122788 (717031), страница 4
Текст из файла (страница 4)
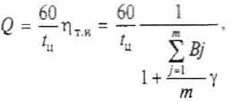
Производительность линии, состоящей из т участков, определяется соотношением
п — число позиций ј-го участка; у = 1,1... 1,5 — коэффициент влияния простоев ј-го участка на выпускающий участок. Зависит от емкости накопителя, количества и надежности участков.
Коэффициент влияния γ вводится в расчет производительности в связи с тем, что емкости накопителей ограничены и для устранения отказов требуется определенное время τв. Практика эксплуатации автоматических линий и теория их надежности показывают, что наиболее эффективно делить линии на 2—3 участка. Дальнейшее увеличение т малоэффективно и может быть экономически неоправданным. При этом, чем ниже надежность линии, чем больше позиций она имеет, тем выше эффективность деления линии на участки.
По принципу действия и влиянию на работу линии различают накопители тупиковые и сквозные. Тупиковый накопитель 1 работает на прием или выдачу заготовок только в случаях отказов соседних участков, /и //. Тупиковые накопители обычно устанавливаются между участками с низкой надежностью, станкоемкости которых примерно одинаковы.
Сквозной накопитель 2 работает постоянно в режимах приема, выдачи, свободного пропуска заготовок. Помимо своей основной задачи этот накопитель может в определенной степени нивелировать различную станкоемкость соседних участков // и III. Сквозной накопитель также используют для изменения ориентации заготовок.
6. Виды спутниковых линий и области их применения
По способу баирования заготовок различают спутниковые и бесспутниковые линии.
Бесспутниковые линии позволяют обрабатывать заготовки, транспортировка, ориентация и установка которых на линии не вызывает технических трудностей. К таким заготовкам относятся валы, диски, которые имеют оси или плоскости симметрии и потому хорошо сохраняют устойчивость при транспортировке.
Бесспутниковые линии могут быть с жесткой и гибкой связью, циклического и непрерывного действия, с боковым или верхним расположением транспорта.
Стремление автоматизировать обработку деталей сложной формы, неудобных для транспортировки и установки, привело к созданию спутниковой линии. На этих линиях заготовки устанавливаются в специальные приспособления — спутники. Спутник перемещается с заготовкой по всей линии, фиксируется и закрепляется вместе с заготовкой на рабочих позициях. При этом заготовка не меняет своего положения относительно спутника.
Спутниковые линии, как правило, работают с жесткой связью, имеют сквозное расположение транспорта и циклический принцип действия. На спутниковых линиях удобно и эффективно применять агрегатное технологическое оборудование. Агрегатное оборудование компактно, имеет высокую ремонтопригодность и позволяет вести обработку в различных направлениях (сверху, снизу, под углом) с высокой степенью концентрации операций. Основу агрегатного оборудования составляют силовые головки. На спутниковых линиях наибольшее применение находят силовые головки с гидравлическим механизмом подачи.
Схема гидравлической головки АМО «ЗиЛ». От электродвигателя 1 через ременную передачу 11 и редуктор 2 вращение перелается шпинделю 3. Последний размещается внутри пиноли 4, которая одновременно являете штоком гидроцилиндра 5 механизма подачи.
Привод подачи головки осуществляется от насоса 10 переменной производительности. Автоматическое изменение производительности насоса производится за счет изменения угла наклона качающейся плиты 8, которая контактирует с плунжерами 7 и 9 насоса. Изменение угла поворота дросселя 6 регулирует давление масла под плунжерами, и тем самым задается производительность насоса в соответствии с необходимой величиной подачи пиноли со шпинделем.
Основным недостатком агрегатного оборудования является недостаточная жесткость силовых головок, что снижает их способ-юность вести обработку с высокой точностью и большой мощностью. Низкая жесткость обусловлена большим количеством соединений (стыков) агрегатов при сборке оборудования. Поэтому агрегатное оборудование рекомендуется применять в основном на операциях сверления, развертывания, растачивания, нарезания резьбы отверстий небольшого диаметра, мелкого фрезерования, т.е. в тех случаях, когда не требуется больших усилий обработки.
Компоновка спутниковых линий во многом определяется способом возврата спутников на исходную позицию. Наиболее распространен вариант, при котором транспортер возврата спутников имеет боковое расположение относительно рабочего транспортера. Схему такой линии для обработки отверстий корпусной детали.
Схема с боковым расположением транспортера возврата спутников не имеет ограничений для установки оборудования, что дает возможность вести обработку детали в любых направлениях. Схема удобна для обслуживания, может применяться для крупных деталей и технологических процессов с большим числом позиций, например для обработки картеров мостов автомобилей, корпусов редукторов, блоков цилиндров двигателей и других деталей. Одним словом, схема имеет большие технологические возможности. Ее основной недостаток — потребность в больших производственных площадях.
Спутниковые линии, как правило, имеют сквозное расположение транспортера, когда транспортер проходит через рабочие зоны оборудования. В этом случае транспортер работает в более тяжелых условиях по сравнению с боковым или верхним расположением рабочего транспортера, так как находится пол влиянием нагрузок, вибрации и отходов (стружки, охлаждающей дикости, пыли, грязи). Поэтому сквозной транспортер должен отвечать повышенным требованиям эксплуатационной надежности.
Помимо своей основной функции сквозной транспортер принимает участие в фиксации и закреплении спутников на рабочих позициях линии. Это существенно усложняет конструкцию транспортера, повышает его стоимость и ставит техническую задачу обеспечения точности установки спутников.
Способ с верхним расположением транспортера возврата спутников встречается значительно реже. После обработки на линии деталь вместе со спутником перегружателем 2 поднимается и выталкивается на транспортер возврата спутников 7, который представляет собой наклонный рольганг. По рольгангу с помощью перегружателя 7 спутник опускается на позицию разгрузки-загрузки. На этой позиции готовая деталь снимается со спутника, а в спутник устанавливается очередная заготовка. Несмотря на экономию производственных площадей, такая схема крайне неудобна в обслуживании, громоздка для технологических процессов с большим числом позиций и вносит существенные ограничения в установку оборудования.
Схема спутниковой линии с нижним расположением транспортера возврата спутников наиболее компактна. Однако такое расположение транспортера возврата спутников предъявляет особые требования к конструкции корпуса станка, которые не всегда выполнимы.
Кроме того, в этом случае транспортер возврата подвержен попаданию на него охлаждающей жидкости, стружки, масла и других производственных отходов, что снижает надежность транспортера и повышает его стоимость.
Поэтому для механообработки такая схема спутниковой линии применяется редко. В основном она применяется для сборочных процессов, где нет производственных отходов, и спутники 7 можно изготовить в виде плоских падет (поддонов), удобных для нижней транспортировки под сборочными стендами 2. Ленточный или пластинчатый транспортер 3 имеет принудительное постоянное перемещение от ведущего колеса 8. При остановке палет в случаях, когда загружен сборочный стенд, рабочий транспортер проскальзывает относительно палет, создавая запас объектов сборки на линии.
При переходе на транспортер возврата палеты закрепляются на транспортере и перемещаются с ним как одно целое. Такое построение линии дает возможность сборочным стендам работать несинхронно, что очень важно.
Применение спутников значительно расширило, крут деталей и агрегатов машин, которые стало возможным обрабатывать и собирать на автоматических линиях. Существенно упростилась установка заготовок на рабочих позициях линии. Появилась возможность создавать линии с замкнутым контуром и осуществлять загрузкуy и разгрузку линии на одной позиции. Это удобно и для автоматизации загрузочной позиции, и для обслуживания ее человеком.
В спутниковых линиях заготовки обрабатываются с одной установки от постоянных баз, это повышает точность обработки.
Вместе с тем спутниковые линии имеют ряд недостатков. Основной из них — более высокая стоимость. Спутники представляют собой сложные специальные приспособления. Количество спутников должно быть больше, чем рабочих позиций на линии. Для возврата спутников на исходную позицию требуется специальный транспортер.
Все это вызывает усложнение линии, повышает ее стоимость
(около 40%) и требует дополнительных производственных площадей. Кроме того, для установки на спутник требуется предварительная обработка у заготовки базовых поверхностей, которая обычно выполняется вне линии на специальном оборудовании. Это затрудняет автоматизацию всего технического процесса обработки детали.
7. Оборудование эффективно применяемое на автоматических линиях
Как уже было сказано, автоматические линии могут оснащаться агрегатными специальными или универсальными станками. Линии из агрегатных станков находят наибольшее распространение при организации нового производства или при капитальной реконструкции предприятия Опыт отечественного и зарубежного машиностроения показал целесообразность внедрения переналаживаемых автоматических линий. В связи с этим создаются модели агрегатных станков, имеющих постоянные агрегатные столы и сменные силовые головки, устанавливаемые на них. Линии из специальных станков применяются редко. Стоимость таких линий высока и сроки освоения их длительны, так как приходится проектировать, а затем осваивать в производственных условиях каждый станок линии. Кроме того, оборудование этих линий невозможно использовать для производства других деталей. Автоматические линии из специальных станков находят применение для сравнительно несложных (при небольшом числе операций) технологических процессов. Станки часто монтируют на; одной станине, как, например, в линиях для обработки корпусов валов, сегментов пишущих машинок и пр. Автоматическая линия для обработки сегментов пишущих машинок. Сегменты в приспособлениях устанавливаются на бесконечном ленточном транспортере – столе 5и обрабатываются в различных позициях инструментом силовых головок 1, 2, 4, 5 и 6. Линии из обычных агрегатных или специальных станков обладают тем недостатком, что на них утрачивается маневренность производства' и имеет место так называемый консерватизм технологии, т. е. затрудняется возможность изменения технологий обработки данного изделия, а также быстрого перехода от производства одного изделия к другому.
Автоматическая линия дляобработки сегментов пишущих машинок (1, 2, 4, 5, 6 – силовые головки; 3 – стол ленточного транспортера) Автоматическое оборудование специализировано и приспособлено к производству только одного какого-либо вида продукции. Это привело к тому, что в последнее время широкое распространение полумили автоматические линии из типового универсального оборудования, т. е. из автоматизированных станков обычных типов: токарных, сверлильных, фрезерных, зубофрезерных, шлифовальных и т. п. Конечно, эти станки должны быть соответствующим образом приспособлены для встройки в автоматическую линию. Использование универсального оборудования позволяет снизить сроки изготовления автоматических линий, увеличивает надежность работы и обеспечивает возможность переналадки их на разные типоразмеры деталей или на новый объект производства. /
Наряду с созданием линий из нового оборудования весьма эффективна постройка линии на основе использования действующего оборудования, модернизированного соответствующим образом. Создание таких линий требует меньших капиталовложений и меньше времени на их изготовление и освоение.
Компоновка оборудования. Автоматические линии представляют собой сложную систему станков и различного вида автоматических устройств. Поэтому потеря работоспособности линии может произойти из-за отказа инструмента, приспособления, механических, гидравлических, электрических и пневматических устройств, рабочих органов межоперационного транспорта, автоматических средств технического контроля и т. д. В связи с этим необходимо так скомпоновывать оборудование, чтобы временные остановки агрегатов не влияли на работу всей линии. В отношении организации потока и компоновки автоматические станочные линии выполняют в трех вариантах.
-
Безбункерные автоматические линии. На таких линиях вырабатывают обычно корпусные детали: блоки цилиндров, корпуса коробок скоростей автомобиля и т. п. Заготовка проходит всю линию, перемещаясь общим транспортером последовательно с одной рабочей позиции на другую величину расстояния между позициями t (прямоточная линия) или на величину размера заготовки d (поточные линии).
-
Бункерные автоматические линии. Они состоят из отдельных автоматических станков, снабженных механизмами питания – бункерами Б и связанных друг с другом транспортерами, передающими обрабатываемые детали с одной позиции на другую.
Шаговый штанговый транспортер с флажками (1 – направляющая, 2 – плита с поршнем, 3 – штанга с флажками, 4 – фасонные козырьки флажки, 5 – движущаяся штанга)
3. Автоматические линии с приемникам и накопителями. В этом случае линия делится на отдельные участки, между которыми размещаются промежуточные накопители запасов полуфабрикатов Б (бункерно-прямоточные и бункерно-поточные линии,). При таком варианте временная потеря работоспособности какого-либо участка не приводит к остановке всей линии. Задача при проектировании линии в этом случае сводится к выбору места установки и количества бункеров.
Транспортные устройства. Выбор системы транспортирования является одним из наиболее существенных вопросов компоновки автоматических линий.. Транспортные устройства перемещают заготовки с одной рабочей позиции на другую, изменяя их ориентацию (в поворотных устройствах), убирают стружку и т. д.
Основными видами транспорта автоматических линий являются шаговые транспортеры, подъемники, распределительные транспортеры, манипуляторы, поворотные устройства, транспортеры для уборки стружки и пр. Шаговые транспортеры бывают с собачками, с флажками, грейферные, сейнерные, толкающие и цепные. Шаговые транспортеры с собачками получили наибольшее распространение. При работе они совершают периодическое возвратно-поступательное движение. Конструкция такого транспортера представлена. На штанге 1, проходящей через весь сблокированный участок автоматической линии, шарнирно закреплены собачки 3, которые под действием пружины 2 (или противовесов), стремятся подняться над уровнем штанги. В момент возврата транспортера зафиксированные на позициях детали 4 собачки. Пройдя под деталями, собачки вновь поднимаются и готовы для захвата очередной детали при движении транспортера вперед. Преимущество транспортера с собачками — простота движения и соответствующая ей простота привода от гидро или пневмоцилиндра. Шаговые штанговые транспортеры с флажками применяются, например, на механическом участке автоматического завода поршней. Приспособления-спутники с установленными на них- поршнями перемещаются по направляющему рельсу 1 возвратно-поступательно движущейся штангой 5 круглого сечения, на которой секциями закреплены фасонные козырьки-флажки 4. В исходном положении круглой штанги флажки приподняты. Для перемещения поршней 3 штанга вместе с флажками поворачивается на 45 в сторону рельса 1. Каждый вырез флажка охватывает одну плитку 2 с установленным на ней поршнем. При движении штанги вперед перемещаются в том же направлении одновременно четыре поршня на одну позицию по всей линии. После этого штанга поворачивается в первоначальное положение и возвращается обратно.















