12s (722556), страница 2
Текст из файла (страница 2)
Расчет рабочей точки производится по тем же выражениям, что и для предыдущего каскада.
По формуле (4.2) рассчитаем выходной ток:
Тогда согласно выражениям (4.3) и (4.4) рабочая точка будет иметь следующие координаты:
Так как дроссель по постоянному току является короткозамкнутым проводником, то напряжение питания будет равным падению напряжения на транзисторе:
Таким образом получаем все необходимые данные для построения нагрузочной прямой по постоянному току.
Для построения нагрузочной прямой по переменному току примем приращение коллекторного тока равным току в рабочей точке:
Тогда согласно выражению (4.7) соответствующее приращение напряжения будет равно:
Нагрузочные прямые по постоянному и переменному токам представлены на рисунке 4.4.
Рисунок 4.4- Нагрузочные прямые для дроссельного каскада
Мощности, рассеиваемая на транзисторе, потребляемая каскадом и выходная, аналогично определяются по выражениям (4.8), (4.9) и (4.10):
Видно, что мощность рассеивания равна потребляемой.
По формуле (4.11) рассчитаем КПД дроссельного каскада:
Проведем сравнительный анализ двух схем. Энергетические характеристики резистивного и дроссельного каскадов представлены в таблице 4.1.
| Параметр | Еп, В | Ррас, Вт | Рпот, Вт | Iко, мА | Uкэо, В | , |
| Резистивный каскад | 26.6 | 3.168 | 9.363 | 352 | 9 | 13.7 |
| Дроссельный каскад | 9 | 1.584 | 1.584 | 176 | 9 | 40.4 |
Таблица 4.1 – Энергетические характеристики резистивного и дроссельного каскадов
Сравнивая энергетические характеристики двух каскадов, можно сделать вывод, что лучше взять дроссельный каскад, так как он имеет наименьшее потребление, напряжение питания и ток, а также более высокий КПД.
4.2 Выбор транзистора выходного каскада
Выбор транзистора осуществляется по следующим предельным параметрам:
предельный допустимый ток коллектора
предельное допустимое напряжение коллектор-эмиттер
предельная мощность, рассеиваемая на коллекторе
граничная частота усиления транзистора по току в схеме с ОЭ
Требованиям (4.12), (4.13), (4.14) и (4.15) удовлетворяет транзистор КТ911А [3]. Основные технические характеристики этого транзистора приведены ниже.
Электрические параметры:
-граничная частота коэффициента передачи тока в схеме с ОЭ
МГц;
-статический коэффициент передачи тока в схеме с ОЭ
;
-постоянная времени цепи ОС при UКБ=10В, IЭ=30мА ОС=25пс
-емкость коллекторного перехода при
В
пФ.
Предельные эксплуатационные данные:
-постоянное напряжение коллектор-эмиттер
В;
-постоянный ток коллектора
мА;
-постоянная рассеиваемая мощность коллектора
Вт;
4.3 Расчет эквивалентных схем транзистора
4.3.1 Расчет схемы Джиаколетто
Соотношения для расчёта усилительных каскадов основаны на использовании эквивалентной схемы транзистора, предложенной Джиаколетто, справедливой для области относительно низких частот [4].
Эквивалентная схема Джиаколетто представлена на рисунке 4.5.
Рисунок 4.5- Эквивалентная схема Джиаколетто
Зная паспортные данные транзистора, можно рассчитать элементы схемы, представленной на рисунке 4.5, согласно следующим формулам [4]:
Проводимость базы вычисляем по формуле
где Ск - ёмкость коллекторного перехода;
- постоянная времени цепи обратной связи. (паспортные данные, в
дальнейшем - *)
В справочной литературе значения
и
часто приводятся измеренными при различных значениях напряжения коллектор-эмиттер
. Поэтому при расчетах
значение
следует пересчитать по формуле
где
- напряжение
, при котором производилось измерение
;
- напряжение
, при котором производилось измерение
.
Также следует пересчитать ёмкость коллекторного перехода для напряжения коллектор-эмиттер, равному напряжению в рабочей точке:
Сопротивление эмиттерного перехода рассчитывается по формуле
где Iко - ток в рабочей точке в миллиамперах;
а=3 – для планарных кремниевых транзисторов,
а=4 – для остальных транзисторов.
Проводимость перехода база-эмиттер рассчитывается по формуле
где
- сопротивление эмиттерного перехода;
- статический коэффициент передачи тока в схеме с ОЭ (*).
