PRAKT (721879)
Текст из файла
ПРАКТИЧЕСКАЯ ЧАСТЬ
Тип фильтра определяется допустимой неравномерностью его АЧХ в полосе пропускания. При С =0 выбирается фильтр Баттерворта, а при С 0 - фильтр Чебышева Для С = 3дБ выбираем фильтр Чебышева.
Необходимый порядок фильтра ( n ) выбирается исходя из: минимального затухания в полосе заграждения З и допустимой неравномерности его АЧХ в полосе пропускания С .
Рассмотрим каскадную реализацию фильтра в виде последовательного соединения взаимонезаменяемых звеньев второго порядка (т.к. n=6 - четное), количество звеньев определяется соотношением
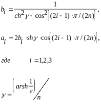
Определим значения коэффициентов ai , bi полинома, аппроксимирующего передаточную функцию фильтра и добротности полюсов звеньев фильтра:
Для i=1 (первое звено) получим:
Для i=2 (второе звено) получим:
Для i=3 (третье звено) получим:
Расчет звеньев фильтра:
Исходя из добротностей для всех звеньев подходит схема звена второго порядка на повторителе:
Передаточная характеристика имеет вид :
Отсюда при извесных ai , bi в рассчитываются элементы схемы:
-
Выбираем значение емкости С1 близкое к
и номинальное значение С2, удовлетворяющее условию:
-
для первого звена
-
для второго звена
-
для третьего звена
-
Рассчитываем величины R1 и R2 по соотношениям:
-
для первого звена
-
для второго звена
-
для третьего звена
-
Исходя из полученных результатов выбираем операционный усилитель : основными параметрами являются входное сопротивление, диапазон частот , минимальное сопротивление нагрузки.
Приемлемым является ОУ - 140УД6
| 140УД6 | |
| Коэффициент усиления K, В/мВ | 70 |
| Напряжение смещения нуля Uсм, мВ | 4 |
| Входные токи Iвх, нА | 30 |
| Разность входных токов Iвх, нА | 10 |
| Частота единичного усиления f1 ,МГц | 1 |
| Коэффициент ослабления синфазного сигнала, дБ | 80 |
| Максимальный выходной ток Iвых max, мА | 25 |
| Входное сопротивление Rвх, Мом | 2 |
| Потребляемый ток Iпот, мА | 2.8 |
| Максимальное выходное напряжение Uвых max, В | 12 |
Характеристики
Тип файла документ
Документы такого типа открываются такими программами, как Microsoft Office Word на компьютерах Windows, Apple Pages на компьютерах Mac, Open Office - бесплатная альтернатива на различных платформах, в том числе Linux. Наиболее простым и современным решением будут Google документы, так как открываются онлайн без скачивания прямо в браузере на любой платформе. Существуют российские качественные аналоги, например от Яндекса.
Будьте внимательны на мобильных устройствах, так как там используются упрощённый функционал даже в официальном приложении от Microsoft, поэтому для просмотра скачивайте PDF-версию. А если нужно редактировать файл, то используйте оригинальный файл.
Файлы такого типа обычно разбиты на страницы, а текст может быть форматированным (жирный, курсив, выбор шрифта, таблицы и т.п.), а также в него можно добавлять изображения. Формат идеально подходит для рефератов, докладов и РПЗ курсовых проектов, которые необходимо распечатать. Кстати перед печатью также сохраняйте файл в PDF, так как принтер может начудить со шрифтами.















