radioperedat_am (729496)
Текст из файла
18
ТЕХНИЧЕСКОЕ ЗАДАНИЕ
Рассчитать радиопередатчик связной с АМ-модуляцией по следующим параметрам:
1.Рабочая частота 2 МГц
2.Выходная мощность 15 Вт
3.Относительная нестабильность
4.Источник питания 127 / 220. В
1.Введение.
Радиопередающими называют устройства, предназначенные для выполнения двух основных функций – генерации электромагнитных колебаний высокой частоты или сверхвысокой частоты и их модуляции в соответствии с передаваемым сообщением. Радиопередающие устройства входят в состав радиокомплексов, содержащих, кроме того, антенны, радиоприёмные и различные вспомогательные устройства. При проектировании задают параметры, которым должен удовлетворять радиопередатчик. Основными из них являются выходная мощность на рабочей частоте или в диапазоне частот; относительная нестабильность частоты; вид и параметры модуляции.
2.Структурная схема РП.
В состав Р.П. входят:
-
Автогенератор с кварцевой стабилизацией.
-
Предварительный усилитель высокой (радио) частоты.
-
Усилитель мощности
-
Амплитудный модулятор.
-
Антенна.
Расчет Р.П. начнём с усилителя мощности.
3. Усилитель мощности.
Усилитель мощности (УМ) – один из основных каскадов РП; он предназначен для усиления мощности высокочастотных электромагнитных колебаний, возбуждаемых в задающем автогенераторе, путём преобразования энергии постоянного электрического поля в энергию электромагнитных колебаний. Следовательно, в состав УМ должен входить элемент, способный производить подобное преобразование. Эти элементы называют активными элементами (АЭ). В качестве АЭ в РП наиболее часто применяют биполярные и полевые транзисторы, иногда генераторные диоды (лавинно – пролетные, диоды Ганна).
В состав УМ (рис.1) помимо АЭ входят согласующие цепи, а также цепи питания и смещения. На вход усилителя поступают электромагнитные колебания частоты f от предшествующего каскада, называемого возбудителем. Нагрузкой УМ является входное сопротивление последующего каскада либо линии, ведущей к антенне.
Входная согласующая цепь
Цепь смещения
Цепь питания
Выходная согласующая цепь
Рис.1. Структурная схема усилителя мощности.
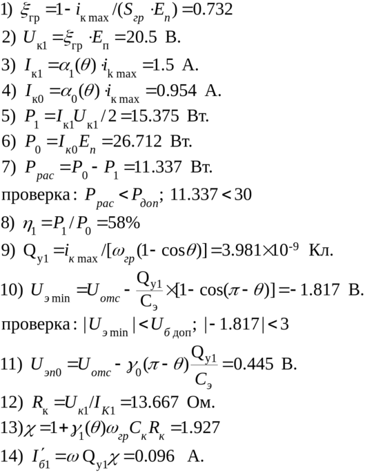
3.1 Расчёт усилителя мощности на биполярном транзисторе.
Требуется рассчитать режим работы транзистора в схеме с ОЭ с мощностью первой гармоники равной 15 Вт на частоте 2 МГц.
Выберем транзистор КТ903А. Его параметры:
3.1.1
Порядок расчёта режима работы БПТ.
3.1.2 Расчёт принципиальной схемы УМ.
Eп.
R1
C3 L2
L3 C5
Выход
C1 L1
Вход
C2 R2 C4 С6
Схема №1. Принципиальная электрическая схема УМ.
Выходная согласующая цепь:
Входная согласующая цепь:
Таблица №1.
| Элемент | Номинал | Ед. измерения |
| R1 | 41 | Ом. |
| R2 | 43 | Ом. |
| C1 | 0.8 | мкФ |
| C2 | 25 | нФ. |
| C3 | 0.8 | мкФ. |
| C4 | 3 | нФ. |
| C5 | 0.8 | мкФ. |
| С6 | 3 | нФ. |
| L1 | 93 | мкГн. |
| L2 | 2.7 | мкГн. |
| L3 | 2 | мкГн. |
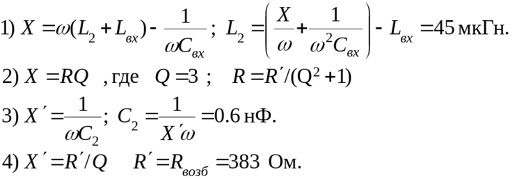
4. Расчёт предварительного усилителя.
Предварительный усилитель выполнен на транзисторе КТ911А. Расчёт режима и принципиальной схемы
Еп
С1 R1 L1
L2
С2 R2
Схема№2. Принципиальная электрическая схема предварительного усилителя.
4.1 Расчёт электрического режима транзистора большой мощности КТ911А. Его параметры:
По формулам п.3.1.1 и п.3.1.2 рассчитаем режим работы и принципиальную схему.
