
Коэффициент В5 берётся по табл. 6.11. [1].
Степень открытия прорезей колпачка:
Условие выполняется и пар проходит через все сечения прорезей и тарелка работает эффективно.
12. Фактор аэрации:
13. Коэффициент гидравлического сопротивления тарелки
(табл. 6.13 [1]).
Гидравлическое сопротивление тарелок:
14. Коэффициент вспениваемости при вакуумной перегонки мазута К5=0,75
Высота сепарационного пространства между тарелками:
15. Межтарельчатый унос жидкости:
Величина не превышает 0,1 кг/кг. Продолжаем расчёт.
16. Площадь поперечного сечения колонны:
Скорость жидкости в переливных устройствах:
Допустимая скорость жидкости в переливных устройствах:
Действительные скорости жидкости меньше допустимых.
Таким образом для верха и низа секции принимаем одинаковую тарелку.
Больше всего подходит стандартная тарелка ТСК-Р, которая имеет следующие характеристики:
Диаметр тарелки: D = 3600 мм;
Периметр слива: lw = 2,88 м;
Относительная площадь для прохода паров:
;
Межтарельчатое расстояние:
;
;
Работа тарелки характеризуется следующими параметрами:
Гидравлическое сопротивление тарелки:
Расчёт эффективности тарелок и высоты 1-й секции.
1. Определяем значение критерия Фурье для колпачковой тарелки:
2. Определяем общее числа единиц переноса:
Для верха колонны:
3. Локальная эффективность контакта:
Для верха колонны:
4. Эффективность тарелки по Мэрфи:
Для верха колонны:
5. Действительное число тарелок:
Для верха колонны:
6. Рабочая высота секции для низа:
Для верха:
Общая рабочая высота:
7. Общая высота секции:
Определение рабочего флегмового числа и числа теоретических тарелок для 2-й секции.
Расчёт второй секции колонны производим только для верхней части.
Заменяем перегоняемую смесь углеводородов во 2-й секции на бинарную смесь. В качестве низкокипящеко (НК) компонента принимаем н-гексадекан (С16Н34 ), а в качестве выкокипящего (ВК) - : н-гексакозан (С26Н54 ).
Производим расчёт мольных концентрация на входе и на выходах из секции.
Мольную концентрацию на входе определяем на основе массовой концентрации, которую рассчитали в материальном балансе 2-й секции (табл. 3).
Расчёт состава дистиллата: PНК и PВК рассчитываются при температуре равной 295 оС.
Температуры на выходе из дистиллата и куба определяем по формуле методом последовательного приближения:
Температура на выходе из дистиллата равна: tD=235 оС
Температура на входе равна: tF=308 оС
Определяем относительную летучесть
по формуле:
Средняя относительная летучесть:
Строим кривую равновесия по формуле:
Рис.1 Кривая равновесия
Состав пара уходящего с питательной тарелки равен yf=0,501 мол.дол.
Рассчитываем минимальное флегмовое число:
Оптимальное (рабочее) флегмовое число определяем на основе критерия оптимальности :
, где
. Зависимость критерия оптимальности от коэффициента избытка флегмы изображена на рисунке 2.
Рис.2 Зависимость критерия оптимальности от коэф-та избытка флегмы
По графику определяем что
. Отсюда находимо рабочее флегмовое число:
Исходя из рабочего флегмового числа строим рабочую линию и определяем теоретическое число тарелок в верхней и нижней части секции.
Рис.3 Теоретические ступени
Число теоретических тарелок NТТ=3
Расчёт физико-химических свойств смеси.
Расчёт средней концентрации жидкости:
Расчёт средней концентрации пара:
Расчёт средней температуры:
1>














