135651 (722479)
Текст из файла
п. 1. Структурная схема системы электросвязи
Структурная схема системы электросвязи представлена на рис. 1.
Источник сообщения ИС – это некоторый объект или система, от которого передается информация в виде ее физического представления, например в виде изменяющегося во времени тока или напряжения
.
ФНЧ предназначен для фильтрации сигнала с целью ограничения спектра сигнала сообщения
верхней частотой
.
Дискретизатор позволяет представить отклик ФНЧ
в виде последовательности отсчетов
.
Квантователь осуществляет нелинейное преобразование отсчетов
в квантованные уровни
,
.
Кодер осуществляет кодирование квантованных уровней
двоичным безизбыточным кодом, т.е. образует последовательность кодовых комбинаций
, т.е. сигнал ИКМ.
Модулятор формирует канальный сигнал
, электрическое колебание, параметр которого (амплитуда, частота или фаза) изменяется по закону модулирующего сигнала ИКМ.
Выходное устройство ПДУ осуществляет фильтрацию и усиление модулированного колебания
для предотвращения внеполосных излучений и для установления требуемого отношения сигнал/шум на входе приемника. Усиленный сигнал
передается в линию связи.
Линия связи – среда, по которой распространяется сигнал
с выхода ПДУ до входа ПРУ. В линии связи на сигнал
накладывается помеха
.
Входное устройство ПРУ осуществляет фильтрацию принятого сигнала, смеси переданного сигнала и помехи
.
Детектор позволяет выделить из принятого сигнала
закон изменения информационного параметра, пропорционального сигналу ИКМ.
Для опознания переданных двоичных символов
на выход детектора подключается решающее устройство РУ, на выходе которого присутствует принятая кодовая комбинация
.
Декодер служит для восстановления
-ичных уровней
из двоичных кодовых комбинаций
.
Интерполятор производит восстановление непрерывного сигнала
из последовательности
-ичных уровней
.
Получатель сообщения – это некоторый объект или система, которому передается информация в виде ее физического представления, т.е. в виде изменяющегося во времени сигнала
.
п.2. Расчет функции корреляции и спектра плотности мощности.
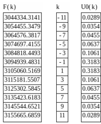
Результаты вычислений АКФ приведены в таблице 1.
По результатам расчета построен график, представленный на рис. 2.
Таблица 1.
Расчет спектра плотности мощности сообщения:
Вычисление интеграла по таблице из книги Е. С. Вентцеля, Л. А. Овчарова «Теория случайных процессов и ее инженерные приложения» стр. 376:
Результаты вычислений энергетического спектра приведены в таблице 2.
По результатам расчета построен график, представленный на рис. 3.
Таблица 2.
Рассчитаем начальную энергетическую ширину спектра
:
Интервал корреляции сообщения
:
п.3. Расчет СКП фильтрации сообщения.
Исходное сообщение воздействует на идеальный ФНЧ с единичным коэффициентом передачи и полосой пропускания, равной начальной энергетической ширине спектра сообщения.
Для расчета СКП фильтрации используем формулу:
где
, средняя мощность отклика ИФНЧ, вычисляется следующим образом:
Далее вычисляем СКП фильтрации сообщения:
Определим интервал временной дискретизации, исходя из теоремы Котельникова.
Тогда частота дискретизации:
Сигналы и спектры сигналов на входе и выходе дискретизатора АЦП приведены на рис. 7.
п.4. Расчет характеристики квантования.
Для расчета шага квантования используем формулу:
Определим пороги квантования
по формуле:
Результаты расчета остальных значений сведены в таблицу 3.
Определим уровни квантования по формуле:
Результаты расчета остальных значений сведены в таблицу 3.
По результатам расчета порогов и уровней квантования построим характеристику квантования, приведенную на рис. 4.
Для расчета СКП квантования используем формулу:
, где
- постоянная, которая находиться следующим образом:
Для нахождения
необходимо вычислить ФПВ гауссовской величины
в точках
с учетом того, что
и
.
Результаты расчетов приведены в таблице 4.
п.5. Расчет параметров квантования.
Отклик квантователя – дискретный случайный сигнал с независимым значением на входе L-ичного дискретного канала связи ДКС.
Определим закон распределения вероятностей дискретной случайной величины
по формуле:
Результаты расчетов приведены в таблице 3. По результатам расчета построим график закона распределения вероятностей, приведенный на рис. 5.
Теперь определим мощность
квантованного процесса:
По ранее приведенной формуле определяем СКП квантования:
Рассчитаем интегральную функцию распределения вероятностей:
Результаты расчетов приведены в таблице 3. По результатам расчетов построим график функции распределения вероятностей, приведенный на рис. 6.
Расчет энтропии L-ичного источника производим по формуле:
Расчет производительности
осуществляется по формуле:
Расчет максимальной энтропии
осуществляется по формуле:
Расчет избыточности
производим по формуле:
Т
аблица 3.
Таблица 4.
п.6. Расчет характеристик кодера.
Закодируем значения L-ичного дискретного сигнала
Двоичным безизбыточным примитивным кодом
.
Выпишем все кодовые комбинации (таблица 5.):
| 0 | 0 | 0 |
| 0 | 0 | 1 |
| 0 | 1 | 0 |
| 0 | 1 | 1 |
| 1 | 0 | 0 |
| 1 | 0 | 1 |
| 1 | 1 | 0 |
| 1 | 1 | 1 |
Таблица 5.
Рассчитаем кодовые расстояния и сведем их в таблицу 6, где n-номер строки, а m-номер столбца.
| 0 | 1 | 1 | 2 | 1 | 2 | 2 | 3 |
| 1 | 0 | 2 | 1 | 2 | 1 | 3 | 2 |
| 1 | 2 | 0 | 1 | 2 | 3 | 1 | 2 |
| 2 | 1 | 1 | 0 | 3 | 2 | 2 | 1 |
| 1 | 2 | 2 | 3 | 0 | 1 | 1 | 2 |
| 2 | 1 | 3 | 2 | 1 | 0 | 2 | 1 |
| 2 | 3 | 1 | 2 | 1 | 2 | 0 | 1 |
| 3 | 2 | 2 | 1 | 2 | 1 | 1 | 0 |
Таблица 6.
Априорные вероятности передачи 0 и 1:
Рассчитаем начальную ширину спектра сигнала ИКМ по формуле:
На рис. 7. Изображены сигналы АЦП в точках: вход АЦП, выход дискретизатора, выход квантователя, выход АЦП.
п.7. Расчет спектра сигнала дискретной модуляции.
Для передачи ИКМ сигнала по непрерывному каналу связи НКС используется гармонический переносчик.
Для ДАМ спектр рассчитывается по следующей формуле:
Р
езультаты расчетов нормированной амплитуды
приведены в таблице 7., рис. 8.
Таблица 7.
Ширина спектра ДАМ
вычисляется следующим образом:
п.8. Расчет параметров модулированного сигнала, передаваемого по НКС.
НКС-аддитивный гауссовский канал с ограниченной полосой частот, равной ширине спектра сигнала дискретной модуляции, и заданными спектральной плотностью мощности помехи и отношением сигнал/шум.
Определим мощность аддитивной помехи
в полосе частот сигнала по формуле:
Рассчитаем подходящую в среднем на один двоичный символ мощность модулированного сигнала
, необходимую для обеспечения требуемого отношения сигнал/шум (
):
А
мплитуда сигнала дискретной модуляции
определяется из следующего соотношения:
Определим пропускную способность с НКС:
Расчет характеристик непрерывного канала связи:
Рассчитаем ФПВ огибающей гауссовской помехи [ГП] по формуле:
Характеристики
Тип файла документ
Документы такого типа открываются такими программами, как Microsoft Office Word на компьютерах Windows, Apple Pages на компьютерах Mac, Open Office - бесплатная альтернатива на различных платформах, в том числе Linux. Наиболее простым и современным решением будут Google документы, так как открываются онлайн без скачивания прямо в браузере на любой платформе. Существуют российские качественные аналоги, например от Яндекса.
Будьте внимательны на мобильных устройствах, так как там используются упрощённый функционал даже в официальном приложении от Microsoft, поэтому для просмотра скачивайте PDF-версию. А если нужно редактировать файл, то используйте оригинальный файл.
Файлы такого типа обычно разбиты на страницы, а текст может быть форматированным (жирный, курсив, выбор шрифта, таблицы и т.п.), а также в него можно добавлять изображения. Формат идеально подходит для рефератов, докладов и РПЗ курсовых проектов, которые необходимо распечатать. Кстати перед печатью также сохраняйте файл в PDF, так как принтер может начудить со шрифтами.















