123386 (717171)
Текст из файла
Расчет действительного нажатия композиционных тормозных колодок в индивидуальном приводе автотормоза 2-осной тележки
Расчёт выполнен на основе «Типового расчёта тормоза грузовых и рефрижераторных вагонов» [14].
Схема рычажной передачи тормоза приведена на рис. 1.
Рис. 1 Схема тормозной рычажной передачи вагона-платформы
Находим действительную силу нажатия на колодку по известной формуле:
(1)
где: m – число тормозных колодок вагона, на которые действует усилие от одного тормозного цилиндра;
dЦ – диаметр поршня тормозного цилиндра, см;
рЦ – расчетное давление воздуха в тормозном цилиндре кгс/см;
ηЦ – коэффициент полезного действия тормозного цилиндра;
F1 – усилие сжатия внутренней отпускной пружины тормозного цилиндра, кгс;
F 2 – усилие пружины авторегулятора рычажной передачи, приведенное к штоку тормозного цилиндра, кгс;
n – передаточное число рычажной передачи;
ηn – коэффициент полезного действия рычажной передачи.
Проектируемый вагон имеет тару 24т, поэтому величины расчетных давлений воздуха в тормозном цилиндре принимаем для общего случая по таблице 1.
Таблица 1. Расчетные давления воздуха в тормозном цилиндре
| Переключение режима воздухораспределителя по загрузке | Режим включения воздухораспределителя | Расчетная величина давления кгс/см2 | |
| Тара | Полная загрузка вагона | ||
| Автоматическое (авторежим) | Средний | 1,3/1,6(* | 3,0/3,4(* |
| Груженый | 1,6/2,0(* | 4,0/4,5(* | |
Средний режим (порожняя платформа):
Средний режим (груженая платформа):
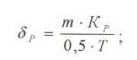
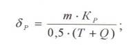
Определяем расчетную силу нажатия на тормозную колодку по формуле:
Для порожнего вагона:
Для груженого вагона:
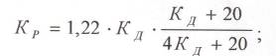
Находим расчетный коэффициент силы нажатия тормозных колодок по формуле:
для порожнего вагона:
(5.3)
где [δр]=0,24 выбран в соответствии с ТЗ на тип платформы аналогичный проектируемому.
Для груженого вагона:
Проверка отсутствия юза
Максимальная суммарная величина силы нажатия тормозных колодок должна проверяться по обеспечению сцепления колес с рельсами при торможении. При этом должно соблюдаться условие:
δРφКР<[ψ] (4)
Проверка возможности юза производится на всех режимах торможения при максимальных расчетных давлениях в цилиндре, принимаемых по таблице 2.1, на всех режимах тормоза по загрузке вагона при минимальной и максимальной допускаемой для соответствующего режима нагрузке на ось, а при наличии авторежима – во всем диапазоне загрузки вагона с учетом конкретной характеристики авторежима.
Для порожнего вагона определяем:
действительную силу нажатия на одну колодку (средний режим):
расчетную силу нажатия на одну колодку:
расчетный коэффициент силы нажатия тормозных колодок.
Расчетный предельный коэффициент сцепления колес с рельсами при торможении для проверки отсутствия юза определяем из выражения:
[ψp]= ψ(q0) x ψ(v), (5)
где: ψ(q0) – функция осевой нагрузки для qo > 5 тс:
ψ(q0)=0,17–0,00150 (qo-5) (6)
qo – нагрузка на колесную пару (ось) вагона, тс,
ψ(v)-функция скорости, зависящая от динамических свойств подвижного состава,
V – скорость, км/ч.
ψ(q0)=0,17 -0,00150 (6 -5) = 0,168.
Для грузовых вагонов на тележках пассажирского типа (КВЗ-И2):
(7)
для V=40 км/ч
для V=140 км/ч:
Находим расчетный коэффициент трения по формуле:
; (8)
для V=40 км/ч:
;
для V=140 км/ч:
Определяем предельные коэффициенты для проверки отсутствия юза:
для V=40 км/ч:
;
для V=140 км/ч:
.
Таким образом реализуемый коэффициент сцепления колеса с рельсом составляет:
для V=40 км/ч:
;
для V=140 км/ч:
.
Вывод: юз отсутствует.
Для груженого вагона определяем:
действительную силу нажатия на одну колодку (средний режим):
расчетную силу нажатия на одну колодку:
расчетный коэффициент силы нажатия тормозных колодок:
;
функцию осевой нагрузки:
ψ(q0)=0,17 -0,00150 (18 -5) = 0,151;
Определяем предельные коэффициенты для проверки отсутствия юза:
для V=40 км/ч: [ψp]= 0,151x0,83 = 0,125;
для V=140 км/ч: [ψp]= 0,151x0,63 = 0,095.
Таким образом реализуемый коэффициент сцепления колеса с рельсом составляет:
для V=40 км/ч:
;
для V=140 км/ч:
.
Вывод: юз отсутствует.
Для груженого вагона определяем:
действительную силу нажатия на одну колодку (средний режим):
расчетную силу нажатия на одну колодку:
расчетный коэффициент силы нажатия тормозных колодок:
;
функцию осевой нагрузки:
ψ(q0)=0,17 -0,00150 (18 -5) = 0,151;
Определяем предельные коэффициенты для проверки отсутствия юза: для V=40 км/ч: [ψp]= 0,151x0,83 = 0,125;
для V=140 км/ч: [ψp]= 0,151x0,63 = 0,095.
Таким образом реализуемый коэффициент сцепления колеса с рельсом составляет:
для V=40 км/ч:
;
для V=140 км/ч:
.
Вывод: юз отсутствует.
Характеристики
Тип файла документ
Документы такого типа открываются такими программами, как Microsoft Office Word на компьютерах Windows, Apple Pages на компьютерах Mac, Open Office - бесплатная альтернатива на различных платформах, в том числе Linux. Наиболее простым и современным решением будут Google документы, так как открываются онлайн без скачивания прямо в браузере на любой платформе. Существуют российские качественные аналоги, например от Яндекса.
Будьте внимательны на мобильных устройствах, так как там используются упрощённый функционал даже в официальном приложении от Microsoft, поэтому для просмотра скачивайте PDF-версию. А если нужно редактировать файл, то используйте оригинальный файл.
Файлы такого типа обычно разбиты на страницы, а текст может быть форматированным (жирный, курсив, выбор шрифта, таблицы и т.п.), а также в него можно добавлять изображения. Формат идеально подходит для рефератов, докладов и РПЗ курсовых проектов, которые необходимо распечатать. Кстати перед печатью также сохраняйте файл в PDF, так как принтер может начудить со шрифтами.















