R.R.4 (722372)
Текст из файла
ТипОвая расчетная работа №4.
Дано:
Za=Zb=Zc=1,5+j2
Uп=220 В
Определить:
Iл – линейный ток
Iф – фазный ток
Р – активная мощность
Q – реактивная мощность
S – полная мощность
Построить:
Векторную диаграмму токов и напряжения.
Решение:
-
На схеме UA, UB, UC – фазные напряжения;
UAB, UBC, UCA – линейные напряжения;
ZA, ZB, ZC –фазные сопротивления нагрузок;
-
Определение фазного сопротивления нагрузок:
Схема будет симметричной если UA=UB=UC=UФ=127 В
-
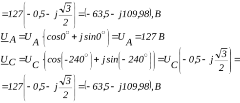
Определение комплексов напряжений в фазах А, В, С:
-
Определение фазных токов:
-
Действующие значения фазных токов:
-
При соединении фаз источника энергии и приемника звездой линейные токи равны соответственно фазным токам.
В случае симметричного приемника действующие значения всех линейных и фазных токов одинаковы, т.е. Iп= Iф
IА= IВ= IС= IП=50,8 А
-
Определение мощности в фазах:
где
- комплексно-сопряженное число.
Тогда полная мощность всей цепи определяется:
Действующее значение полной мощности
Т.к. S=P+Qj, то
-
Д
иаграмма:
- 4 -
Характеристики
Тип файла документ
Документы такого типа открываются такими программами, как Microsoft Office Word на компьютерах Windows, Apple Pages на компьютерах Mac, Open Office - бесплатная альтернатива на различных платформах, в том числе Linux. Наиболее простым и современным решением будут Google документы, так как открываются онлайн без скачивания прямо в браузере на любой платформе. Существуют российские качественные аналоги, например от Яндекса.
Будьте внимательны на мобильных устройствах, так как там используются упрощённый функционал даже в официальном приложении от Microsoft, поэтому для просмотра скачивайте PDF-версию. А если нужно редактировать файл, то используйте оригинальный файл.
Файлы такого типа обычно разбиты на страницы, а текст может быть форматированным (жирный, курсив, выбор шрифта, таблицы и т.п.), а также в него можно добавлять изображения. Формат идеально подходит для рефератов, докладов и РПЗ курсовых проектов, которые необходимо распечатать. Кстати перед печатью также сохраняйте файл в PDF, так как принтер может начудить со шрифтами.
иаграмма:














