PDA-0146 (722495)
Текст из файла
Для симметричной схемы трехфазной цепи согласно заданных параметров выполнить следующее:
-
рассчитать угловую частоту w и сопротивления реактивных элементов схемы (L, C).
-
Составить схему для расчета комплекса действующего значения тока фазы А, приняв начальную фазу ЭДС
для вариантов в которых нагрузка соединена треугольником рекомендуется заменить на звезду. -
Рассчитать комплекс тока
, записать комплексы токов
и
. -
Определить угол между векторами ЭДС и тока j.
-
Построить векторную диаграмму ЭДС и тока трехфазной цепи.
-
Определить мощности генератора (P, Q, S), построить треугольник мощностей.
Найдем реактивные сопротивления элементов (L, C) :
2. Cхема для расчета комплекса действующего значения фазы А :
-
По данной схеме рассчитаем комплекс тока
, приняв начальную фазу ЭДС
найдем комплекс полной проводимости ветви :
Перейдем от амплитудного значения ЭДС к комплексному :
Найдем токи :
Токи
сдвинуты относительно тока
на
:
-
В симметричной системе угол между ЭДС и током во всех фазах будет одинаков, и будет равен
. -
Построим векторную диаграмму ЭДС и тока трехфазной цепи :
Найдем мощность генератора :
Треугольник мощностей :
Для заданной схемы необходимо выполнить следующее :
-
Рассчитать переходной процесс.
-
Расчет провести классическим методом.
-
На основании полученного аналитического выражения построить график переходного процесса в интервале от t = 0 до t = 3t .
Данные :
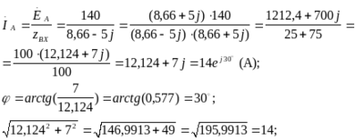
Найти ток
.
Определим для после коммутационной схемы, когда ключ К разомкнут комплекс входного сопротивления относительно зажимов источника, заменив jw на P :
Приравняем
к 0 :
Подставим значения :
Корни вещественные разные значить переходный процесс апериодический затухающий. Запишем выражения для заданного тока в переходном режиме через принужденную и свободную составляющую :
.
Найдем токи протекающие в данной цепи до коммутации (t < 0 ) когда ключ К замкнут. Сопротивление катушки индуктивности L при постоянном токе равно 0, а емкости С равно ¥ значит
.
Напряжение на конденсаторе C равно напряжению на R4 :
Принужденные значения после коммутации, когда переходный процесс завершен :
Найдем значения в момент коммутации (t ³ 0 ) :
Определим постоянные интегрирования А1 и А2 :
записываем ур-ния для t ³ 0:
Численное значение производной
= 0 т. к. По второму закону коммутации напряжение на емкости скачком не изменяется :
Подставим полученные значения в ур-ния, получим :
решим совместно эти ур-ния :
Запишем ток
переходного процесса подставив все численные значения :
Исходя из этого постоянные интегрирования для тока
будут равны :
На основании полученных данных построим график переходного процесса в интервале от t = 0 до t = 3t :
Найдем значения постоянной времени
Лабораторная работа № 2.
Четырехполюсник.
Цель работы : провести опыты ХХ ( холостого хода ) и КЗ (короткого замыкания ) в заданной схеме четырехполюсника; определить из опытов комплексы
; на основе опытных данных рассчитать коэффициенты четырехполюсника : A B C D; проверить соотношение AD - BC = 0; для исследованной схемы четырехполюсника расчитать
и сопоставить с опытными значениями, основываясь на использованных в работе значениях
А форма уравнения четырехполюсника :
Фазометр - это прибор измеряющий угол j между напряжением и током :
.
Опыт ХХ четырехполюсника :
Режим ХХ четырехполюсника это когда 2 и 2’ разомкнуты и I2=0; z1X - комплекс входного сопротивления на зажимах 1 - 1’ .
Опыт КЗ1 четырехполюсника :
Режим КЗ1 четырехполюсника это когда 2 и 2’ закорочены ; z1К - комплекс входного сопротивления на зажимах 1 - 1’ .
Данные измерений
.
Опыт КЗ2 четырехполюсника :
Проведем опыт для «перевернутого» четырехполюсника для чего к контактам 2 и 2’ подключем питание а 1 и 1’ закоротим.
Данные измерений
.
Найдем R-L :
Для этого соберем следующую схему :
Определим R :
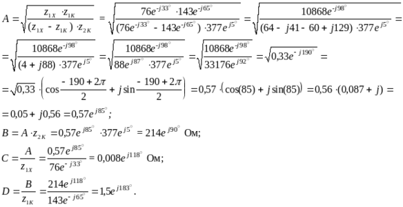
Найдем коэффициенты четырехполюсника :
Проверим соотношение AD-BC = 1 ;
Для данной схемы четырехполюсника рассчитаем
основываясь на использованных в работе значениях
Найдем
:
Найдем
:
Найдем
:
Характеристики
Тип файла документ
Документы такого типа открываются такими программами, как Microsoft Office Word на компьютерах Windows, Apple Pages на компьютерах Mac, Open Office - бесплатная альтернатива на различных платформах, в том числе Linux. Наиболее простым и современным решением будут Google документы, так как открываются онлайн без скачивания прямо в браузере на любой платформе. Существуют российские качественные аналоги, например от Яндекса.
Будьте внимательны на мобильных устройствах, так как там используются упрощённый функционал даже в официальном приложении от Microsoft, поэтому для просмотра скачивайте PDF-версию. А если нужно редактировать файл, то используйте оригинальный файл.
Файлы такого типа обычно разбиты на страницы, а текст может быть форматированным (жирный, курсив, выбор шрифта, таблицы и т.п.), а также в него можно добавлять изображения. Формат идеально подходит для рефератов, докладов и РПЗ курсовых проектов, которые необходимо распечатать. Кстати перед печатью также сохраняйте файл в PDF, так как принтер может начудить со шрифтами.














