VDV-1375 (722511)
Текст из файла
18
Министерство общего и профессионального образования РФ
Уральский государственный технический университет
Кафедра ФМПК
РАСЧЁТ ЭЛЕКТРОННОГО УСИЛИТЕЛЯ
Пояснительная записка
19.02 520000 012 ПЗ
Студент: Лебедев В.В.
Руководитель: Стрекаловская З.Г.
Н. Контролёр Замараева И.В.
Группа: ФТ-429
Екатеринбург
1998 г.
Содержание
Стр.
-
Введение 3
-
Техническое задание 3
-
Справочные данные на элементы 4
-
Структурная схема усилителя 5
-
Расчёт входного делителя 6
-
Расчёт предусилителя 7
-
Расчёт фазоинвертора 9
-
Расчёт оконечного каскада 11
-
Расчёт граничных частот 15
-
Заключение 16
-
Библиографический список 17
-
Приложения 18
Введение.
Согласно техническому заданию, требуется спроектировать и рассчитать широкополосный электронный усилитель, работающий на симметричную нагрузку, обеспечивающий на выходе усиленный входной сигнал с допустимыми искажениями
Техническое задание.
Входной сигнал:
Экспоненциальный импульс отрицательной полярности.
Uвх=(10500)мВ
и=5мкс
Выходной сигнал:
Uвых=250В
Нагрузка:
Rн=250кОм
Входное сопротивление:
Rн>100кОм
Элементная база:
Использовать ИМС.
Диапазон температур:
T=(2020)0C
Справочные данные на элементы.
Микросхемы
Микросхема 140УD5А
UUпит=12В
КуU=1500125000
Rвх=100кОм
Rвых<1кОм
f1=15мГц
Uвых<4В
Микросхема 140УD10
UUпит=(516)В
КуU=50
Rвх=1мОм
Rвых<1кОм
f1=15мГц
Транзистор 2Т888А
UКЭмах=900В
=0.976
=40
fв=15мГц
Uвых<10В
IКб0<10мкА
IКмах=100мА
PКмах=7Вт (с теплоотводом)
Ск=45пФ
Тип p-n-p
Структурная схема усилителя
Исходя из технического задания, была выбрана структурная схема усилителя рис.1
Структурная схема усилителя
Uвх Входной Предусилитель
Делитель
Фазоинвертор Оконечный
каскад
Рис.1
Входной делитель даёт возможность делить входной сигнал в соотношениях 1:1, 1:10, 1:50.
Предусилитель обеспечивает большой коэффициент усиления при минимальных искажениях.
Фазоинвертор обеспечивает на выходе одинаковые по модулю и разные по фазе напряжения.
Оконечный каскад обеспечивает усиление мощности сигнала для эффективного управления нагрузкой. Так как он вносит в сигнал максимальные искажения, то его коэффициент усиления этого каскада выбирают небольшим.
Входной делитель
С1
R1
C2 R2 C3 R3
Рис №2
Зададимся
R1=100кОм
С1=220пФ
K1= 0.1 ( коэффициент деления 1:10)
K2=0.02 ( коэффициент деления 1:50)
C1R1= C2R2= C3R3
R2=R1*K1/(1-K1)
R3=R1*K2/(1-K2)
R2=11кОм
R3=2кОм
Рассчитаем СI
Пусть С1=220пФ
Тогда С2=С1*R1/R2=2нФ
С3=С1*R1/R3=10.8 нФ
Номинальные значения:
R2=11кОм С2=2 нФ
R3=2кОм С3=11 нФ
Предварительный усилитель
C1 DA1 C2 DA2 C3 DA3
R2 R4 R6 R7
R1 R3 R4
Рис. 3
Первый и второй каскад (DA1,DA2) предусилителя идентичны и построены на ОУ 140УД5А
Расчёт ведем для одного каскада.
К
оэффициент усиления ОУ определяется по формуле:
Возьмём коэффициент усиления DA1 и DA2 K01*=16
Возьмем R1=10 кОм
Тогда: R2=R1(K0-1)= 150кОм
Верхняя граничная частота при K0=16, fВ=5МГц (справ. данные)
Н
ижняя граничная частота при C1=1мкФ
В
озьмём С4=С5=1 мкФ R7=100кОм R6=33кОм
Третий каскад (DA3) предусилителя построен на ОУ 140УД10
В последним третьем каскаде введена регулировка коэффициента усиления всего усилителя. Зададимся условием чтобы его минимальный коэффициент усиления был равен: К0=3 он зависит от величен сопротивлений R5 и R6
П
ри R5=10кОм и R6=20кОм коэффициент усиления составит K0min=3
П
усть максимальный коэффициент усиления составит K0мах=4
Следовательно R7=R5(K0min-1)-R6=10кОм
Верхняя граничная частота при K0=4, fВ=5МГц (справ. данные)
Нижняя граничная частота при C3=1мкФ
Параметры всего ПУ
Коэффициент усиления всего ПУ: K0=K01K02K03
K0max=K01K02K03=1024
K0min=K01K02K03=768
В
ерхняя граничная частота:
FВПУ=2.9 МГц
Нижняя граничная частота
fн= f1+f2+f3=5Гц
Расчёт фазоинвертора:
С2 DA1
В
х
R2
C1 R1 DA2
Рис. 4
Фазоинвертор построен на 2x- ОУ 140УД10
DA1- включен как повторитель
DA2 - включен как инвертор
Коэффициент усиления повторителя К01=1
Коэффициент усиления инвертора К021 когда R2<
Пусть R1=10кОм и R2=1кОм K021
Для обеспечения симметричного выхода сделаем R2 – переменным сопротивлением
Верхняя граничная частота для 140УD10 – равна 15МГц
Нижняя граничная частота равна:
Н
еобходимо чтобы FН1=FН2 (нижние граничные частоты обоих плеч были одинаковые )
Вожмём С1=1мкФ тогда:
Т.К. RВХповт=RВхоу=1 МОм=100R1,
то чтобы FН1= FН2 следует взять С2=0,01C1=0.01 мкФ
Расчёт оконечного каскада
R1 Rк
Cc2 Cc4
Cc1 Cc3
VT1 VT2
R2 Rэ
CЭ Rэоб
Рис. 5
Принципиальная схема оконечного каскада изображена на рис.3
Поскольку у нас симметричная нагрузка то будем вести расчёт на одно плечо.
