5993-1 (709593)
Текст из файла
Авторская система TeachLab CourseMaster
А.А. Пугачев, кафедра математики и информатики
Улан-Удэнский филиал Восточно-Сибирского института МВД России,
Улан-Удэ, Россия
Введение
Анализ опыта внедрения в школах, вузах и различных предприятиях, компьютерных программ учебного назначения показывает, что важным фактором, препятствующим их широкому применению, является неполное соответствие предлагаемого материала идеям и методам преподавания той или иной дисциплины. Многие педагоги проявляют значительную осторожность в использовании обучающих программ и педагогических программных средств. Идеальным решением этой проблемы является полный учет требований пользователя (преподавателя), что практически недостижимо. В настоящее время в сфере разработки обучающих и других учебных программ доминируют интересы и предпочтения производителя, то есть программистов-разработчиков компьютерных программ. В печати и на конференциях различного уровня не раз высказывалось мнение, что современному педагогу, скорее нужен не диск с полным мультимедийным курсом по предмету, а некоторые элементарные кирпичики, которые он мог бы использовать в качестве красочных иллюстраций своих идей и методов и которые более органично вписались бы в традицию использования наглядных пособий, подбираемых педагогом для своего занятия.
В связи с этим представляется целесообразным создание не законченной обучающей продукции, а своеобразных электронных конструкторов - инструментальных программных средств (авторских систем) для создания педагогом собственных ЭУК. В настоящее время существует довольно много таких систем, как коммерческих, так и исследовательского уровня, различающихся простотой освоения, предоставляемыми возможностями, стоимостью и т.д. В рамках данной статьи рассмотрена авторская система TeachLab CourseMaster ( http://teachlab.km.ru). Система TeachLab CourseMaster предназначена, в первую очередь, для создания адаптивных электронных учебных курсов.
Основные возможности системы, приведены ниже:
Представление в ЭУК предметных, педагогических и диагностических знаний.
Формирование и поддержка Модели обучаемого.
Адаптация к предметной области.
Адаптация к уровню знаний и умений разработчика электронных курсов
Использование коммуникационного посредника (Ассистента), позволяющего переключить обучаемого из коммуникации "человек-человек" в коммуникацию "человек-компьютер".
Визуальная среда проектирования страниц курса.
Наличие объектно-ориентированного языка программирования (Object Pascal, Visual Basic, JavaScript).
Простые механизмы подключения дополнительных библиотек обучающих компонент и элементов управления ActiveX.
Представление знаний в системе
Система обеспечивает представление в электронном учебном курсе предметных, педагогических и диагностических знаний [Норенков Ю. И., 1993].
К предметным знаниям отнесены: учебный материал, знания, способствующие поиску требуемой информации, и знания о структуре предметной области.
В системе CourseMaster учебный материал представлен в виде страниц учебного курса, которые обладают следующими свойствами:
каждая страница курса имеет атрибуты, назначаемые автором и классифицирующие учебный материал по различным критериям (уровень представления учебного материала, уровень усвоения учебного материала, уровень осознанности [Беспалько В. П., 1977]);
страница курса содержит специальные данные, облегчающие поиск содержащейся в ней информации (метаданные);
страница учебного курса может содержать гиперссылки на другие страницы курса и диагностические знания;
информация на страницах курса может быть представлена в различных формах (текст, графические образы, диаграммы, видео, аудио и т.д.). Конкретное множество допустимых видов информации задается реализацией, т.е. зависит от множества используемых обучающих компонент;
каждый из информационных элементов, составляющих страницу курса, обладает определенными свойствами, которые могут изменяться в ходе процесса обучения.
Множество страниц учебного курса, организованных определенным образом, образуют структуру предметной области HS. Для каждого элемента t HS могут быть определены:
страница учебного курса;
множество диагностических учебных воздействий (пре- и пост-тестирование);
множество педагогических знаний, осуществляющих управление процессом обучения и модификацию модели обучаемого.
Представление педагогических знаний
Для реализации процесса адаптивного обучения необходимо планирование учебных воздействий и корректировка получаемых планов в зависимости от успешности усвоения материала. Оглавление учебного курса (структура предметной области) содержит ссылки на предметные знания и задает отношения между темами учебного материала. Его создание осуществляется разработчиком курса и оно остается неизменным в процессе обучения. Между тем, необходимость индивидуализированного подхода к обучению требует планирования учебных воздействий, как на основании структуры предметных знаний, так и на основании модели конкретного обучаемого.
Управляющий модуль системы целесообразно рассматривать как конечный автомат, который в любой момент времени находится в некотором состоянии. Состояние автомата однозначно определяется значениями его внутренних переменных. Изменение состояния происходит после поступления внешнего воздействия, в данном случае - действия обучаемого. Новое состояние определяется на основании поступившего внешнего воздействия и предыдущего состояния и выбирается в соответствии с функцией перехода, которая задается при помощи продукционных правил.
Таким образом, для представления педагогических знаний в системе реализованы следующие компоненты:
внутренняя память, в которой хранятся значения переменных, и
множества правил-продукций, анализирующих и изменяющих состояние данных переменных.
Для хранения значения внутренних переменных используется Реестр системы - динамическая база данных для хранения неоднородной информации, индивидуальной для каждого обучаемого.
В Реестре выделены следующие подструктуры:
модель обучаемого: уровень знаний, предпочтения и т.д.;
заметки обучаемого;
протокол работы обучаемого с системой, в котором сохраняются сведения о пройденном учебном материале;
информация о состоянии некоторых концептов предметной области и т.д.
Для хранения практически всей указанной информации используются элементы (разбитые на категории, секции) следующего вида:
Атрибут = Значение
где Атрибут - символьный идентификатор элемента Реестра: Значение - значение данного элемента Реестра, принадлежащее к одному из следующих типов: логический (Boolean), целый (Integer), вещественный (Float), строковый (String), поток (Stream), компонент (Component).
Для анализа и модификации содержимого Реестра используются продукционные правила, генерируемые автоматически при проектировании курса или разрабатываемые автором курса.
Каждое продукционное правило имеет следующий формат:
Список условий > Список действий
Список условий правил составляется из операторов используемого языка программирования, в частности, операторов, анализирующих состояние Реестра.
Список действий также составляют операторы текущего языка программирования, в частности, операторы, производящие модификацию Реестра.
Диагностические знания
Диагностические знания содержат сведения о способах и методах контроля знаний, умений и навыков обучаемого (вопросы и упражнения).
В рассматриваемой системе, по способу получения ответа, выделены следующие типы (варианты) контрольных вопросов (упражнений):
упражнения с заданным множеством ответов:
одиночный выбор;
множественный выбор;
ввод с клавиатуры;
область на рисунке;
соответствие;
иерархия;
упражнения с присоединенной процедурой вывода и анализа ответов (свободно-конструируемые вопросы).
Поддержка вопросов с заданным множеством ответов - обязательное условие для любой авторской системы современного уровня. Однако более полно контролировать процессы усвоения знаний, формирования умений и навыков позволяют вопросы с присоединенной процедурой вывода и анализа ответов (свободно конструируемые вопросы).
В чем суть вопросов этого типа? Практика показывает, что гораздо эффективнее, при проверке знаний и умений, вместо вопроса, например, "Как создать новую папку на Рабочем столе Windows?", потребовать - "Используя контекстное меню, создайте папку на Рабочем столе Windows". В этом случае, тестируемый, не выбирает правильный ответ из предложенных вариантов, а выполняет набор действий, который приводит к желаемому результату. Именно такое тестирование и позволяют реализовать свободно конструируемые вопросы.
Вопросы этого типа - наиболее эффективный способ проверки знаний и умений, но платой за эффективность является довольно высокая сложность разработки данных вопросов, связанная с необходимостью знания основ программирования. Однако в будущем, благодаря разработки специализированных компонент (в рамках данного проекта - обучающих компонент), сложность проектирования данных вопросов значительно снизится.
Для вопросов любого типа в системе CourseMaster могут быть определены метаданные, наличие которых позволяет генерировать тесты, индивидуализированные и соответствующие параметрам запроса автора курса или системы, т.е. авторы могут точно определить различные параметры опроса обучаемых, необходимые в некоторой точке учебного курса: общее количество вопросов, пропорцию вопросов специфического вида или специфичных тем, трудность, важность и т.д. В частности, использование метаданных позволило реализовать такую функцию система как "Работа над ошибками".
По способу активации множество диагностических знаний разделено на следующие подмножества:
упражнения, активизируемые в процессе предварительного тестирования (например, при инициализации стереотипной или оверлейной модели пользователя);
упражнения, активизируемые, в результате выполнения некоторого правила;
упражнения, закрепленные за некоторым концептом предметной области и активизируемые до или после его изучения (пре- и пост-тестирование);
упражнения для самоконтроля, активизируемые самим обучаемым в процессе работы с концептом ПО (ссылки на такие упражнения задаются в соответствующем концепте).
Автоматизированное оценивание уровня знаний и умений является в достаточной мере формальной процедурой и его качество напрямую зависит от используемых алгоритмов. Для информирования о результатах обучения и отражения динамики развития обучаемого в системе CourseMaster использован алгоритм, в основу которого положена многозначная логика с векторной семантикой VTF [Аршинский Л. В., 1998, Аршинский Л. В., Пугачев А. А., 2001; Гаврилова, Хорошевский, 2000]. Данный алгоритм обеспечивает:
проведение адаптивного тестирования;
формализованный, однозначный и объективный порядок фиксирования результатов ответов на вопрос;
предоставление возможности дифференцированного подхода к оцениванию результатов ответов на каждый вопрос с учетом его параметров;
возможности распознавания типа ошибки и соответствующего их оценивания;
получение итоговой интегрированной оценки по результатам ответа на все вопросы;
приведение итогового результата к оценке по традиционно используемой шкале;
достаточно простую программную реализацию.
Важным достоинством алгоритма является возможность естественным образом учитывать вес каждого вопроса в тесте. Механизм задания весовых коэффициентов может быть различен. В рассматриваемой системе вес вопроса (упражнения) определяется в соответствии с системой дидактических показателей предложенных В.П. Беспалько [Беспалько В.П., 1977]:
показатели уровня представления учебного материала ( альфа);
показатели уровня усвоения учебного материала ( бета);
показатели качества усвоения (осознанность) ( гамма);
В соответствии с данными показателями вес i-вопроса, определяется выражением
где
- коэффициенты, определяющие приоритет того или иного показателя,
- поправочный коэффициент.
Существенным, в данном подходе, является использование, наряду с понятием вес вопроса, понятия - вес ответа, который определяется как степень соответствия j ответа текущему вопросу, выраженная в процентах или долях единицы.
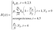
Итоговый балл, получаемый тестируемым, при выполнении i задания теста определяется выражением:
Характеристики
Тип файла документ
Документы такого типа открываются такими программами, как Microsoft Office Word на компьютерах Windows, Apple Pages на компьютерах Mac, Open Office - бесплатная альтернатива на различных платформах, в том числе Linux. Наиболее простым и современным решением будут Google документы, так как открываются онлайн без скачивания прямо в браузере на любой платформе. Существуют российские качественные аналоги, например от Яндекса.
Будьте внимательны на мобильных устройствах, так как там используются упрощённый функционал даже в официальном приложении от Microsoft, поэтому для просмотра скачивайте PDF-версию. А если нужно редактировать файл, то используйте оригинальный файл.
Файлы такого типа обычно разбиты на страницы, а текст может быть форматированным (жирный, курсив, выбор шрифта, таблицы и т.п.), а также в него можно добавлять изображения. Формат идеально подходит для рефератов, докладов и РПЗ курсовых проектов, которые необходимо распечатать. Кстати перед печатью также сохраняйте файл в PDF, так как принтер может начудить со шрифтами.















