ref-15238 (708634), страница 2
Текст из файла (страница 2)
Хотя данные периоды времени крайне малы с точки зрения возможных изменений внешней и внутренней среды, они достаточно продолжительны для того, чтобы собрать статистическую информацию для построения эконометрической модели. Все события должны быть синхронизированы в дискретных временных интервалах. Так, например, доходы и расходы потребителя должны производиться в течение рассматриваемого периода, а их величина и структура — меняться только от периода к периоду.
Принцип преимущественно рационального поведения субъектов рынка основан на предположении, что поведение каждого из субъектов рыночных отношений — будь то потребителя или производителя — можно рассматривать как серию взаимосвязанных рациональных действий с заранее определенной целью. Суть этих действий состоит в том, что субъект выбирает рациональные цели только в соответствии с его естественными и разумными социальными потребностями, тщательно рассчитывает оптимальный путь к удовлетворению потребностей.
Данная модель поведения в большей мере реализуется производителями. Любой предприниматель будет стремиться продавать продукцию по цене как можно выше себестоимости. Необходимо отметить, что даже те предприятия, которые используют в своей конкурентной борьбе демпинговые цены, прекрасно осознают, что данный инструмент приемлем лишь как один из тактических приемов выдавливания конкурентов с определенного рыночного сегмента, а не как фактор стратегического развития фирмы, долгосрочный инструмент укрепления своей рыночной позиции.
Каждый производитель стремится использовать все резервы для получения максимальной отдачи от имеющихся в его распоряжении ресурсов. Любые усилия в сфере повышения качества продукции или снижения себестоимости мотивированы лишь одним — получением дополнительной выгоды, которая может выражаться в усилении конкурентной позиции и (или) повышении доли прибыли предприятия в цене продажи.
Действия большинства потребителей продукции также подчинены принципу рациональности. Приверженность рациональному поведению повышается с ростом доли расходов потребителей на удовлетворение данной потребности или с ужесточением контроля над процессом расходования средств. Оба этих фактора характерны для описания поведения потребителей товаров промышленного назначения. Каждый потребитель стремится получить за свои деньги максимум с точки зрения количества и качества продукции. Большую часть потребительского пространства можно охарактеризовать рациональным спросом, т.е. спросом, обусловленным качествами, присущими данному товару.
Нерациональный спрос означает, что часть совокупного спроса обусловлена какими-то другими факторами, не связанными с качеством товара. Для любой категории товаров выделяют три составляющие нерационального спроса1:
-
внешние воздействия на ощущаемую полезность товара;
-
спекулятивный спрос;
-
иррациональный спрос.
Наиболее значительная часть нерационального спроса определяется внешними воздействиями на полезность товара. Величина ощущаемой потребителями полезности, извлекаемая из данного товара, увеличивается или уменьшается от того, покупают ли другие потребители этот товар, либо товар имеет более высокую цену по сравнению с другими аналогичными товарами. Все последствия воздействия этих факторов на спрос описываются соответствующими эффектами.
Эффект присоединения к большинству подразумевает увеличение спроса на товар из-за того, что его покупают другие члены данной группы потребителей. Если большинство действует рационально, то и действия меньшинства также можно считать рациональными.
Спрос, обусловленный эффектами сноба и Веблена, имеет под собой основу в виде несколько иной системы мотивации потребительского поведения. Действие эффекта сноба выражается в нежелании некоторых потребителей придерживаться той же шкалы показателей качества, что и большинство членов его группы. Рациональность действий подменяется в данном случае исключительностью положения, выделением из общего массива потребителей. Эффект Веблена характеризует действия части потребителей нежеланием придерживаться ценовой шкалы, установленной большинством группы. Демонстративная цена рассматривается как плата за удовлетворение потребности ощущать себя социально исключительным, обозначить высокое положение в обществе за счет права обладания дорогой вещью. При этом шкала ценностей выполняет функцию социального барьера. В обоих случаях решения потребителей по приобретению товара нельзя рассматривать как рациональные, так как демонстративная цена перерождается из средства в цель действий потребителя.
При спекулятивном спросе для потребителя первоочередной целью становится не удовлетворение потребности в настоящий момент времени, а попытка сохранения или увеличения богатства в будущем. В этом случае необходимо отметить два момента:
-
факт потребления продукции и результат от данного факта значительно разнесены во времени, что не согласуется с принципом квазистабильности;
-
потребитель, проявляя спекулятивный спрос, выступает в роли предпринимателя, так как целевые ориентиры в его деятельности направлены не на выбор оптимальных ценовых показателей потребляемой продукции в настоящий момент времени, а на увеличение экономической выгоды в будущем. Нередко это соотносится с потерями в настоящий момент.
Природа иррационального спроса характеризуется обостренным конфликтом между основными факторами потребительского поведения (психофизиологическими и социокультурными, инстинктами и удовольствием). Так, потребитель может вести себя иррационально, когда удовольствие и неудобство (или боль) от процесса потребления разнесены во времени. Случаи, когда сначала наступает неудобство при выработке навыков пользования товаром, не дают возможности получать удовольствие от приобретения товара. Выгоды от приобретения товара для потребителя кажутся при этом сомнительными, и он отказывается от него, что вызывает дефицит опыта рационального потребления. И наоборот, цикл «удовольствие—неудобство» позволяет накапливать опыт рационального поведения. Однако большой временной разрыв между фактом потребления и негативными последствиями не дает возможности потребителю сделать выводы об иррациональности своего поведения. В связи с этим одним из условий принятия рационального решения считается введение запретов и других препятствий со стороны государства и общества для защиты потребителей от собственных иррациональных действий, а также предоставление максимально полной информации о качестве соответствующей продукции и состоянии рыночной конъюнктуры. Дефицит информации приводит к тому, что поведение потребителей может становиться рациональным по форме, но не по результатам.
Таким образом, принцип рациональности поведения рыночных субъектов позволяет применять в процессе моделирования конкурентоспособности продукции законы общей теории ценности, теории полезности и другие законы психологии и социологии.
Предложенные принципы являются результатом синтеза ранее известных законов и концепций и выдвигаются в качестве основных для решения конкретной задачи — оценки конкурентоспособности продукции и определения стратегии и тактики возможных действий в области управления ею с целью наиболее полного удовлетворения интересов потребителей и производителей одновременно.
3. Методы определения конкурентоспособности продукции
3.1. Определение конкурентоспособности продукции методом расчета единичных и групповых показателейю
В основе данного — традиционного — метода лежит расчет единичных и групповых показателей, на базе которых определяется интегральный показатель конкурентоспособности. Рассмотрим его более подробно.
На первом этапе выбирается база сравнения. В качестве базы для сравнения может служить лучший из уже существующих на целевом рынке или в мире товаров-конкурентов, или более совершенный образец, появление которого ожидается в ближайшем будущем, или некоторый абстрактный эталон. Если разбить товары на три группы, а именно:
-
имеющие аналоги и уже выведенные на рынок;
-
имеющие аналоги и находящиеся на стадии разработки;
-
не имеющие аналогов,
то получаем, что первый вариант базы сравнения лучше использовать для первой группы, второй — для группы 2, третий — для группы 3.
На втором этапе выделяются наиболее значимые для потребителя критерии. Они делятся на две группы: потребительские и экономические. Первые включают в себя качественные характеристики товара (производительность, габариты, экологическая безопасность, надежность и т.д.), вторые — цену товара, затраты на транспортировку, монтаж и эксплуатацию, что в целом составляет цену потребления. Значение критерия у базисной модели обозначим РБ, а у сравниваемого образца — Р.
На третьем этапе по каждому критерию рассчитывается единичный показатель конкурентоспособности (qi). Если увеличение значения критерия влечет за собой повышение качества, то
qi = Pi/PБi, (1)
а если снижение, то
qi = PБi/Pi, (2)
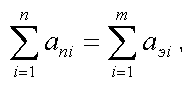
На четвертом этапе внутри каждой группы критериев производят ранжирование показателей по степени их значимости для потребителя и в соответствии с этим присваивают им вес: апi — для потребительских и аэi — для экономических показателей. Причем
, (3)
где n и m — количество потребительских и экономических параметров соответственно.
Необходимость соблюдения этого равенства обоснуем ниже.
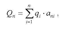
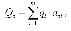
На пятом этапе проводится расчет группового показателя как сводного параметрического индекса конкурентоспособности:
, (4)
, (5)
где Qп и Qэ — сводные параметрические индексы конкурентоспособности по потребительским и экономическим свойствам соответственно.
Вернемся к равенству (3). Его соблюдение обеспечивает сопоставимость Qп и Qэ вне зависимости от количества рассматриваемых критериев.
Рассмотрим пример.
При сравнении двух образцов по трем потребительским критериям получили следующие пары значений: (aпi; qi): (aп1; q1), (aп2; q2), (aп3; q3). Тогда
. (6)
Дополнительное исследование рынка показало, что необходимо добавить еще один критерий, для которого апi = а4, qi = q4. В результате, если пренебречь равенством (3), получим
, (7)
то есть сводный параметрический индекс конкурентоспособности увеличится даже в случае, если q4 < 1, следовательно, наблюдается превосходство базисной модели.
На шестом этапе рассчитывается интегральный показатель конкуренто-способности (К):
К = Qп/Qэ. (8)
Экономический смысл интегрального показателя конкурентоспособности заключается в том, что на единицу затрат потребитель получает К единиц полезного эффекта. Если К > 1, то уровень качества выше уровня затрат и товар является конкурентоспособным, если К < 1 — неконкурентоспособным на данном рынке.
Данный метод имеет ряд недостатков:
1) во всех случаях предполагается линейная зависимость конкурентоспособности от значения критерия, то есть по всем параметрам эластичность спроса равна 1;
2) не учитывается то, что для некоторых критериев существуют ограничения, объективные или субъективные, при нарушении которых конкурентоспособность товара стремится к нулю;
3) при сравнении нескольких товаров необходимо проведение расчетов для каждой пары в отдельности;
4) сложно устанавливать весовые значения aij, особенно для большого количества критериев;
5) невозможно оценить степень влияния на конкурентоспособность товара факторов, не поддающихся количественной оценке;
6) данным методом рассчитывается конкурентоспособность одного объекта относительно другого, а не уровень конкурентоспособности объекта вообще;
7) существует определенная сложность выбора базы сравнения, особенно в случаях, когда в качестве таковой необходимо принять лучший из существующих образцов. Возникает вопрос: как определить, какой товар является лучшим? Поэтому либо необходимо предварительно сравнивать образцы между собой, либо имеет место интуитивный выбор. Можно брать в качестве базы сравнения лидера по продажам, но эта информация часто закрыта, субъективна и трудно собираема, особенно когда речь идет о товарах широкого потребления, которые распространяются по многим каналам сбыта, имеющим несколько уровней.
Собственно, указанные недостатки являются и ограничениями применения традиционного метода конкурентоспособности товара.
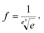
3.2. Определение конкурентоспособности с использованием функции желательности
Использование функции желательности f для определения конкуренто-способности товара предложено Гончаровой Н.П.1 Функция желательности определяется следующим образом:
, (9)