Ёмкость эмиттера рассчитывается по формуле
где fт – граничная частота коэффициента усиления тока базы (*).
Крутизна внутреннего источника рассчитывается по формуле
где
- статический коэффициент передачи тока в схеме с ОБ.
Проводимости gБК и gi оказываются много меньше проводимости нагрузки усилительных каскадов, в расчётах они обычно не учитываются.
Подставляя численные значения, по формулам (4.16) (4.22) проводим расчёт элементов схемы.
П
о формулам (4.17а) и (4.17б) пересчитаем ёмкость коллектора для напряжения, при котором измерена постоянная времени цепи обратной связи, а также для напряжения, равного напряжению в рабочей точке:
По формуле (4.16) производим расчет проводимости базы:
По формуле (4.18) производим расчет сопротивления эмиттерного перехода:
Проводимость база-эмиттер вычисляем согласно формуле (4.19):
По формуле (4.20) рассчитываем ёмкость эмиттера:
Крутизну внутреннего источника вычисляем по формулам (4.21) и (4.22):
4.3.2 Расчет высокочастотной однонаправленной модели
Однонаправленная модель справедлива в области частот более
, где
=
(
- граничная частота коэффициента передачи тока,
- статический коэффициент передачи тока в схеме с общим эмиттером) [4].
Однонаправленная модель транзистора представлена на рисунке 4.6.
Рисунок 4.6 – Однонаправленная модель транзистора
Элементы схемы замещения, приведенной на рисунке 4.6, могут быть рассчитаны по следующим эмпирическим формулам [4].
Входное сопротивление:
где
- сопротивление базы в схеме Джиаколетто (см. рисунок.4.5).
Выходное сопротивление:
где UКЭМАХ – предельное значение напряжения коллектор-эмиттер (*);
IКМАХ – предельное значение постоянного тока коллектора (*).
Подставляя в выражение (4.25) числовые значения, получаем:
Выходная ёмкость:
где СК – ёмкость коллектора, рассчитанная в соответствии с формулой
(4.17,б)
4.4 Расчет цепей термостабилизации
Существует несколько видов схем термостабилизации [5,6]. Использование этих схем зависит от мощности каскада и требований к термостабильности. В данной работе рассмотрены следующие три схемы термостабилизации: эмиттерная, пассивная коллекторная, активная коллекторная. Необходимо сравнить эффективность использования данных схем.
4.4.1 Эмиттерная термостабилизация
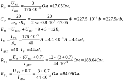
Рассмотрим эмиттерную термостабилизацию, схема которой приведена на рисунке 4.7. Метод расчёта и анализа эмиттерной термостабилизации подробно описан в [5,6].
Рисунок 4.7 – Схема эмиттерной термостабилизации
Расчет номиналов элементов осуществляется по известной методике, исходя из заданной рабочей точки.
Рабочая точка достаточно жестко стабилизирована, если
Номинал резистора RЭ находится по закону Ома:
Емкость СЭ позволяет всему сигналу от генератора выделяться на транзисторе. Номинал рассчитывается по формуле:
Напряжение источника питания будет составлять сумму падений напряжений на транзисторе и резисторе в цепи эмиттера:
Базовый ток в
раз меньше тока коллектора:
Выбор тока делителя осуществляется следующим образом:
Расчет номиналов резисторов базового делителя производим по формулам:
Принимая
и
, согласно выражениям (4.27) – (4.34) производим численный расчет:
Также проведем расчет мощности, рассеиваемой на резисторе RЭ.
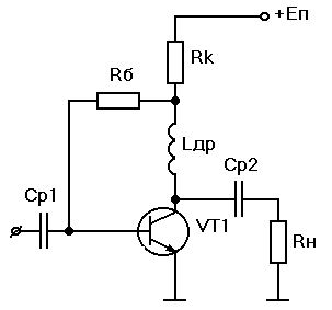
4.4.2 Пассивная коллекторная термостабилизация
Этот вид термостабилизации [5,6] применяется в маломощных каскадах и менее эффективен, чем две другие, потому что напряжение отрицательной обратной связи, регулирующее ток через транзистор подаётся на базу.
Схема каскада с использованием пассивной коллекторной термостабилизации представлена на рисунке 4.8:
Рисунок 4.8 – Схема пассивной коллекторной термостабилизации
Расчет начинают с того, что выбирается напряжение на резисторе Rk:
Номинал резистора RК находится по закону Ома:















