143704 (727131), страница 3
Текст из файла (страница 3)
г
де iN — индекс среднегодовой численности населения.
При этом должна быть обеспечена сопоставимость цен (тарифов) на услуги в отчетном и базисном периодах, чтобы можно было определить динамику физического объема их потребления при погашении влияния цены. Это достигается или путем прямого использования сопоставимой (базисной) цены, или путем пересчета стоимости потребляемой услуги в отчетном периоде в цены (тарифы) базисного периода, т. е. методом дефлятирования.
Наряду с показателем расходов на конечное потребление в аналитических целях введен показатель фактического конечного потребления, представляющий собой стоимость фактически потребленных хозяйственными (институционными) единицами продуктов и услуг независимо от источников финансирования. В целом этот показатель равен показателю расходов на конечное потребление.
Помимо показателя общего конечного потребления с учетом его величины рассчитывается показатель конечного потребления на душу населения. Этот показатель нередко фигурирует в международных сравнениях, хотя в последнее время в статистических публикациях все чаще указывается показатель валового внутреннего продукта на душу населения. Такие средние показатели необходимы лишь как общий фон для системы дифференцированных оценок потребления населения с учетом его доходов, пола и возраста, социального положения, занятий, территории проживания и т. д.
Коэффициент удовлетворения потребностей населения по всем потребительским товарам и услугам (Кпо) в агрегатной форме определяется путем сравнения стоимости фактического потребления этих товаров и услуг qp и st) со стоимостью их нормативного набора (qHp + sнt):
q — количество фактически потребленных товаров;
s — количество фактически потребленных услуг;
t — фактический тариф за определенную услугу;
qН — норматив потребления определенного товара в расчете надушу населения;
sн — норматив потребления определенного вида услуг в расчете на душу населения;
N — средняя численность населения за период.
Стоимость нормативного набора рассчитывается исходя из установленных норм потребления в среднем на душу населения (норм, заложенных в нормативный потребительский бюджет) и численности населения.
Р
азность числителя и знаменателя Кпо определяет стоимость общего недопотребления товаров и услуг по сравнению с нормативным его уровнем. Однако они приводят к искажению истинной величины недопотребления. В связи с этим предлагается расчет показателя удовлетворения потребностей на душу населения:
При этом каждое фактическое потребление товаров и услуг принимается в объеме не выше нормативного, и, следовательно, критериальным значением КПД будет 1,0. Разность значений числителя и знаменателя Кпд покажет истинный размер недопотребления в среднем на душу населения по сравнению с нормативным уровнем: умножив эту разность на среднюю численность населения N, получим размер недопотребления в целом.
Оба показателя удовлетворения потребностей (общий и на душу населения) можно исчислить и в форме средней арифметической величины, где в качестве осредняемых величин выступят индивидуальные (по видам товаров и услуг) коэффициенты удовлетворения потребностей населения, а весами — доля стоимости нормативного потребления каждого вида товаров и услуг в общей стоимости всего их набора. Это позволяет провести сравнительную оценку индивидуальных коэффициентов и, более того, выявить влияние каждого из них на общий показатель. Их можно представить следующим образом:
Существенным фактором, воздействующим на уровень удовлетворения потребностей населения в товарах и услугах, выступает насыщенность ими потребительского рынка, измеряемая коэффициентом и индексом насыщенности:
Коэффициент насыщенности определяется по данным наблюдения органами государственной статистики за изменением цен основных продовольственных и непродовольственных товаров по выборочной сети магазинов в 130 городах. Он рассчитывается как отношение количества городов, в которых на момент регистрации цен товар был в продаже, к общему числу обследуемых городов. Данный показатель не учитывает наличие товаров в неорганизованной торговле — на городских и неформальных рынках.
Индекс насыщенности определяется как соотношение коэффициентов насыщенности за соответствующие периоды с учетом сопоставимости ассортимента товаров.
В
ажной задачей статистики является исследование структуры потребления населения. У каждой группы населения своя структура и свой определенный тип потребления. Для оценки структурных различий в потребительских расходах можно использовать интегральный коэффициент структурных сдвигов К. Гатева (Болгария):
где v1 и v0 — доли отдельных видов расходов домохозяиств в отчетном и базисном периодах.
Этот показатель будет равен нулю, если сравниваемые структуры остались неизменными; он будет равен единице, если сравниваемые структуры полностью изменились, т. е. О Ks 1. Его можно применить и для характеристики различий в структуре потребительских расходов домашних хозяйств, обусловленных дифференциацией доходов населения. В этом случае рассматриваемый коэффициент рассчитывается по следующей формуле:
г
де vj и vi — доли отдельных видов расхода домохозяиств двух разных групп населения в одном из исследуемых периодов;
j и i — номера сравниваемых групп населения по душевому доходу.
Изучение дифференциации потребления
Дифференциация потребления населения и домохозяйств изучается в различных аспектах: как между группами домохозяйств, выделенных по размеру, по составу, по имущественному положению, так и внутри этих групп.
При измерении дифференциации потребления могут использоваться метод статистической оценки гипотез, методология Парето—Лоренца—Джини, методы моделирования потребления и сравнительного анализа коэффициентов.
Рассмотрим применение некоторых из этих методов на примере изучения дифференциации потребления кофе в крайних децильных группах домохозяйств (см. табл. 2).
Таблица 2
Дифференциация потребления кофе
в крайних децильных группах домашних хозяйств
| Потребле-ние кофе за год, кг | В % к итогу по 10%-ным группам домохозяйств | Потребление кофе | ||||
| наименее обеспечен-ных F1 | наиболее обеспе-ченных F10 | в среднем по группе Пi | общее по децильной группе | |||
| первой C1=ПiF1 | десятой C10= ПiF10 | |||||
| Менее 3 | 38 | 6 | 2 | 76 | 12 | |
| 3-5 | 22 | 12 | 4 | 88 | 48 | |
| 5-7 | 18 | 34 | 6 | 108 | 204 | |
| 7-9 | 14 | 28 | 8 | 112 | 224 | |
| 9 и более | 8 | 20 | 10 | 80 | 200 | |
| Итого | 100 | 100 | 464 | 688 | ||
| Обследова-но домохо-зяйств | 126 | 132 | ||||
Вычислим показатели потребления по каждой децильной группе:
а) среднее потребление кофе на одно домохозяйство
в первой децильной группе
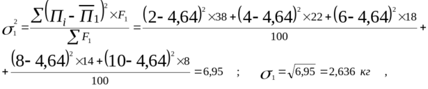
б) дисперсию потребления
в первой децильной группе
в) коэффициент вариации потребления
т. е. вариация умеренная и по потреблению кофе обследованные домохозяйства первой децильной группы неоднородны,
в десятой децильной группе
в
ариация потребления кофе в домохозяйствах десятой децильной группы слабая, а потребители достаточно однородны;
г) доля потребляющих кофе от 3 до 7 кг в год















