ref-15238 (708634), страница 3
Текст из файла (страница 3)
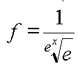
где е — основание натурального логарифма; х — приведенное значение исследуемого параметра объекта.
Функция определена в интервале 0...1 и используется в качестве безразмерной шкалы, названной шкалой желательности, для оценки уровней параметров сравниваемых объектов (изделий).
С помощью шкалы желательности оцениваются параметры объектов или изделий с точки зрения их пригодности к использованию, или желательности, по отношению к какому-либо практическому применению. Каждому фактическому значению функции желательности придается конкретный экономический смысл, связанный с уровнем конкурентоспособности исследуемого объекта или изделия. Причем значение функции желательности, равное 0, соответствует неприемлемому уровню параметра, при значении которого изделие непригодно для выполнения стоящих перед ним задач; значение функции желательности, равное 1,00, соответствует полностью приемлемому уровню параметра, либо такому значению параметра, при котором дальнейшее улучшение нецелесообразно или невозможно. Промежуточные значения функции желательности, их экономическая характеристика приведены в табл. 1.
Для выполнения дальнейших расчетов и графических построений необходимо получить значения приведенного параметра изделия, соответствующие узловым точкам шкалы желательности (табл. 1).
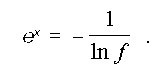
Из формулы, приведенной выше, определим нужное значение. С этой целью прологарифмируем обе части уравнения:
(10)
(11)
Повторное логарифмирование позволяет получить следующую зависимость:
x = –ln [–ln f]. (12)
С целью обеспечения возможности использования функции желательности для оценки параметров различной размерности и порядка производится приведение параметров изделия р к значениям приведенного параметра x функции желательности f. Для этого по известным значениям x и р на границах интервалов функции желательности строится аппроксимирующая функция и определяются ее параметры (коэффициенты). Наиболее простая — это линейная функция вида
х = a х р + b, (13)
где a, b — коэффициенты аппроксимации.
Таблица 2. Параметры функции желательности
Процедура получения оценки уровня параметра изделия по шкале (функции) желательности f включает следующие этапы:
а) определение значений приведенного параметра х, соответствующих узловым точкам шкалы желательности f;
б) определение значений параметра p, соответствующих границам интервалов шкалы желательности f (согласно условиям (критериям), приведенным в табл. 1);
в) определение коэффициентов аппроксимации по данным х и р;
г) вычисление значения x для конкретного значения оцениваемого параметра p;
д) определение значения функции желательности f для оцениваемого параметра.
Очевидно, что результаты сравнительной оценки конкурентоспособности различных изделий-аналогов будут в значительной степени зависеть от того, какие конкретные значения на шкале параметров будут поставлены в соответствие границам интервалов шкалы желательности f. Если заранее неизвестны требования конкретных потребителей, данный метод рекомендует придерживаться следующих правил:
а) за f = 1,00 принимается уровень параметра, превышающий лучший мировой, или максимально возможный уровень, или уровень, улучшать который не имеет смысла;
б) за f = 0,80 принимается лучший мировой уровень, то есть наилучшее значение параметра среди всех рассматриваемых изделий;
в) за f = 0,20 принимается самый низкий уровень среди всех рассматриваемых изделий;
г) за f = 0,00 принимается наиболее низкий уровень значения исследуемого параметра изделия, который можно себе представить;
д) интервал на шкале параметров, соответствующий значениям функции желательности f = 0,20...0,80, следует разбить равномерно. При этом значения параметра p в точках, соответствующих значениям функции желательности 0,37 и 0,63, определяются из уравнения аппроксимации:
(14)
В качестве критериев оценки могут быть приняты как количественные, так и качественные измерители. В последнем случае оценки качественного параметра (например, имидж изделия или фирмы, его производящей) могут быть также сделаны в соответствии с рекомендациями, приведенными в табл. 1.
Имея оценки уровней отдельных параметров изделия, рассчитываем уровень конкурентоспособности всего изделия с помощью обобщенной функции желательности F:
, (15)
где f — значение функции желательности для i-го параметра изделия; n — количество анализируемых параметров изделия.
Сравнивая значение F различных изделий, определяем изделие, обладающее в данное время наилучшей совокупностью потребительских свойств. Этому изделию будет соответствовать наибольшее значение обобщенной функции желательности.
Данный метод страдает также рядом недостатков, а именно:
1) при расчете конкурентоспособности не учитывается различное влияние разных параметров на конкурентоспособность продукции;
2) для каждого из параметров предлагается определять только одну аппроксимирующую функцию. Это не всегда может обеспечить необходимую достоверность расчетов, особенно при использовании в качестве аппроксимирующей линейной функции. В данном случае предлагаем (если возможно получить значения р для всех узловых значений х) строить аппроксимирующую функцию по узловым точкам, ближайшим к значениям параметра изделия;
3) на наш взгляд, экономически необоснованно использование функции
в качестве функции желательности. Очевидно, она была нужна по той причине, что принимает значения от 0 до 1, что для функции желательности предпочтительно.
Однако использование функции
ведет к получению искаженного значения показателя конкурентоспособности.
Исследование функции
показало, что данная функция является монотонно возрастающей на всей области определения: х Э (–Ч; +Ч), причем
, т.е. ее значения лежат в интервале (0; 1).
Протабулируем данную функцию на отрезке [–4,0; 10,0] (расширять границы не имеет смысла, так как значения f (–4,0) и f (10,0) близки к предельным) с шагом 0,2. Кроме того, найдем приращение функции желательности на каждом шаге. По полученным значениям построим графики функции желательности и ее приращения (см. рисунок 1).
На рисунке 1 хорошо заметна неравномерность изменения функции желательности.
Для х Э[–1,8; 5,2] приращение функции составляет больше 0,001; для х Э[–1,4; 3,0] — больше 0,01, а для х Э[–0,6; 0,8] — больше 0,05. Для хЭ[–1,8; 5,2] приращение незначительно и стремится к 0. Своего максимума изменения функция желательности достигает вблизи точки х=0. Таким образом, для объектов, у которых Х, т.е. приведенные значения параметра р, относительно близки к 0, различие значений функции желательности будет много больше, чем для объектов, у которых при той же разнице Х приведенные значения параметра отдалены от 0, что искажает действительность.
Рис. 1. Графики функции желательности и ее приращения
3.3. Определение конкурентоспособности продукции методом многокритериальной оптимизации
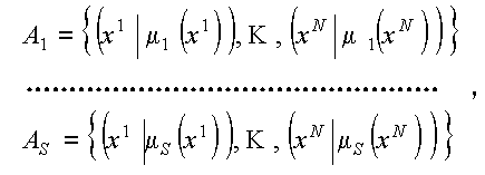
Рассмотрим постановку многокритериальной задачи ранжирования: пусть имеется N объектов
и каждому объекту присущи S признаков, выраженных количественно. То есть имеется дискретный набор значений
где —
значение i-го признака для j-го объекта.
Желательным является выбор такого объекта, у которого значение любого признака является лучшим по сравнению с другими рассматриваемыми объектами. Очевидно, что такой объект не всегда существуют и у каждого есть свои преимущества и недостатки, особенно если S >> 1. Поэтому выбор такого объекта не всегда возможен. В этом случае одним из наиболее распространенных методов решения является метод, основанный на выделении множества Парето из множества всех объектов.
Определение. Пусть имеется два вектора
Вектор называется оптимальным по Парето, если для
выполняются соотношения
и хотя бы для одного i выполняется строгое неравенство.
Очевидно, что при этом не имеет смысла говорить о единственном решении, так как нет никакой информации для того, чтобы предпочесть один объект из множества Парето другому. Поэтому, если задача заключается в выборе единственного объекта, лицо, принимающее решение (ЛПР), должно выбрать решение, основываясь на ряде субъективных факторов. При этом ему приходится сравнивать между собой все объекты из множества Парето, то есть сначала необходимо установить приоритет (или ранг) для всех объектов из множества Парето, а затем выбрать в качестве единственного решения тот объект, который будет иметь наивысший приоритет (ранг).
Предлагаемый способ решения многокритериальных задач ранжирования можно разбить на следующие этапы:
Этап 1. Формулируется задача НМП (нечеткого математического программирования):
, (16)
где
— функция принадлежности элемента x j ко множеству Ai, характеризующая степень близости значения i-го критерия в рассматриваемой пробной точке
к оптимальному значению данного критерия. Функции принадлежности строятся с помощью процедуры, выбираемой ЛПР. Сначала необходимо задать функции принадлежности
, а затем для каждого fi j рассчитать значение
.
Этап 2. На основе полученных значений
для каждого объекта рассчитывается агрегирующая функция:
, (17)
где * — некоторая бинарная операция.
Этап 3. После осуществления этапа 2 каждому j-му объекту будет соответствовать единственный числовой параметр
. Для определения оптимальной точки из числа всех пробных точек необходимо выбрать пробную точку с номером j 0, для которой
. (18)
