У
равнение линией нагрузки будет выглядеть следующим образом:
IКмах=40мА
Динамическая линия нагрузки транзистора
I мА
40
Р.Т.
20
0 100 350 700 UкэВ
Возьмем RЭ=4кОм и RК=13.5кОМ
Рабочая точка: IК0=20мА UКЭ0=350В
Найдем рассеиваемую мощность
PRк=5.4Вт и PRэ=I2Э0*RЭ=1.7Вт
Произведём расчёт базового делителя:
Пусть Iдел=5мА
UЭ0= IЭ0*RЭ=20мА*4кОм=82В - напряжение на эмиттере
UБ0= UЭ0*UБЭ=82.5В - напряжение на базе
R2= UБ0/Iдел=1640016 кОм
Найдём коэффициент термонестабильности NS=1+RБ/RЭ=4,6
Определим крутизну
S=IК0/м*т=256мА/В
Рассчитаем gэкв
gК=1/RК=1/13.5=7.4*10-5 Cм
gн=1/Rн=4*10-6 Cм
gi=h22=(1+)IКбо/UКэо=1.177*10-6 Cм
gэкв=gi+gн+gк=7.93*10-5 Cм
Рассчитаем коэффициент усиления
KO=S/gэкв=3228
Введём О.О.С. разделив сопротивление RЭ
Пусть K0*=30 тогда K0*= K0/1+*K0
=RЭ/RК=0.033 RЭ - сопротивление О.О.С.
R
Э=* RК=445Ом RЭ1=RЭ-RЭ4кОм-430Ом3,6кОм
F=1+*K0=107.5 – глубина обратной связи
Входная проводимость:
G11= IК0/м*т*=6.4*10-3
т – тепловой потенциал
rвх =1/g11=156 Ом
rэ=т/IЭо=1.27Ом
сопротивление базы транзистора
rБ=rвх-rЭ=105Ом
Расчёт по переменному току:
Расчёт граничных частот
Р
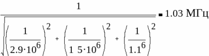
ассчитаем верхнюю частоту всего усилителя по формуле:
Обеспечим при этом длительность фронта равной:
Ф=0.35/fВ=0.34 мкс
что для И=5мкс составляет менее 7%
Рассчитаем нижнюю частоту всего усилителя по формуле
fн= fнпр+fнфаз+fнокон=5+16+260=281Гц
Для предварительного усилителя
нпр=С4*Rвх=0.1с
fнпр= 1/(2*нпр)=1.6 Гц
Для фазоинвертора
нфи=С7*R10=0.01с
fнфи= 1/(2*нфи)=16 Гц
Для предоконечного каскада
нпре=С8*Rвх=1с
fнпре= 1/(2*нпре)=0.2 Гц
Для оконечного каскада
fнокон=260 Гц
RЭоб=0.5RЭ1=1780Ом
Расчет транзисторов на мощность
| Обозначение | Рассеиваемая мощность | Примечания |
| R1 | 0.0625 мкВт | |
| R2 | 0.625 мкВт | |
| R3 | 2,5 мкВт | |
| R4 | 17мкВт | |
| R5 | 5мкВт | |
| R6 | 0.272мВт | |
| R7 | 80мкВт | |
| R8 | 0.435мВт | |
| R9 | 1.7мВт | |
| R10 | 10мВт | |
| R11 | 0,14Вт | |
| R12 | 0.18Вт | |
| R13,R20 | 0.91Вт | |
| R14,R21 | 0.4Вт | |
| R15,R19 | 5.4Вт | Необходим радиатор |
| R16,R18 | 1.7Вт | |
| R17 | 1Вт |
Заключение
В ходе данной работы был спроектирован электронный усилитель, позволяющий усиливать переменное напряжение. Параметры данного усилителя соответствуют техническим требованиям.
Библиографический список.
1. Полупроводниковые приборы. Транзисторы средней и большой мощности. Справочник. Под.ред. А.В.Голомедова. Москва,; Радио и связь, 1994
2. Интергральные микросхемы. Операционные усилители. Справочник. Москва,; ВО “Наука”,1993.
1>1>10>Характеристики
Тип файла документ
Документы такого типа открываются такими программами, как Microsoft Office Word на компьютерах Windows, Apple Pages на компьютерах Mac, Open Office - бесплатная альтернатива на различных платформах, в том числе Linux. Наиболее простым и современным решением будут Google документы, так как открываются онлайн без скачивания прямо в браузере на любой платформе. Существуют российские качественные аналоги, например от Яндекса.
Будьте внимательны на мобильных устройствах, так как там используются упрощённый функционал даже в официальном приложении от Microsoft, поэтому для просмотра скачивайте PDF-версию. А если нужно редактировать файл, то используйте оригинальный файл.
Файлы такого типа обычно разбиты на страницы, а текст может быть форматированным (жирный, курсив, выбор шрифта, таблицы и т.п.), а также в него можно добавлять изображения. Формат идеально подходит для рефератов, докладов и РПЗ курсовых проектов, которые необходимо распечатать. Кстати перед печатью также сохраняйте файл в PDF, так как принтер может начудить со шрифтами.