Расчёт цепи согласования L2C3:
Таблица №2
| Элемент | Номинал | Ед. Измерения |
| R1 | 1.8 | кОм. |
| R2 | 1.82 | кОм. |
| C1 | 0.8 | мкФ. |
| C2 | 0.6 | нФ. |
| L1 | 67 | мкГн. |
| L2 | 45 | мкГн. |
5.Автогенератор.
Автогенератор – это источник электромагнитных колебаний, колебания в котором возбуждаются самопроизвольно без внешнего воздействия. В радиопередатчиках автогенераторы применяются в основном в качестве каскадов, задающих несущую частоту колебаний. В зависимости от типа АЭ различают транзисторные и диодные автогенераторы. Идея создания транзисторного автогенератора основана на том, чтобы обеспечить режим транзистора приблизительно такой же,
как в УМ. При этом на вход транзистора подаются колебания не от внешнего источника, а из собственного резонатора через цепь обратной связи. Главное
свойство резонатора – колебательный характер переходного процесса. Простейший резонатор – это колебательный контур.
Относительная нестабильность частоты
автогенераторов, выполняемых на резонаторах в виде
-контуров, менее
. Однако к современным радиопередатчикам предъявляют более высокие требования по стабильности частоты. Как правило, долговременная относительная нестабильность частоты должна быть не менее чем
, что можно обеспечить, применяя кварцевые резонаторы.
5.1 Структурная схема автогенератора с кварцевой стабилизацией.
Согласующая
цепь
Кварцевый
резонатор
к нагрузке
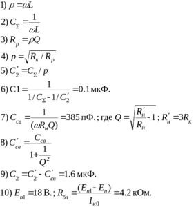
5.2 Расчёт автогенератора с кварцевой стабилизацией.
Rбл Ссв
R1
С2
Сбл1 R2 С1 Rсм Сбл2
Схема№3. Принципиальная электрическая схема кварцевого автогенератора.
Выберем в качестве АЭ транзистор КТ331А. Его параметры:
Расчёт произведём по указанным ниже формулам.
Расчёт кварцевого резонатора.
| Элемент | Номинал | Ед. Измерения |
| R1 | 4.66 | кОм. |
| R2 | 1 | кОм. |
| Rсм | 873 | Ом. |
| Rбл | 4.2 | кОм. |
| С1 | 0.05 | мкФ. |
| С2 | 1.1 | мкФ. |
| Ссв | 385 | пФ. |
| Сбл1 | 0.8 | мкФ. |
| Сбл2 | 900 | пФ. |
6.Модулятор.
Модулятор – это каскад радиопередатчика, в котором осуществляется модуляция высокочастотных колебаний в соответствии с передаваемым сообщением. Как известно, модуляцией в радиотехнике называют процесс управления одним из параметров высокочастотного колебания
, где
- амплитуда,
- частота,
- начальная фаза,
- мгновенная фаза колебания.
Изменяя с помощью управляющего НЧ сигнала амплитуду
, получим амплитудную модуляцию.
Структурная схема модулятора изображена на Рис.2. Преобразование спектра, которое происходит при модуляции, возможно в нелинейных системах либо в линейных системах с переменными параметрами. В качестве НЭ используют п/п диоды и транзисторы.
НЭ с цепями смещения и питания
Выходная согласующая цепь
Входная
согласующая цепь несущей частоты
Входная согласующая цепь сигнала
Рис.2. Структурная схема модулятора.
6.1.АМ – модуляция изменением напряжения питания.
Выходной ток АЭ зависит от напряжения на коллекторе, особенно сильна эта связь в перенапряжённом режиме. Поэтому можно осуществлять АМ – модуляцию, изменяя напряжение на коллекторе. В данном случае модулирующий сигнал вводят в цепь питания АЭ и напряжения питания (рис.3.)
напряжение питания в режиме несущих колебаний (напряжение источника питания);
амплитуда НЧ колебаний.
Характеристики
Тип файла документ
Документы такого типа открываются такими программами, как Microsoft Office Word на компьютерах Windows, Apple Pages на компьютерах Mac, Open Office - бесплатная альтернатива на различных платформах, в том числе Linux. Наиболее простым и современным решением будут Google документы, так как открываются онлайн без скачивания прямо в браузере на любой платформе. Существуют российские качественные аналоги, например от Яндекса.
Будьте внимательны на мобильных устройствах, так как там используются упрощённый функционал даже в официальном приложении от Microsoft, поэтому для просмотра скачивайте PDF-версию. А если нужно редактировать файл, то используйте оригинальный файл.
Файлы такого типа обычно разбиты на страницы, а текст может быть форматированным (жирный, курсив, выбор шрифта, таблицы и т.п.), а также в него можно добавлять изображения. Формат идеально подходит для рефератов, докладов и РПЗ курсовых проектов, которые необходимо распечатать. Кстати перед печатью также сохраняйте файл в PDF, так как принтер может начудить со шрифтами.















