amplifier (722553), страница 3
Текст из файла (страница 3)
В качестве усилительного элемента VT2 используется транзистор КТ930А.
Расчет межкаскадной корректирующей цепи третьего порядка производится по следующей методике.
В начале расчета определяют неравномерность амплитудно-частотной характеристики (АЧХ) приходящейся на каждый каскад. Затем из таблицы, которая находится в методическом пособии [6] по неравномерности АЧХ определяют коэффициенты а1 , а2,, а3. После находят нормированные значения Свых.н , Lвх.н и Rвх.н по следующим формулам:
(4.43)
(4.44)
(4.45)
Для нахождения нормированных значений С1 , С2 , L1 рассчитывают следующие коэффициенты:
(4.46)
(4.48)
(4.49)
(4.50)
(4.51)
(4.52)
Нормированные значения С1 , С2 , L1 рассчитывают по формулам:
(4.53)
(4.54)
(4.55)
Коэффициент усиления определяют по следующей формуле:
(4.56)
Значения элементов С1 , С2 , L1 , R1 рассчитывают по формулам:
(4.57)
(4.58)
(4.59)
(4.60)
Рассчитаем межкаскадную корректирующую цепь между выходным и предоконечным каскадом. Для этого представим схему приведенную на рисунке 4.12 в виде эквивалентной схемы изображенной на рисунке 4.13.
Рассчитаем элементы МКЦ.
Значения выходных параметров транзистора КТ930А возьмем из пункта 5.2, где рассчитана эквивалентная схема этого транзистора.
КТ930А: Cвых.= 78.42 пФ;. Rвых.= 8.33 Ом.
Р
исунок 4.13 – Эквивалентная схема каскада
Значения входных параметров транзистора КТ930Б возьмем из пункта 4.3.2.
Неравномерность АЧХ приходящейся на каждый каскад составляет 0.7дБ. Из таблицы находящейся в методическом пособии [6] коэффициенты а1 , а2,, а3 будут равны:
Нормируем входные и выходные параметры по формулам (4.43, 4.44, 4.45).
Для нахождения нормированных значений С1 , С2 , L1 определим следующие коэффициенты по формулам (4.46 – 4.52).
Нормированные значения элементов С1 , С2 , L1 найдем по формулам (4.53-4.55).
Коэффициент усиления рассчитаем по формуле (4.56).
Значения элементов МКЦ найдем из формул (4.57-4.60).
5 Расчет предоконечного каскада
5.1 Расчет рабочей точки
В предоконечном каскаде используется транзистор КТ930Б. Для того чтобы усилитель имел один источник питания, необходимо напряжение в рабочей точке оставить неизменным, то есть можно записать:
Ток в рабочей точке изменяется в соответствии с коэффициентом усиления межкаскадной корректирующей цепи, которая рассчитана в пункте 4.5.2.
5.2 Расчет эквивалентной схемы транзистора
В качестве эквивалентной схемы расчитаем однонаправленную модель транзистора.
Рассчитаем элементы схемы, воспользовавшись справочными данными и формулами приведенными в пункте 4.3.2.
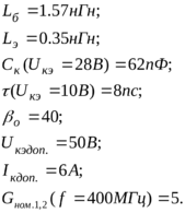
Справочные данные [2] для транзистора КТ930А:
Входную индуктивность определим по формуле 4.19.
Определим входное сопротивление по формуле (4.12), для этого найдем Ск при напряжении Uкэ = 10В воспользовавшись формулой (4.11.)
Выходную емкость найдем из формулы (4.12).
Выходное сопротивление определим из формулы (4.20).
Рассчитаем частоту fmax из формулы (4.21).
5.3 Расчет схемы термостабилизации
В предоконечном каскаде используется схема активной коллекторной термостабилизации.
Рассчитаем элементы схемы воспользовавшись формулами приведенными в пункте 4.4.3 и рисунком 4.9.
Выберем напряжение UR4=1В и расчитаем значение резистора R4 по формуле (4.32).
Базовый ток транзистора VT2 определим по формуле (4.33).
Напряжение в рабочей точке для транзистора VT1 найдем по формуле (4.34). Значение сопротивления R2 расчитаем по формуле (4.35).
Базовый ток транзистора VT2 равен значению тока в рабочей точке транзистора VT1.
Базовый ток транзистора VT1 определим из формулы:
Ток делителя найдем по формуле (4.38).
Значение сопротивления R3 расчитаем по формуле (4.36).
Значение сопротивления R1 расчитаем по формуле (4.37).
5.4 Расчет межкаскадной корректирующей цепи
Расчитаем межкаскадную корректирующую цепь между входным и предоконечным каскадом. Эквивалентная схема изображена на рисунке 5.1.
Рисунок 5.1 – Эквивалентная схема каскада
В качестве усилительного элемента VT1 используется транзистор КТ916А.
Рассчитаем элементы МКЦ.
Значения выходных параметров транзистора КТ916А возьмем из пункта 6.2, где рассчитана эквивалентная схема этого транзистора.
Значения входных параметров транзистора КТ930А возьмем из пункта 5.2.
Нагрузкой для предоконечного каскада является параллельное соединение Rвых. транзистора и R1 .Где R1– сопротивление, входящее в межкаскадную корректирующую цепь, рассчитанное в пункте 4.5.2.
Нормируем входные и выходные параметры по формулам (4.43, 4.44, 4.45).
Для нахождения нормированных значений С1 , С2 , L1 определим следующие коэффициенты по формулам (4.46 – 4.52).
Нормированные значения элементов С1 , С2 , L1 найдем по формулам (4.53-4.55).
Коэффициент усиления рассчитаем по формуле (4.56).
Значения элементов МКЦ найдем из формул (4.57-4.60).
6 Расчет входного каскада
6.1 Расчет рабочей точки
В качестве входного каскада используется транзистор КТ916А. Напряжение в рабочей точке будет равно:
Ток в рабочей точке изменяется в соответствии с коэффициентом усиления межкаскадной корректирующей цепи, которая рассчитана в пункте 5.4.
6.2 Расчет эквивалентной схемы транзистора
В качестве эквивалентной схемы расчитаем однонаправленную модель транзистора.
Рассчитаем элементы схемы, воспользовавшись справочными данными и формулами приведенными в пункте 4.3.2.
Справочные данные [2] для транзистора КТ916А:
Входную индуктивность определим по формуле 4.19.
Определим входное сопротивление по формуле (4.12), для этого найдем Ск при напряжении Uкэ = 10В воспользовавшись формулой (4.11.)
Выходную емкость найдем из формулы (4.12).
Выходное сопротивление определим из формулы (4.20).
Рассчитаем частоту fmax из формулы (4.21).
6.3 Расчет схемы термостабилизации
В входном каскаде используется схема активной коллекторной термостабилизации.
Рассчитаем элементы схемы воспользовавшись формулами приведенными в пункте 4.4.3 и рисунком 4.9.
Выберем напряжение UR4=1В и расчитаем значение резистора R4 по формуле (4.32).
Базовый ток транзистора VT2 определим по формуле (4.33).
Напряжение в рабочей точке для транзистора VT1 найдем по формуле (4.34).
Значение сопротивления R2 расчитаем по формуле (4.35).
Базовый ток транзистора VT2 равен значению тока в рабочей точке транзистора VT1.
Базовый ток транзистора VT1 определим из формулы:
Ток делителя найдем по формуле (4.38).
Значение сопротивления R3 расчитаем по формуле (4.36).
Значение сопротивления R1 расчитаем по формуле (4.37).
6.4 Расчет входной корректирующей цепи
В качестве входной корректирующей цепи используется межкаскадная корректирующая цепь третьего порядка. Эквивалентная схема изображена на рисунке 5.1.
Рисунок 5.1 – Эквивалентная схема каскада
Рассчитаем элементы МКЦ.
Выходными параметрами в данном случае будут являться параметры генератора.
Значения входных параметров транзистора КТ916А возьмем из пункта 6.2.
Нагрузкой для входного каскада является параллельное соединение Rвых. транзистора и R1. Где R1 – сопротивление, входящее в межкаскадную корректирующую цепь, рассчитанное в пункте 5.4.
Нормируем входные и выходные параметры по формулам (4.43, 4.44, 4.45).
Д
ля нахождения нормированных значений С1 , С2 , L1 определим следующие коэффициенты по формулам (4.46 – 4.52).
Нормированные значения элементов С1 , С2 , L1 найдем по формулам (4.53-4.55).
Коэффициент усиления рассчитаем по формуле (4.56).
З
начения элементов МКЦ найдем из формул (4.57-4.60).
7 Расчет разделительных и блокировочных конденсаторов
Рассчитаем разделительные конденсаторы по следующей формуле:
(7.1)
где Yн – искажения приходящиеся на каждый конденсатор;
R1 – выходное сопротивление транзистора;
R2 – сопротивление нагрузки;
В нашем случае число разделительных конденсаторов будет равно четырем. Расчитаем разделительные конденсаторы С1 , С6 , С11 , С16 , которые изображены на принципиальной схеме (см. Приложение А). Искажения, приходящиеся на каждый конденсатор, будут равны:
Тогда искажения в области низких частот найдем по формуле:
Найдем значение конденсаторов С1 , С6 , С11 , С16 по формуле (7.1).
Блокировочные конденсаторы С4 , С9 , С14 , определим из следующего условия:
(7.2)
где R – это сопротивление R2 в схеме активной коллекторной термостабилизации.
Выражая из соотношения (7.2) емкость С, получим:















