109058 (707868), страница 9
Текст из файла (страница 9)
Рис. 3.1. Направления эволюции конечностей и коренных зубов у лошадей (объяснения см. в тексте).
Что касается изменений, коррелированных с пространством, то считается, что дивергенция признаков у популяций, принадлежащих к одному и тому же или к близким видам, произошла в результате различных давлений отбора, испытываемых этими популяциями в тех различных экологических условиях, в которых они находятся. Следовательно, нам важно иметь возможность точно определять различия в тех экологических условиях, под действием которых находятся организмы! Физиологическим экологам, изучающим прибрежную фауну, известно множество примеров близкородственных видов, обитающих в разных частях приливно-отливной зоны и поэтому в разной степени подверженных обсыханию в промежутке между двумя приливами и воздействию волн. Морфологические, физиологические и поведенческие различия между видами, обитающими в разных частях приливно-отливной зоны, во многих случаях можно объяснить как адаптации к этим экологическим различиям; один из таких примеров приведен в табл. 3.1. В этом случае большую устойчивость к высоким температурам и иссушающим условиям у Patella vulgata, обитающей в верхней части этой зоны, чем у P. aspera, обитающей в ее нижней части, можно рассматривать как приспособление к более частому и более длительному пребыванию в воздушной среде в промежутке между приливами. Кроме того, более низкую скорость потери воды в воздушной среде у P. vulgata по сравнению с P. aspera можно отнести за счет различий в форме раковины у этих двух видов (у P. vulgata поверхность, обсыхающая в воздушной среде, меньше); таким образом, морфологические различия поддаются объяснению с позиций адаптационизма.
Таблица 3.1. Некоторые аспекты физиологической экологии морских видов блюдечка (по данным Девиса (10,11))
| Признак | patella vulgata | Patella aspera |
| Зона обитания Выживаемость при t<30°C Скорость потери воды тканями Способность противостоять потере воды | Верхняя Высокая Низкая Высокая | Нижняя Низкая Высокая Низкая |
| Форма раковины | | |
В связи с методом 1 возникает ряд проблем.
1. Не во всех случаях можно твердо установить, являются ли наблюдаемые различия генотипическими или лишь фенотипиче-скими. Так, например, различия в форме раковины, приведенные в табл. 3.1, можно отнести за счет прямого воздействия волн, то есть в этом случае, если бы оба вида развивались в одних и тех же условиях, никаких различий между ними не было бы. Подобного рода негенетические различия (называемые иногда фенотипической пластичностью) в данном контексте интереса не представляют. Отметим, однако, что фенотипическая пластичность может быть детерминирована генетически, а может быть адаптивной. Примеры исследований, в которых был проведен более точный генетический анализ, будут даны в разд. 3.3.
2. Наличие корреляции само по себе нельзя считать доказательством существования причинно-следственной зависимости. Возможно, что в возникновении различий участвуют какие-то скрытые переменные, играющие более важную роль. Возможна также, что различия в форме раковины у блюдечка обусловлены различиями в выеданий хищниками, а это последнее регулируется воздействием волн или обсыханием в промежутке между приливами. В таком случае различия в признаках следовало бы объяснять в свете того, в какой степени раковины определенной формы обеспечивают защиту от хищников, а не от обсыхания или воздействия волн.
3. Не все различия обязательно должны быть адаптивными. Некоторые из них могли возникнуть случайно (дрейф, эффект основателя). Другие могли возникнуть не в результате прямого .отбора, а как «побочные эффекты» признаков, обладающих селективным преимуществом, например в случаях плейотропии (один ген имеет несколько фенотипических эффектов, причем не все они должны быть адаптивными) или аллометрии (см. разд. 4.2). Одним из таких признаков может быть старение. Его нельзя назвать явно адаптивным, поскольку оно, по определению, снижает жизнеспособность и повышает уязвимость затронутых им организмов. Старение может быть адаптивным применительно к группе в целом, например, в том смысле, что оно освобождает место для новых мутаций, связанных с молодыми особями, которые замещают старых особей и, следовательно, стимулируют эволюцию и долговременное выживание группы, однако такую точку зрения с позиций группового отбора разделить трудно (см. разд. 3.6).
В отличие от этого несколько других теорий связывают старение с плейотропными эффектами. Суть их сводится к следующему: в природе организмы гибнут по большей части не от старости, а от несчастных случаев, болезней и хищников. В результате вмешательства этих внешних факторов вероятность выживания часто с возрастом снижается, так что существует некий возраст, после которого животные обычно гибнут и не вносят никакого репродуктивного вклада в популяцию. Если один ген обладает несколькими эффектами, среди которых есть как благоприятные, так и неблагоприятные, то отбор будет направлен на то, чтобы задержать, проявление последних до того периода жизненного цикла, до которого организмы обычно не доживают. Проявление этих гибельных эффектов (внутренне присущие организму факторы смертности) становится заметным лишь тогда, когда внешние факторы смертности устранены, как в лаборатории или в человеческом обществе.- С этой точки зрения старение — не какая-то особая адаптация, а «побочный эффект» генов, которые обладают независимыми от старения благоприятными эффектами, проявляющимися на более ранних стадиях жизненного цикла.
4. Признаки могут быть адаптивными и могут быть обусловлены отбором, но тем не менее различия между ними не обязательно должны иметь селективную основу. Иными словами, для решения одних и тех же проблем могут развиваться различные адаптации, то есть в адаптивном ландшафте имеются многочисленные адаптивные пики, и какой из них займет популяция, зависит от ее начального состава. Это может лежать в основе различия между индийским носорогом, имеющим один рог, и африканским носорогом, у которого два рога. Рога — приспособление для защиты от хищников, и вряд ли можно думать, что один рог — специфическое приспособление для индийских условий, а два — для африканских. Более вероятно, что изначально индийская и африканская популяции несколько различались, в частности по своим морфогенетическим системам, а поэтому под действием одних и тех же селективных сил они достигли различных адаптивных пиков (25).
Метод 2 (априорный/предсказательный подход). Этот метод используют не для объяснения корреляций между фенотипичес-кими признаками и экологической изменчивостью, а для того, чтобы предсказать, какими должны быть эти корреляции. В принципе он позволяет делать предсказания до проведения наблюдений. Подобного рода априорные эволюционные рассуждения часто бывают основаны на допущении, что естественный отбор — процесс оптимизирующий, то есть что в некотором смысле он ведет к эволюции наилучших из возможных признаков. Инженеры и экономисты, которые также стремятся избрать наилучшие решения для конкретных технических или экономических проблем, разработали специальные методы, например теорию оптимального управления, и эти методы находят также применение и в биологии (34). При использовании принципа оптимальности для решения любой проблемы должны быть выполнены следующие основные требования: 1) все возможные решения данной задачи должны быть известны; 2) каждому решению должно быть возможно приписать некоторые числа или сложные математические функции, соответствующие либо стоимости (и), либо цене (с) этого решения относительно какого-либо заранее заданного условия. Математическая задача принципа оптимальности состоит в том, чтобы среди значений v и с найти максимальное v или минимальное с.
Основное условие применимости принципа оптимальности состоит в том, чтобы прибыль и цену можно было измерить, а это зависит в свою очередь от ясного недвусмысленного определения того, какие требования предъявляются к системе. У инженеров и экономистов всегда есть заранее установленные критерии, с которыми можно сопоставлять поведение изучаемой системы. Согласно теории неодарвинизма (см. разд. 3.1), фенотипические особенности биологических систем должны быть такими, чтобы максимизировать расселение потомков (несущих данный признак), генов, а быть может, даже генных комплексов, так что прибыль и цену можно оценивать относительно этих требований. Если бы мы могли точно определять признаки в зависимости от их воздействия на выживание, время генерации и репродуктивный вклад, то было бы относительно легко выбрать те из них, которые максимизируют неодарвинистскую приспособленность. К сожалению, непосредственно вычислить эту величину обычно бывает возможно только для нескольких признаков, и приходится довольствоваться лишь косвенными допущениями. Поэтому весь метод сводится к следующему: 1) допускаем, что отбор максимизирует неодарвинистскую приспособленность (основная гипотеза); 2) переводим 1 в фенотипическую меру приспособленности (вспомогательная гипотеза); 3) используя соответствующие математические методы, находим признак, который максимизирует 2 (или минимизирует ее снижение); 4) сравниваем это предсказание с тем, что наблюдается в природе или обнаруживается в специально созданных экспериментальных условиях. В этой программе адаптационисты редко пытаются опровергнуть основную гипотезу. Они обычно исходят из допущения, что эта гипотеза более или менее верна, а затем пытаются уточнить свое понимание эволюции фенотипа, критически оценивая вспомогательные гипотезы.
Кон (7, 8), а позднее Милсум и Роберж (31) изучали адаптацию применительно к кровеносной системе позвоночных. Они хотели выяснить, какой ширине сосудов будет благоприятствовать естественный отбор. Конечно, оценить диаметр кровеносных сосудов исходя из его воздействия на выживание, скорость развития и размножения не представляется возможным, а поэтому необходима была какая-то вспомогательная гипотеза; такой гипотезой послужило допущение, что отбор должен благоприятствовать самой экономичной структуре. Оно было основано на том, что, чем меньше ресурсов будет затрачено на построение и поддержание кровеносной системы, тем больше их останется у организма для борьбы с болезнями и хищниками и для того, чтобы производить потомство. Кон и его соавторы рассматривали две оценочные функции (рис. 3.2): одна из них возрастает с уменьшением диаметра сосудов (потому что сопротивление трения потоку жидкости при этом возрастает и делает необходимым большую затрату энергии сердцем на прокачивание крови), а другая возрастает с увеличением диаметра (потому что на построение и поддержание системы больших размеров необходимо больше ресурсов). Вспомогательная гипотеза требует, чтобы отбор благоприятствовал той системе, которая обходится дешевле; именно это решение может быть получено графически (рис. 3.2) или из уравнений, определяющих оценочные функции.
Рис. 3.2. Модель Кона, предсказывающая оптимальный радиус (Опт.) для кровеносных сосудов. Существуют две оценочные функции, одна из которых возрастает, а другая уменьшается с увеличением радиуса сосуда (см. текст). Оптимальным является тот радиус, который минимизирует сумму значений этих функций, то есть представляет собой наиболее экономичное решение.
Подставив в эти уравнения реальные числа, можно вычислить конкретные оптимальные диаметры и сравнить их с результатами наблюдений (табл. 3.2). Кон и его соавторы получили достаточно хорошее совпадение между реальными и ожидаемыми диаметрами. Следует, однако, помнить, что своей работой они не пытались опровергнуть неодарвинизм; они лишь хотели понять, что он означает применительно к развитию кровеносной системы. Данная вспомогательная гипотеза позволяет сформулировать некое онтогенетическое правило, которое может оказаться применимым и для других систем, а именно: системы органов должны быть возможно более экономичными по форме и функции.
Таблица 3.2. Предсказания Кона и результаты измерений реальных сосудов.
| Предсказания | Результаты измерений | |
| Радиус аорты, см | 0,43 | 0,5 |
| Диаметр капилляров, мкм | 2,2 | 4,0 |
Метод 2 также сопряжен с некоторыми затруднениями. Главные из них относятся к формулировке ряда допущенных решений, из которых можно было бы выбрать оптимальное. С одной стороны, мы не можем сделать этого, не прибегая к реальным наблюдениям, то есть метод 2 строится на основе метода 1, а это означает, что модели создаются в соответствии с фактическими данными, а не предсказывают их. С другой стороны, не все мыслимые решения реально осуществимы, а поэтому необходимо некоторым образом ограничить их. Иными словами, оптимизационные методы можно рассматривать как поиски на адаптивном ландшафте (см. разд. 2.3.3) самых высоких пиков, в условиях, когда доступны не все пики: некоторые пики могут соответствовать таким фенотипам, возникновение которых невозможно по морфогенетическим причинам, другие могут оказаться исключенными вследствие исходного генетического состава популяции до начала действия отбора. Возможно также, что уровень генетической изменчивости в популяции окажется недостаточным для достижения наивысшего пика. К сожалению, установить a priori эти ограничения чрезвычайно трудно, и применение метода 2 может дать о них столько же информации, сколько и о самой адаптации.
3.3. Меланизм у бабочек — подход a posteriori.
По мере развития промышленности в Великобритании энтомологи стали замечать, что у многих различных видов бабочек светлая окраска заменяется темной или черной. Особенно ярким примером этого служит березовая пяденица (Biston betularia), темная форма которой получила название carbonaria. Были обнаружены следующие факты: 1) самые ранние находки темных форм были сделаны вблизи районов с сильно развитой промышленностью; 2) самая высокая частота темных форм обнаружена вблизи промышленных центров (отсюда и название этого явления — индустриальный меланизм); 3) меланисты обычно встречаются у видов, которые активны ночью. Апостериорное эволюционное объяснение состоит в том, что светлые формы более заметны для хищников на закопченных ветвях и стволах деревьев, на которых они отдыхают днем. Существуют, конечно, и другие возможные объяснения. Прежде всего меланизм может иметь фенотипическую природу: например, он мог бы возникнуть в результате попадания в организм насекомых промышленных загрязнений. Однако в экспериментах по скрещиванию было показано, что меланизм контролируется генетически и что расщепление по этому признаку происходит так, как если бы он определялся одним доминантным аллелем. Есть и другие возможные объяснения. Так, например, темная окраска могла бы служить защитой от прямого действия загрязнения. Для дальнейшего изучения меланизма у березовой пяденицы Кеттлуэлл (21, 22) провел следующие полевые эксперименты.
1. Чтобы определить, не обладает ли форма carbonaria болы шей приспособленностью, чем типичная березовая пяденица, Кеттлуэлл выпускал меченых особей той и другой формы в промышленных и сельских районах. При повторном отлове в промышленных районах среди выловленных меченых особей было больше carbonaria, а в сельских — больше типичной формы.
2. Равное число особей carbonaria и типичной формы помещали на стволы деревьев в задымленной и незадымленной местностях и непосредственно наблюдали за тем, как их выедали хищники. Оказалось, что в сельской местности хищники уничтожили больше меланистических форм, а в промышленном районе— больше типичных особей.
3. Одна птица — пищуха — поедала без разбору обе формы. Кеттлуэлл указывает, что она кормится, перемещаясь вверх и вниз по стволам деревьев, и поэтому видит силуэт бабочки, сидящей на коре дерева, а не цвет ее крыльев.
Результаты экспериментов 2 и 3 служат особенно убедительными доводами в пользу того, что меланизм возник в ответ на давление со стороны хищников.
Приведенный здесь анализ индустриального меланизма основан на описанном выше методе 1, однако благодаря тщательно проведенным наблюдениям и экспериментам он зашел значительно дальше, чем это обычно бывает или чем это возможно. Кроме того, в этом случае удалось выявить генетическую основу наблюдаемого изменения. Подобного рода программы, основанные на методе 1, но учитывающие также экологические и генетические наблюдения, часто называют экогенетическими — подход, впервые примененный Е. Б. Фордом .(см. (16)) и Добр-Жанским (14).
3.4. Примеры априорного подхода.
3.4.1. Применение принципа оптимальности к адаптациям жизненного цикла
Большая часть рассматривавшихся до сих пор адаптации касалась либо морфологических, либо физиологических признаков. Между тем такие признаки, как характер морфогенетических процессов, скорости роста, общие размеры, продолжительность жизни и вклад в размножение, также, вероятно, подвергались естественному отбору. Все эти признаки участвуют в том, чтобы довести продукты размножения до такого состояния, в котором они могут воспроизводиться, и их называют признаками жизненного цикла или цикла развития. Со времени первой работы Лей-монта Коула (9) об эволюции жизненного цикла писали много (хорошие обзоры принадлежат Стирнсу (37, 38)).
Здесь в качестве иллюстрации мы рассмотрим количество ресурсов, затрачиваемых родительской особью на продуцирование гамет, и продолжительность пострепродуктивного периода ее жизни. То обстоятельство, что не все организмы бурно размножаются один раз в жизни, заставляет думать, что размножение сопряжено с большими затратами ресурсов. В противном случае приспособленность в неодарвинистском смысле была бы всегда максимизирована путем максимально возможного репродуктивного выхода, а следовательно, путем затраты максимального количества ресурсов на образование гамет. Принято считать, что, чем больше ресурсов данная родительская особь вкладывает в размножение, тем меньше их у нее остается для того, чтобы обеспечить защиту собственного организма от несчастных случаев, болезней и хищников, так что эти расходы можно оценивать в терминах выживаемости родительских особей. В результате с увеличением вклада в репродукцию шансы родителей на выживание в пострепродуктивный период снижаются; здесь мы используем фишеровскую меру приспособленности, то есть г (см. разд. 2.3.2), в сочетании с упрощенным вариантом принципа оптимальности, с тем чтобы исследовать, какого рода компромисс возможен между этими переменными.
Значение приспособленности г можно записать как
где It — выживаемость с момента рождения до времени t, a nt — число потомков, произведенных ко времени t (простой вывод этого уравнения см. у Уилсона и Боссерта (45)). В простейшем случае, когда размножение происходит один раз в год (t=1), плодовитость (п) зависит от возраста и родительские особи выживают после размножения, уравнение 3.1 принимает вид
где 1а и // — соответственно выживаемость взрослых особей и потомков, а п— число потомков на одну родительскую особь. Отсюда
Таким образом, из уравнения 6.6 мы видим, что если построить график зависимости 1а от п, то изоклины равных г будут иметь вид прямых с наклоном, равным — l1 (рис. 3.3.).
Рис. 3.3. На графике зависимости 1а от п изоклины т представляют собой прямые линии с отрицательными наклонами //. По мере увеличения выживаемости потомков наклон возрастает. В принципе приспособленность, то есть г, возрастает с увеличением la и п.
Однако вследствие компромисса между выживаемостью родительских особей и размножением не все комбинации 1а с п реально осуществимы. Можно представить себе некоторое число распределений реально возможных величин; одно из них показано на рис. 3.4. Здесь выживаемость взрослых особей снижается все быстрее, по мере того как все больше ресурсов вкладывается в размножение, то есть производится все больше гамет.
С помощью этих распределений нетрудно найти оптимальное решение: это та реально осуществимая комбинация 1а и п, которая лежит на самой высокой r-изоклине, то есть максимизирует г, или приспособленность. Для «компромиссной кривой», изображенной на рис. 3.4, этот оптимум приходится на крайнюю правую часть кривой; в этом случае отбор благоприятствует высокому уровню репродукции за счет родительской особи. Такой тип размножения называют семелопарией — родительская особь дает потомство один раз, после чего гибнет подобно лососю.
Рис. 3.4. Возможная форма истинной зависимости между 1а и п. А. Выживаемость потомков (//) низкая, "и поэтому отбор благоприятствует небольшому п (оптимум помечен звездочкой) при продолжительном выживании взрослых особей (высокое 1а). Значение // высокое, и поэтому отбор благоприятствует высокому п при низком 1а. Ситуация А ведет к итеропарии, а ситуация Б — к семелопарии (см. текст).
При альтернативном типе размножения, когда достигается некий компромисс между п и 1а, отбор благоприятствует многократному размножению, или итеропарии.
Перейдем теперь к предсказанию. С уменьшением шансов потомков на выживание (то есть с уменьшением /у) наклон г-изо-клин уменьшается и отбор благоприятствует итеропарии. При возрастании // справедливо обратное. (Точный результат зависит от формы «компромиссной» кривой, однако мы продолжаем допускать, что применима только кривая, изображенная на рис. 3.4.) Для того чтобы проверить это предсказание, нам необходимо найти популяции либо того же самого, либо других, но близкородственных видов с различными значениями //. На самом деле точных данных о возрастной специфичности выживаемости для популяций, находящихся в природных условиях, удивительно мало, однако имеются некоторые более или менее эпизодические данные, в общем подтверждающие эти предсказания. Например, пресноводные планарии (трехветвистокишечные тур-беллярии), вылупляясь из яиц, в природе попадают в плохие трофические условия, и, как показали наблюдения (6), молодые особи семелопарических видов гибнут не так быстро, как молодь итеропарических видов, голодающих в лабораторных условиях. Блауэр (3) описал семелопарические и итеропарические виды многоножек фауны Британских островов: число потомков на одну родительскую особь у первых было больше, чем у вторых. Семелопарические виды питаются листьями, которые равномерно покрывают землю в лесу, тогда как итеропарические виды более специализированы, и по крайней мере один из них питается и откладывает яйца на поваленных деревьях, которые разбросаны по лесу неравномерно. Расселение молоди по этим пятнисто распределенным ресурсам носит случайный характер, а поэтому значение // у этого вида ниже, чем у видов, питающихся листьями. Вероятно, по тем же причинам итеропарические виды с непрерывным или полунепрерывным размножением возникли у эндопаразитов, но в этом случае, поскольку родительская особь окружена сверхобильными пищевыми ресурсами — в виде тканей своего хозяина, — она может производить огромное число потомков и не должна расплачиваться за это сокращением продолжительности жизни, о котором говорилось выше.
3.4.2. Приложение теории игр к поведению животных.
Другого рода ограничение, налагаемое на действия особей, направленные на то, чтобы максимизировать приспособленность, связано с активностью других особей, принадлежащих к той же популяции. Можно представить себе, что организмы или по крайней мере признаки, которыми они обладают, как бы играют друг с другом в игры, причем ставка в этих играх—само существование организмов; определить оптимальные стратегии в этих играх может помочь теория игр — один из разделов теории оптимального управления. Используя такой подход, Мэйнард Смит (26) дал определение эволюционно стабильных стратегий (ЭСС) как тех стратегий в эволюционной игре, которые исключают возможность поражения, то есть признаки или сочетания признаков, которые не могут быть вытеснены каким-либо отдельным мутантом. Теория ЭСС оказалась очень полезной для анализа поведения животных.
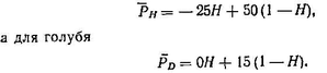
Наиболее наглядное представление о «поведенческой игре» можно получить, рассмотрев агрессивные взаимодействия между игроками. Возьмем в качестве примера такую игру, в которой возможны только две стратегии (генетически детерминированные наборы признаков, от которых зависит определенный тип поведения, то есть тактика в поведенческой игре) — стратегия ястреба и стратегия голубя. Ястребы всегда дерутся, стремясь поранить и убить своих противников, даже если сами рискуют получить при этом серьезные повреждения, а голуби только разыгрывают агрессивное поведение и никогда не вступают в драку. Какая же стратегия окажется оптимальной? Этот вопрос был досконально изучен Мэйнардом Смитом (27). Допустим, что мы можем численно оценить воздействие данной стратегии на приспособленность и примем для определенности, что эта оценка равна +50 для победителя и 0 для побежденного. Пусть цена времени, затраченного на демонстрацию агрессивного поведения, равна —10, а цена полученного повреждения —100. Если ястреб встречается с ястребом, то в одной половине случаев он, вероятно, окажется победителем, а в другой — будет побежден и получит повреждения, так что в целом плата составит 0,5(50) + + 0,5(—100) =—25. При встрече ястреба с голубем ястреб всегда побеждает, и его плата равна +50; голубь проигрывает, т. е его плата равна 0. Когда голубь встречается с голубем, то оба они демонстрируют агрессивное поведение и каждый из них побеждает в одной половине случаев и оказывается побежденным:—в другой/ Следовательно, плата составит при этом 0,5(50—10)+0,5(—10) == + 15. Эти вычисления можно суммировать в виде следующей матрицы плат (в которой представлены средние платы на одного нападающего):
| Нападающий / Противник | Ястреб | Голубь |
| Ястреб | —25 | +50 |
| Голубь | 0 | +15 |
Какого рода система поведения возникнет в процессе эволюции? В популяции, состоящей из одних голубей (средняя плата — + 15), любые вторгающиеся в нее мутанты-ястребы будут действовать весьма успешно: их плата при каждой встрече с голубем будет равна +50. Следовательно, стратегия голубя не может быть ЭСС. Ястребы распространятся и возьмут верх в популяции, однако при этом средняя плата от каждой встречи превратится в —25 и мутант-голубь окажется в весьма благоприятном положении, поскольку, хотя при каждой встрече с ястребом плата будет равна 0, это все же лучше, чем —25. Следовательно, стратегия ястреба тоже не является ЭСС.
Интуитивно представляется, что стабильной должна быть смешанная стратегия. Пусть Я— доля ястребов в популяции, а 1 —Н — доля голубей. Средняя плата (Ря) для ястреба равна плате для встречи каждого типа, умноженной на
вероятность встретить каждого из противников:
Из этого уравнения можно найти Я, приняв Р0 = Рн (что соответствует ЭСС); отсюда Я=7/12, а 1—Я=5/12. Это стабильное состояние может быть достигнуто при условии, что: 1) каждая особь в данной популяции неизменно придерживается либо стратегии ястреба, либо стратегии голубя, а популяция состоит на 7/12 из ястребов и на 5/12 из голубей; 2) каждая особь выступает в роли как ястреба, так и голубя (смешанная стратегия) с вероятностью 7/12 в первой и с вероятностью 5/12 во второй роли при каждом конфликте.
Игра «ястреб—голубь» иллюстрирует применение теории ЭСС на примере простой и возможно нереалистичной ситуации. Так, по-видимому, лишь в редких случаях «поведенческие игры» состоят всего из двух резко различающихся тактик. Кроме того, приписывать определенное число очков отдельным исходам игры, хотя в принципе это и не сложно, крайне трудно на практике и нередко бывает связано с необходимостью создания сложных вспомогательных гипотез. Тем не менее теория ЭСС широко используется в экологии поведения и оказывает значительную помощь в изучении сложных «поведенческих игр» (23). Мы вернемся к ней в разд. 3.7.
3.5. Изменчивость в природных популяциях; ее значение для адаптации.
Изменчивость вносится в популяцию в результате мутационного процесса (или иммиграции). С возникновением изменчивости общий набор генотипов может значительно увеличиться в результате рекомбинации (некоторые авторы считают это главным преимуществом полового размножения по сравнению с бесполым; см. разд. 3.7), но эта генетическая изменчивость полностью ограничена изменчивостью аллелей, которые могут участвовать в рекомбинации. Дарвин считал, что естественный отбор ограничивает эту изменчивость до уровня адаптивного подмножества, а основная теорема Фишера также подразумевает эволюцию, ведущую от большей изменчивости к меньшей. Исходя из этого, следует ожидать, что популяции эволюционируют в направлении гомозиготного дикого типа и мало отклоняются от этого адаптивного оптимума. Между тем в природных популяциях существует значительная изменчивость, то есть генетический полиморфизм, и экогенетики потратили немало времени и усилий, чтобы собрать соответствующие фактические данные.
Существуют две главные группы доказательств генетического полиморфизма.
1. Прямое наблюдение полиморфизма по признакам, генетическая детерминированность которых известна (например, меланизм у бабочек, характер полос и цвет раковины у улиток, хромосомные аберрации у дрозофилы, группы крови у человека). 2. Данные о структуре ферментов, полученные методом электрофореза. Замещения отдельных аминокислот в молекуле фермента могут изменить ее суммарный заряд в достаточной степени, чтобы изменить скорость перемещения молекулы в электрическом поле. Это позволяет сравнивать сходные молекулы, выделенные из разных особей, и оценивать их изменчивость.
Поскольку замещения в молекуле аминокислоты отражают замещения в молекуле нуклеиновой кислоты, они могут служить показателем генетической изменчивости. Этот метод и его объяснение иллюстрирует рис. 3.5. В табл. 3.3 приведены данные о полиморфизме и гетерозиготности у ряда видов, полученные методом электрофореза.
Рис. 3.5. Горизонтальный гель-электрофорез. Пластмассовую пластинку с гелем помещают в сосуд, содержащий соответствующий буфер. Го-могенаты вносят в лунки, сделанные в геле, и пропускают через него электрический ток, под действием которого находящиеся в лунках белки мигрируют на определенные расстояния, зависящие от их аминокислотного состава (см. текст). Затем, используя специфичные красители, можно выявить определенные белки. Одни и те же белки, выделенные из разных животных, могут слегка различаться по аминокислотному составу и поэтому мигрируют на разные расстояния (36).
Таблица 3.3. Доля локусов, в которых наблюдалась изменчивость по ферментам, и доля локусов, в которых была обнаружена гетерозиготность (по данным Шоррокса (36)).
| Вид | Число популяций | Число локусов | Доля полиморфных локусов | Гетерози-готность на 1 локус |
| Человек | 1 | 71 | 0,28 | 0,067 |
| Мышь | 4 | 41 | 0,29 | 0,091 |
| Гольян | 1 | 24 | 0,25 | 0,068 |
| Морская звезда (Nearch-aster aciculosus) | 2 | 24 | 0,71 | 0,213 |
| Мечехвост (Limulus poly phemus) | 4 | 25 | 0,25 | 0,061 |
| Drosophila pseudoobscura | 10 | 24 | 0,43 | 0,128 |
| Drosophila willistoni | 10 | 20 | 0,81 | 0,175 |
Как результаты наблюдений, так и электрофоретические данные позволяют считать, что в популяциях существует значительный полиморфизм и что он, по-видимому, относительно стабилен. Но и классический дарвинизм, и неодарвинизм предсказывают разрушение изменчивости, и в связи с этим между теоретической популяционной генетикой и экогенетикой возникло некоторое напряжение. Существует две возможности справиться с этим парадоксом.
1. Балансовая теория утверждает, что естественный отбор может стабилизировать изменчивость, если существуют гетерозиготность и расщепление генов (Дарвин, придерживавшийся теории слитной наследственности, не мог этого предвидеть). Так называемый уравновешивающий отбор может быть обусловлен: а) преимуществом гетерозигот — гетерозигота, обладающая превосходством (WAA < WAa > Waa), будет, по определению, способствовать сохранению гомозигот; б) отбором, зависящим от частоты; в этом случае приспособленность является функцией частоты генов, так что по мере возрастания частоты данного гена его приспособленность снижается и отбор начинает благоприятствовать другому гену до тех пор, пока частота последнего не возрастет и не произойдет обратное. Такая ситуация может быть создана хищником, всегда выедающим особей с более обычными генотипами. Подобное же действие может оказать выбор брачного партнера; так, например, самки дрозофилы, если им предоставляется возможность выбирать брачного партнера, чаще, по-видимому, спариваются с самцами, обладающими редкими признаками; в) изменениями в давлении отбора в пространстве (различным генотипам благоприятствуют условия в разных частях местообитания, как это показано на рис. 3.6) и во времени (например, циклические изменения метеорологических условий, благоприятствуют одному генотипу в одно время года и другому — в другое).
Рис. 3.6. Как известно, полиморфизм по окраске раковины у наземной улитки Cepaea nemoralis вызывается изменением давления отбора в разных местообитаниях. Этих моллюсков поедают дрозды, которые находят их, пользуясь зрением. Светлые полосатые раковины трудно заметить среди низкой растительности (трава R и зеленые изгороди Я). В темном лесу (W) труднее всего увидеть раковины без полос, с однородной темной окраской. (Luria et al., A. View of Life, Benjamin Publ. Co., 1981. Классическое оригинальное исследование полосатости раковины у Сераеа .принадлежит Кейну и Шеппарду (4).)
2. Согласно неоклассической теории, отбор либо имеет место, и тогда он является направляющим, либо он отсутствует, и тогда аллели селективно нейтральны. Предполагается, что полиморфизм по белкам в большинстве случаев "относится к последнему типу. Известно, например, что в молекуле белка лишь относительно небольшая часть имеет существенное значение для его функции, а остальная служит «наполнителем». Замещения аминокислот в этом наполнителе не влияют на функцию белка, но изменяют заряд молекулы.
Разногласия в этих вопросах все еще существуют. Частично проблема заключается в нашей неспособности доказать негативное утверждение: если мы неспособны продемонстрировать наличие отбора, это не означает, что о« отсутствует. Ведь найдено же адаптивное объяснение для изменчивости белков в. .случаях,, в которых, как прежде считалось, она отсутствует. Доказано, например, что изменчивость фермента алкогольдёгидроге-назы у Drosophila melanogaster оказывает влияние на каталитическую активность, устойчивость к нагреванию, субстратную специфичность и удельную активность этого фермента. Поэтому возможность равновесия, обусловленного пространственной: или временной изменчивостью, например, температуры или наличия подходящего субстрата, представляется достаточно реальной. Вместе с тем обнаружение нескольких случаев, связанных с уравновешивающим отбором, нельзя считать доказательством его всеобщности. Для решения этой проблемы необходимо провести подробное исследование на большом числе локусов с учетом как экологических, так и генетических факторов.
3.6. Адаптации на благо группы и адаптации групп.
До сих пор теория неодарвинизма развивалась на основе допущения, что частота того или иного гена возрастает, если он детерминирует признак, который повышает выживаемость и (или) репродукцию его обладателя. Между тем у животных можно найти много примеров такого поведения, которое, очевидно, не способствует выживанию проявляющих его особей. Например, у общественных насекомых некоторые касты лишены способности к размножению, с тем чтобы они могли более эффективно участвовать в различных работах в улье. Рабочая пчела защищает свой улей, убивая вторгшегося в него чужака, даже если погибает при этом сама. Как могло возникнуть в процессе эволюции такое альтруистическое поведение?
Решить этот вопрос удалось после того, как в наших представлениях о приспособленности был достигнут существенный прогресс благодаря работам У. Д. Гамильтона (19). Его рассуждения основаны на том, что родственные особи несут сходные гены, причем сходство между генами тем больше, чем теснее родство. Поэтому если какой-либо признак может повысить выживаемость других особей, обладающих этим же самым признаком, то это может привести к повышению частоты гена, детерминирующего этот признак, даже если данный носитель признака при этом погибнет. Проявления подобного рода альтруизма, вероятно, выше между особями, связанными близким родством, и соответствующий процесс получил название К-отбора (от англ, kin — родство).
Вклад Гамильтона (19) в развитие этой проблемы состоял в том, что он формализовал эти рассуждения и сделал их более строгими. Допустим, что некий альтруистический признак детерминируется одной парой аллелей, А к а, причем аллель А повышает вероятность альтруистического акта у несущей его особи, например делает более вероятным, что эта особь, рискуя собственной жизнью, будет спасать молодых особей, отвлекая на себя внимание хищника. Совершая этот акт, взрослая особь снижает свои шансы на выживание на величину С и повышает соответствующие шансы молодых особей на величину В. Гамильтон показал, что частота в популяции аллеля А по отношению к аллелю а будет возрастать только в том случае, если родство (rl) между донором и реципиентом (выигрывающим от альтруистического акта) достаточно близкое; выражаясь точнее, rl должно быть больше чем С/В.
Например, в случае родители—потомки вероятность того, что любой из генов, имеющихся у одной из родительских особей, окажется у ее потомка, равна 0,5, поскольку потомок наследует гены от обеих родительских особей. Следовательно, rl= = 0,5, и в соответствии с утверждением Гамильтона альтруистический признак сможет спасти более чем двух потомков, прежде чем частота аллеля А повысится относительно частоты аллеля а. В действительности величины rl выражают вероятность того, что организмы, связанные друг с другом определенными родственными отношениями, будут нести одни и те же гены, а тем самым — вероятность того, что реципиент получит гены, определяющие альтруистический признак (несколько других примеров приведено в табл. 3.4). При альтруистических взаимоотношениях между соответствующими родичами с уменьшением rl действия донора должны приносить пользу все большему и большему числу реципиентов; иначе гены альтруизма распространяться не будут. Следовательно, вероятность сотрудничества выше между близкородственными особями.
Идеи Гамильтона помогают понять даже некоторые аспекты организации сообщества у перепончатокрылых. У этих насекомых самки развиваются из оплодотворенных яиц и поэтому
Таблица 3.4. Коэффициенты родства (rl) между особями при разной степени родства.
| Родител и / потомки | 0,5 |
| Бабки-деды /вн уки | 0,25 |
| Полные сибсы | 0,5 |
| Полусибсы | 0,25 |
| Дядя/племянник | 0,125 |
| Двоюродные сибсы | 0,125 |
диплоидны, но самцы развиваются из неоплодотворенных яиц и поэтому гашгоидны. В популяции, в которой особи обоих полов диплоидны, коэффициент родства между сибсами такой же, как между одной из родительских особей и ее потомком (г/ = 0,5; см. табл. 3.4). Однако у самки перепончатокрылых в результате гапло-диплоидии больше общих генов с родной сестрой, чем с собственными дочерьми; то есть генотипы сестер идентичны по всем генам, которые они получают от своих отцов (у него всего один набор), и в среднем по половине генов, которые они получают от своих матерей. Поэтому коэффициент родства между родными сестрами у перепончатокрылых равен не 0,5; а (0,5) X Х(1) + (0,5) (0,5)— 0,75. Таким образом, в этом случае дочерям следует помогать своим матерям охранять яйца и снабжать кормом молодь, а не производить собственных потомков, так что генетическая композиция перепончатокрылых предрасполагает их к развитию такого сообщества, в котором стерильные рабочие самки заботятся о своих родных сибсах. Из всего этого вытекают и дальнейшие следствия, для ознакомления с которыми мы отсылаем читателя к работе Гамильтона (20). Сравнительно недавно идеи Гамильтона были использованы в изучении общественной жизни высших организмов — птиц, млекопитающих и даже человека (см. (44); критические замечания см. (35)).
К-отбор не может автоматически вести к закреплению признаков, полезных для данного вида (то есть обеспечивающих ему длительное существование; см. разд. 2.4); он ведет лишь к признакам, полезным для родичей. Тем не менее можно представить себе способы эволюции таких признаков «на благо вида» путем отбора самих групп, а не особей внутри этих групп. Представим себе две полуизолированные популяции какого-либо вида хищников. В одной из них возникает мутация, порождающая «сверххищника», который обнаруживает и схватывает жертву более эффективно, чем другие особи. Частота такого мутанта в популяции должна возрастать, несмотря на то, что это приведет к вымиранию жертвы, а в конечном счете и самого хищника. В другой популяции такая мутация не возникла, так что она продолжает существовать и в конце концов может захватить пространство, которое занимала вымершая популяция. Аналогичный результат получится в том случае, если от популяции «сверххищников» отделится субпопуляция, не содержащая гена «сверххищника», например, вследствие эффекта основателя.
Можно привести и несколько иной пример: представим себе снова две субпопуляции, но состоящие на этот раз из бессмертных особей. В одной из них появляется мутация, вызывающая старение, и это оказывается выгодным для данной группы, потому что ограничивает ее численность, «очищает» от изношенных особей и увеличивает простор для благоприятных мутаций. Группа, в которой возникло старение, сохраняется дольше другой группы. Этот пример отличается от примера со сверххищниками, потому что он связан с эволюцией признака, положительного для группы, — старения, а не отрицательного — «быть сверххищником». Труднее представить себе, как это может реализоваться. Как, например, ген старения может закрепиться в субпопуляции? Для закрепления такого гена необходимы либо повторные мутации, либо дрейф, либо эффект основателя, поскольку он не может закрепиться при помощи отбора: бессмертные особи оставляют больше потомков, чем смертные, так что ген, обусловливающий старение, будет элиминироваться.
Какие существуют данные за и против группового отбора?
1. Возможен ли групповой отбор? Для того чтобы групповой отбор был реально возможен, скорость вымирания групп и (или) скорость образования новых групп (не имеющих эгоистичного гена или имеющих альтруистический ген) должна быть выше скорости поступления эгоистичных генов в результате либо мутационного процесса, либо, что более важно, обмена генами между подгруппами. По мнению одних биологов, это слишком жесткое требование, чтобы групповой отбор мог быть обычным явлением (например, (24), тогда как другие этого не считают (например, (17, 43)).
2. Происходит ли групповой отбор? Располагаем ли мы данными о существовании признаков, важных для сохранения группы, но нестабильных при индивидуальном отборе? Один из таких возможных признаков — это старение, и оно широко распространено. Однако его можно объяснить также, как плейот-ропный эффект благоприятных генов, которые отбирались обычным образом (см. разд. 3.2). Другой возможный пример — способность популяций регулировать свою численность, поддерживая ее на таком уровне, чтобы не допускать чрезмерного изъятия ресурсов. Винн-Эдвардс в своей знаменитой книге «Расселение животных и его зависимость от социального поведения» (Wynne-Edwards, Animal Dispersion in Relation to Social Behaviour, Oliver a. Boyd, 1962) привел многочисленные примеры такого рода явлений. Однако при более тщательном изучении то, что представляется такой саморегуляцией, на самом деле часто можно объяснить как результат зависящей и не зависящей от плотности регуляции, обусловленной внешними факторами — хищниками, погодой и даже самими ресурсами. Многие другие групповые признаки оказалось возможным объяснить К-отбором.
Данные, свидетельствующие за и против группового отбора, неубедительны, и поэтому данная проблема продолжает вызывать разногласия. Представляется вероятным, что в некоторых системах может происходить и действительно происходит групповой отбор, но вопрос о его относительной частоте по сравнению с индивидуальным отбором остается открытым. Возможно также, что существует групповой отбор сходного типа, действующий, однако, не во внутривидовых группах, а на уровне вида в целом (см. гл. 5).
3.7. Адаптации самого полового размножения как такового и порожденные им адаптации.
Половое размножение большинства высших организмов характеризуется следующими важнейшими чертами: 1) продуцирование гамет в результате мейоза; 2) рекомбинация элементов генома путем кроссинговера (см. разд. 2.1.2); 3) случайное распределение гомологичных хромосом по всем продуктам мейоза (см. разд. 2.1.1); 4) создание новых особей в результате сингамии (слияние двух гамет, обычно от двух отдельных особей). Благодаря этим процессам половое размножение может порождать значительные геномные различия между родительскими особями и их потомками даже в отсутствие мутационного процесса. Этот способ размножения широко распространен, встречается по всему животному миру и, вероятно, возник очень давно.
Существуют также и другие способы размножения, в которых участвуют одна родительская особь и гаметы одного типа. Эти способы известны под общим названием партеногенеза. Известно несколько различных типов партеногенеза. При арре-нотокии самцы развиваются из неоплодотворенных яиц, как у некоторых перепончатокрылых, у которых самцы гаплоидны, а самки диплоидны. При телитокии самки развиваются из неоплодотворенных яиц, которые образуются либо в результате митоза (мейоз подавлен) — процесс, известный под названием апомик-сиса, либо в результате модифицированного мейоза, при котором диплоидность восстанавливается после деления путем слияния гаплоидных ядер (аутомиксис). При апомиксисе единственным источником изменчивости служит мутационный процесс, так что потомки неизменно бывают похожи на родительских особей. При аутомиксисе изменчивость может возникать в результате кроссинговера, однако постмейотическое слияние ядер повышает гомозиготность, а поскольку при этом возрастают шансы на экспрессию вредных генов, которые обычно бывают рецессивны, то он встречается редко. Поэтому мы сосредоточим внимание на апомиктическом партеногенезе, имеющем более широкое распространение. Следует также отметить, что у некоторых видов телитокия сочетается с половым размножением (например, чередование полового и партеногенетического размножения у коловраток и тлей, связанное с различными внешними условиями). Отметим также, что используемая в этой области терминология часто создает путаницу, так как ботаники и зоологи пользуются разными системами терминов. Приведенной выше терминологии придерживаются зоологи; с другими терминами можно ознакомиться у Мэйнарда Смита (28).
Самый обычный и широко распространенный способ размножения—это, безусловно, половое размножение, и все же в смысле продуцирования потомков наиболее эффективен, по-видимому, партеногенез. Рассмотрим, например, двух самок, сходных физиологически, но одна из которых несет мутацию, ведущую к апомиксису. Обе самки продуцируют за счет пищи, которую они съедают, равное число яиц, но из всех яиц партеноге-нетической самки развиваются тоже самки, которые тоже будут размножаться партеногенетически, а среди потомков половой самки самок только половина, а остальные — самцы. В принципе, таким образом, система полового размножения терпит 50% убытка (так называемая плата за пол) по сравнению с парте-ногенетической в смысле продуктивности, а поэтому партеногенез должен распространяться в популяции за счет полового размножения. Следовательно, половое размножение не является ЭСС (см. разд. 3.4.2) и его широкое распространение нуждается в объяснении.
Имеется ряд потенциально возможных объяснений этой загадки, которые были рассмотрены Уильямсом (42), Мэйнардом Смитом (28) и Беллом (2). Их можно грубо разделить на зависящие от группового отбора и не зависящие от него.
1. Объяснения, основанные на «благе для группы». Как уже говорилось, половое размножение порождает разнообразие внутри популяций. Кроме того, в результате расщепления оно создает возможность для отделения благоприятных мутантов от определенных генных комплексов, так что они могут распространиться по всей популяции, а также для отделения благоприятных генных комплексов от неблагоприятных мутантов. Партеногенез, однако, ограничивает разнообразие (при апомик-сисе оно зависит от возникновения мутаций, что происходит редко; см. разд. 2.3.2), препятствует распространению благоприятных мутаций (поскольку мутации заключены в определенных генных комплексах и могут распространяться только в отдельных клонах) и означает, что неблагоприятные мутации, будучи заключены в геномах, будут накапливаться в популяциях, поскольку они появляются в одном клоне за другим. Последний механизм был назван «храповиком Мёллера», который впервые высказал эту идею (32). Таким образом, популяции, размножающиеся половым путем, должны сохраняться дольше чем партено-генетические популяции.
2. Неодарвинистские объяснения. Здесь в центре внимания находятся воздействия полового размножения на гены, которые его кодируют, и на организмы, которые им обладают. Следует ожидать, что потомки половых родителей будут отличаться большим разнообразием, чем потомки партеногенетических родителей. Поэтому, хотя партеногенетические родители могут быть более плодовитыми, чем половые, у них по сравнению с последними меньше шансов процветать и выжить, если среда, в которой они появились на свет, изменчива в пространстве и (или) во времени по своим физико-химическим и (или) биологическим условиям. Таким бразом, эти различия в выживаемости могут сдвинуть равновесие в пользу полового размножения. Объяснения сторонников группового отбора страдают теми же недостатками, что и объяснения, уже обсуждавшиеся в разд. 3.6. В свою очередь сторонникам неодарвинистских объяснений еще надлежит убедительно доказать, что в реальных средах создания изменчивости достаточно для того, чтобы оплатить расходы, связанные с половым размножением. К сожалению, результаты имеющихся наблюдений довольно бессвязны и создают путаницу, а выработать критерии, которые позволили бы сделать решительный выбор между многочисленными конкурирующими гипотезами, пока не удалось (2). Поэтому дискуссия продолжается.
Однако, каким бы ни был исход дискуссии, не вызывает сомнений, что эволюция полового размножения оказала глубокое и далекоидущее воздействие на сами эволюционные процессы. Некоторые из наиболее важных эффектов приведены ниже.
1. Эволюция генетических систем. Существование полового размножения имеет важные последствия для генетических механизмов. Самое главное из них состоит в том, что гены (или группы сцепленных генов) представляют собой более важные единицы отбора, чем целые геномы, так как последние — недолговечные единицы, разбивающиеся на части при мейозе и смешивающиеся при сингамии. Вызывающие это механизмы и такие связанные с ними явления, как диплоидность и доминирование, сами служат объектами отбора, и поэтому для них напрашивается адаптационистское объяснение. Например, дипло-идность и доминирование создают, возможно, некоторую защиту от вторжения гибельных мутаций, а поэтому следует ожидать, что гены, контролирующие соответствующие признаки, будут распространяться в популяциях. В связи с этим Фишер (15) высказал мнение, что существующий в популяции уровень доминирования эволюционировал путем включения генов-модификаторов. Так, модифицирующий аллель М благоприятен, если под его влиянием аллель А, находящийся в другом локусе, становится доминирующим над вредными мутантами (например, А1). Таким образом, между аллелями А и М существует эписта-тическое взаимодействие (см. разд. 2.1.2). Однако при подобной интерпретации возникает ряд затруднений (обзор см. (39)). Например, аллель М будет иметь лишь очень небольшое преимущество, так как он будет оказывать действие только в сочетании с гетерозиготами АЛ1, а это вначале будет редким. Поскольку М, скорее всего, обладает и другими физиологическими эффектами, а не только модифицирует доминирование, эволюция в этом локусе будет определяться главным образом этими другими эффектами. Однако, как мы увидим в дальнейшем (см. разд. 4.3), доминирование не обязательно должно было возникнуть в процессе эволюции специально для того, чтобы подавлять эффекты мутаций, но может быть проявлением некой неспецифичной способности сопротивляться любым изменениям в характере развития независимо от того, вызываются ли они генетическими факторами или факторами среды. Такого рода проблемы возникали постоянно с тех самых пор, как в 30-х годах были впервые опубликованы книги Фишера (15) и Дарлингтона (С. D. Darlington, The Evolution of Genetic Systems, Oliver a. Boyd, 1939). Оказалось, однако, что эти проблемы на редкость плохо поддаются строгому анализу и экспериментальному исследованию. Связи между причиной адаптации и эволюционными эффектами переплетаются здесь так тесно, что их иногда трудно распознать, не говоря уже о том, чтобы попытаться разобраться в тех или других по отдельности. Тем не менее это важная и развивающаяся область, и Белл (2) назвал ее мета-генетикой.
2. Эволюция гамет. Первоначально все продукты мейоза в данной популяции были, вероятно, одного размера (изогамия), как у многих ныне живущих одноклеточных организмов. Однако увеличение размера гамет, вероятно, давало известное преимущество, потому что развивающаяся зигота получала при этом больше ресурсов и ее шансы на выживание возрастали. Вместе с тем мелкие размеры также обладают преимуществом, позволяя из того же количества ресурсов получить больше гамет. При наличии отбора, направленного на продуцирование крупных гамет, немедленно возникает отбор, направленный на то, чтобы мелкие гаметы находили их и сливались с ними, потому что таким образом гены, содержащиеся в маленькой гамете, приобретают возможность воспользоваться ресурсами, запасенными в большой гамете. Можно представить себе также отбор, направленный на создан.ие у крупных гамет способности противостоять оплодотворению мелкими гаметами, с тем чтобы, соединяясь с крупными гаметами, они производили еще более крупные зиготы. Однако доход в смысле повышения выживаемости, который дает увеличение размера зиготы, по-видимому, подчиняется закону тенденции нормы прибыли к уменьшению, то есть по мере увеличения зиготы жизнеспособность возрастает все меньше и меньше. Поэтому гены, определяющие большие размеры гамет, не могут выдержать натиска генов, определяющих малые размеры, которые к тому же ведут себя «нечестно» (пользуются благами, предоставляемыми им их более крупными партнерами, но не платят за это). Вместе с тем мелкие гаметы не могут устоять против инвазии мутантов вследствие низкой выживаемости мелких зигот. Это рассуждение можно сделать строгим (2, 33) и предсказать, что эволюционно стабильной стратегии соответствует анизогамия, то есть мелкие (мужские) и крупные (женские) гаметы. Как правило, и в царстве растений, и в царстве животных наблюдается именно анизогамия, лежащая в основе всех других различий между полами.
3. Эволюция соотношения полов. Теперь, после того как мы показали, как могло возникнуть разделение популяции на самцов (продуценты мелких гамет) и самок (продуценты крупных гамет), можно задать вопрос: каких соотношений между двумя полами следует ожидать в популяциях? Ответ нам известен — обычно соотношение их составляет 1:1, но если продуценты мелких гамет могут производить на единицу ресурсов больше гамет, чем продуценты крупных гамет, то почему соотношение полов не смещено в пользу самок?
Одно из решений этой задачи может быть найдено с позиций ЭСС, и основы его были заложены еще Фишером (15). Допустим, что в некой популяции на каждого самца приходится по 100 самок и что репродуктивная эффективность каждого самца в 100 раз выше ожидаемой репродуктивной эффективности самки. В таком случае родительская особь, все потомки fi которой мужского пола, оставит в 100 раз больше потомков F2, чем особь, все потомки fj которой были бы женского пола. Поэтому сдвиг соотношения в пользу «дочерей» не представляет собой ЭСС; в точности то же самое можно сказать и о сдвиге его в пользу «сыновей». Только в том случае, если соотношение полов равно 1:1, ожидаемая эффективность для «сыновей» и «дочерей» будет одинакова. Следовательно, такое соотношение и соответствует ЭСС.
В сущности, это предполагает, что продуцирование «сыновей» и «дочерей» обходится примерно одинаково. Допустим, например, что продуцирование «сыновей» обходится дороже (скажем, вдвое), потому что они крупнее «дочерей». При соотношении полов 1 : 1 «сын» производит столько же потомков, сколько «дочь», но, поскольку «сыновья» обходятся дороже, это невыгодное предприятие, так как при этом снижается общее число потомков, которое может оставить одна родительская особь. Поэтому родительским особям выгодно затрачивать свои ресурсы на продуцирование «дочерей». В результате возникает известный перекос в пользу самок, однако по мере его возрастания ожидаемый репродуктивный успех «сыновей» повышается. Равновесие достигается в том случае, если родительские особи вкладывают равное количество ресурсов в продуцирование потомков того и другого пола, а не тогда, когда они производят их в равном числе. Поэтому в тех случаях, когда затраты на продуцирование самок и самцов различаются, следует ожидать отклонения от соотношения полов 1:1. Меткаф (30) обнаружил, что у Pollster metrlcus (перепончатокрылые), у которого самки имеют мелкие, а самцы — крупные размеры, соотношение полов сдвинуто в пользу самок, тогда как у близкородственного вида P. variatus самцы и самки имеют одинаковые размеры и соотношение между ними составляет 1:1. Следует напомнить, однако, что у перепончатокрылых самки могут регулировать пол своих потомков (см. разд. 3.6). У большинства видов соотношение полов определяется половыми хромосомами, и, по всей вероятности, механизм мейоза будет удерживать это соотношение на уровне 1 : 1 даже при наличии полового диморфизма по общим размерам. Таким образом, в этом случае генетические сдерживающие механизмы перевешивают другие силы отбора (см., однако, Т. Н. Glutton-Brock, Nature, 298, 11—13, 1982).
4. Половой отбор. Поскольку самцы продуцируют более мелкие, а поэтому более многочисленные гаметы, чем самки, и поскольку соотношение полов в норме составляет 1:1, между самцами часто наблюдается конкуренция за самок. Давление отбора, направленное на повышение способности самцов «добыть» себе самку, очень сильное, так как плата за поражение очень высока. Такого рода отбор известен под названием полового отбора и был впервые описан Чарлзом Дарвином. Он может действовать, благоприятствуя способности одного пола (обычно, но не всегда мужского) непосредственно конкурировать за обладание другим полом и(или) способности одного пола привлекать другой. Примеры можно найти у Кребса и Девиса (23). Эти авторы указывают, что интенсивность полового отбора зависит от степени конкуренции за брачных партнеров, которая в свою очередь зависит от: а) величины вклада обоих видов в создание потомков (то есть чем меньший вклад вносит один пол в потомков, тем сильнее конкуренция между представителями этого пола за брачных партнеров; обычно это означает, что самцы конкурируют за самок, однако не всегда, как показывает пример колюшки); б) отношения самцов к самкам, одновременно доступным для спаривания (если число последних уменьшается, например, вследствие несинхронного размножения, то конкуренция усиливается).
Аспект полового отбора, который особенно заинтересовал Дарвина и который с тех пор оставался в центре внимания,— это эволюция чрезвычайно сложных демонстраций и украшений подобно хвосту павлина. Такие украшения могут оказаться в известной степени неблагоприятными для своих владельцев, так как их образование, поддержание и демонстрация требуют затраты ресурсов, а между тем они возникают в процессе эволюции довольно часто, принимая иногда фантастические формы. Почему это происходит? До сих пор общепринятого или приемлемого объяснения не найдено, если не считать одного, впервые высказанного опять-таки Фишером (15) и, во всяком случае, правдоподобного. Фишер полагает, что украшения могут сохраняться отбором просто потому, что они привлекают самок. Если в данной полигамной популяции большинство самок отдают предпочтение самцам, имеющим определенное украшение, то мутация, детерминирующая отсутствие этого украшения, не сможет закрепиться в популяции, так как мутантные самцы будут неприемлемы в качестве брачных партнеров, даже если у «сыновей», которых они могут произвести, перспективы на выживание лучше, чем у «сыновей», имеющих украшения. Таким образом, после возникновения украшений у самцов и приверженности к ним у самок эволюция этих украшений протекала как самоусиливающийся процесс. Но в таком случае возникает критический вопрос: как возникли эти украшения? На этот вопрос можно ответить по-разному. Один из ответов состоит в том, что первоначально данное украшение было коррелировано с другими признаками и эффектами, которые способствовали продуцированию потомков и выживанию. Поэтому самки, выбиравшие брачных партнеров с украшениями, обеспечивали большую приспособленность собственным генам. Только после того, как украшение стало более выраженным в результате самоусиления, эта корреляция распалась. Конечно, это всего лишь гипотеза, которую трудно проверить, после того как вступил в действие самоусиливающийся половой отбор.
3.8. «Эгоистичная» ДНК и гены в организмах.
На протяжении всей этой главы различие между эгоистичным организмом и эгоистичным геном оставалось неясным, как это обычно и бывает в адаптационистской программе. В чем же это различие? И как велико его значение? Два этих подхода можно грубо сформулировать следующим образом:
1. Согласно теории эгоистичного гена, отдельные фенотипи-ческие (организменные) признаки возникли в процессе эволюции, потому что они помогают генам реплицироваться.
2. Согласно теории эгоистичного организма, гены, которые становятся наиболее обычными в данной популяции, достигают этого, потому что они способствуют выживанию и размножению организмов.
Поскольку гены «используют» организмы для того, чтобы реплицироваться, и поскольку организмы находятся под контролем генов, эти две точки зрения обычно сводятся к альтернативным способам рассмотрения одного и того же явления. Ген, который действовал за счет других генов данного организма, а следовательно, за счет выживания и размножения этого организма как целого, не мог бы распространяться достаточно эффективно. Это подразумевает, что на уровне организма, по всей вероятности, существует отбор на интеграцию и сотрудничество между генами. Вместе с тем теория эгоистичного гена предсказывает, что гены, которые нейтральны в отношении выживания и плодовитости организмов, могут распространяться. Например, наличие больших количеств нефункциональной ДНК (см. разд. 2.2.3) можно было бы объяснить именно таким образом. Доукинс (12) высказал предположение, что эта избыточная (эту ДНК иногда называют «сорной») ДНК подобна «паразиту... или безвредному, но бесполезному пассажиру, «голосующему» на дороге, с тем чтобы пристроиться на машины выживания, созданные другой ДНК». Главный вопрос здесь состоит, однако, в том, насколько нейтральны отдельные гены и их эффекты и насколько они должны быть нейтральными, чтобы, входя в состав организма, избежать проверки со стороны отбора. Является ли, например, стоимость репликации и несения так называемой сорной ДНК недостаточной, для того чтобы оказывать влияние на выживание и плодовитость носителя? Действительно ли она лишена какой-бы то ни было функции или мы просто до сих пор не сумели эту функцию обнаружить? Некоторые из этих вопросов живо обсуждаются в ряде статей, опубликованных в журнале Nature в 1980 г. (см. 284, 601—607; 285, 617—620; 285, 645—648).
Поскольку гены объединены в организмах, нетрудно понять, почему они должны сотрудничать друг с другом; однако теория эгоистичного гена ставит и другой вопрос: почему организмы? Почему, спрашивает Доукинс (13) в заключительной главе своей книги «Расширенные границы фенотипа», гены собираются в ге-номы, а клетки — в многоклеточные тела? Ответить на это в общей форме несложно: гены, входящие в группы, передаются более эффективно, чем гены, которые в них не входят, однако объяснить причины этого более детально не так просто, и адаптационистской программе следует теперь ими заняться. Кроме того, если интеграция, кооперация и коадаптация так важны, то почему они не привели к чему-то большему, чем сцепление генов? Почему, — и здесь мы вновь возвращаемся к разд. 3.7,— механизмы, связанные с половым размножением, которые в такой же степени склонны разрушать благоприятные сочетания генов, как и создавать их, получили возможность сохраниться? Почему, говоря словами Тренера (41), геном не застывает? Это трудные, но тем не менее важные и глубокие вопросы, к которым адаптационистская программа только начинает приступать.
3.9. Рекомендуемая литература.
Критическое рассмотрение адаптационистской программы см. у Гоулда и Левонтина (18). Обоснование этой программы дает Доукинс (13). Использование принципа оптимальности иллюстрирует Александер (1), а теории игр —Мэйнард Смит (29). Приложение адаптационистской программы к физиологической экологии рассматривают Таунсенд и Кейлоу (40), а к экологии поведения— Кребс и Девис (23).
Глава 4. ЭВОЛЮЦИЯ И РАЗВИТИЕ.
4.1. Введение.
При неодарвинистском подходе к эволюционной биологии главное внимание уделяется генетическим основам изменения и постоянства популяций, тогда как адаптационисты сосредоточили внимание на фенотипах. Однако эти два аспекта эволюции разделять не следует, ибо выражение фенотипа частично зависит от генотипа, а распространение генов зависит от того, сколь успешно фенотипы взаимодействуют со своей средой. Эти взаимозависимости иллюстрирует рис. 4.1. Экспрессия генов осуществляется через посредство морфогенетической системы, на которую оказывают также влияние изменяющиеся факторы среды. Уоддингтон (12) назвал изучение этих взаимодействий эпи-генетикой. В гл. 3 мы уже коснулись экологических и реверти-рованных эпигенетических законов, показанных на рис. 4.1.
Рис. 4.1. Некое исходное распределение генов (Gi) дает определенные фенотипы (Pi) в соответствии с эпигенетическими законами. Распределение фенотипов изменяется в соответствии с экологическими законами (переходя в pz)- Эти фенотипы вносят в генофонд (Gj) гены, которые распределяются в соответствии с генетическими законами (Оз). В этой главе основное внимание уделено рассмотрению пути от генов (G) к фенотипам (Р).
Здесь мы обратимся к самим эпигенетическим законам. Будут рассмотрены лишь два из наиболее важных принципов: как мелкие мутации могут амплифицироваться в процессе развития и как морфогенетическая система противодействует некоторым типам генетических изменений.
4.2. Амплификация в процессе развития.
Джозеф Нидхем (9) различал в онтогенезе три основных процесса: 1) рост — увеличение объема и веса; 2) развитие — диф-ференцировка и возрастание сложности организации (морфогенез); 3) созревание — прекращение развития и роста и наступление репродуктивных процессов. Джулиан Хаксли (7) изучал, каким образом второй из этих процессов взаимодействует с первым, направляя и регулируя изменения размеров органов и соотнося их друг с другом и с изменениями величины организма в целом. Такие взаимоотношения часто описываются простым математическим уравнением
где У — размеры данной части, X — размеры другой части или организма в целом, а и р — константы (но ср. Смит (11)).
где b=lg(бета). Эти соотношения известны под названием алломет-рических зависимостей, где а — константа аллометрии: если а>1, то У увеличивается в размерах быстрее, чем X, если же <х<1, то наоборот, если а=1, то X и У растут пропорционально одна другой, и этот особый случай называют изометрией. Соответствующие примеры приведены на рис. 4.2. Эти зависимости могут отражать лежащие в их основе морфогенетические ограничения, и (или) скейлинг-эффект, и (или) конкуренцию между отдельными частями организма за ограниченные ресурсы, поступающие с пищей (11).
Нидхем (9) указывал, что как в принципе, так и практически относительные скорости и сроки наступления трех выделенных им фундаментальных процессов можно изменять и что такие регулировки оказывают глубокое влияние на конечный результат развития. Можно, например, экспериментально ускорить дифференцировку по отношению к росту и получить карликов (экспериментальная карликовость). У некоторых беспозвоночных можно подавить размножение и получить великанов (паразиты нередко кастрируют своих хозяев, что приводит к тому же результату). Если возможно искусственно разделить рост и развитие, то можно предполагать, что такая гетерохрония играет важную роль в эволюции. Мелкие мутации могли бы оказывать некоторое влияние на скорости и сроки роста органов и тканей, но сильно воздействовать на конечный результат — иными словами, небольшие изменения в а и (или) b могут иметь очень важные последствия для организации и морфологии взрослого организма.
Рис. 4.2. Примеры аллометрии в теории (Л) и на практике (Б). Построенные в логарифмическом масштабе графики зависимости размеров одного органа (Y) от другого или от размеров организма в целом (X) часто имеют вид прямых. Если наклон этих прямых равен единице, то зависимость называют изометрической (для сравнения на рис. Б она изображена пунктиром); в этом случае X и Y увеличиваются в размерах с одинаковыми скоростями. Зависимость между весом кишечника и общим весом тела у млекопитающих и птиц примерно изометрична. Если наклон больше единицы, то зависимость положительно аллометрична и размеры Y увеличиваются быстрее, чем размеры X (например, данные по крысам). Когда наклон меньше единицы, то зависимость отрицательно аллометрична и Y увеличивается медленнее, чем X (например, данные по собакам). Такие графики можно строить для особей, принадлежащих к одному виду (например, данные по собакам и крысам), или для особей, принадлежащих к нескольким разным видам (например, данные по млекопитающим и птицам).
Олберч и др. (2) систематизировали возможные способы возникновения таких регулировок по отношению к некой временной компоненте, определяющей инициацию развития, возраст и начало созревания (то есть 3-й процесс из триады Нидхема). На рис. 4.3 эта система представлена графически. В каждом квадрате заключена некая траектория развития, то есть некий показатель формы в зависимости от размеров или возраста. (Если используются размеры, то эти графики можно рассматривать как эквиваленты зависимостей, которые исследовал Хаксли.) Сплошными линиями изображены траектории предков, а прерывистыми — потомков. Вертикальная линия «Старт» указывает начало развития, а линия «Стоп» — его прекращение. При всех изменениях в верхнем ряду развитие замедляется или урезывается по сравнению с развитием предков, так что зрелость наступает на более ранней стадии развития. Этот процесс называется педоморфозом. При всех изменениях в нижнем ряду развитие, напротив, ускоряется или удлиняется, и это носит название пераморфоза. В этих случаях потомки проходят через предковые стадии на более раннем этапе развития, то есть имеет место рекапитуляция предковых форм.
Можно привести примеры каждого из этих процессов.
1. Ретардация/неотения. Классическими примерами служат некоторые амфибии (хвостатые), у которых взрослые особи сохраняют жабры и другие личиночные органы. Взрослая форма выглядит поэтому как личинка и обитает в воде.
2. Прогенез. Самцы некоторых ракообразных достигают половой зрелости в то время, когда их общие размеры невелики. Эти миниатюрные самцы «паразитируют» на самках, которые гораздо крупнее (иногда на несколько порядков).
3. Предварение смещения (predisplacement). У мутантных «ползающих» (screeper) кур кости ног дифференцируются позднее, чем у нормальных цыплят, но дальнейший их рост происходит с обычной скоростью. Время вылупления также не изменяется, а поэтому у вылупляющихся цыплят ноги короткие.
4. Акселерация. У некоторых сравнительно молодых видов аммонитов рост лопастных линий на раковинах ускорен по сравнению с предковыми видами. Однако в этом замешаны и другие процессы, так что в дальнейшем данный пример будет рассмотрен более подробно.
5. Гиперморфоз. Гигантские по сравнению с другими видами размеры ныне вымершего оленя Megaloceros giganteus достигались, возможно, за счет продолжения роста и задержки размножения.
6. Задержка смещения (postdisplacement). Этот процесс вместе с предварением смещения, возможно, участвует в регуляции типов полосатости у зебры. Бард (3) считает, что у зародыша имеется единственный механизм, создающий вертикальные полосы. В зависимости от того, на какой стадии роста он вступает в действие, полосы на голове будут шире (процесс начинается раньше — предварение смещения) или уже (процесс начинается позднее — задержка смещения) и расположение полос может быть весьма разнообразным. Наблюдается несколько типов полосатости, которые можно объяснить инициацией процесса образования полос в течение третьей (Equus burchelli), четвертой (Е. zebra) или пятой (Е. grevyi) недель развития.
Рис. 4.4. Участие нескольких морфогенетических явлений в эволюции аммонитов (8). Изображены лопастные линии предковых (/) и происходящих от них видов (2—5). Самая древняя часть лопастной линии — небольшой участок справа. Более подробные объяснения см. в тексте.
Не следует, однако, ожидать, что нам всегда удастся наблюдать «в чистом виде» описанные выше изменения; в сущности, более вероятно возникновение морфологических изменений в результате сочетания различных морфогенетических явлений. Хорошим примером служит аллометрическая зависимость между длиной лопастной линии и общими размерами тела у аммонитов, о которой уже говорилось выше и которая представлена на рис. 4.4. Здесь наклон кривых для потомков круче, чем для предков (рис. 4.4,1), так что дифференцировка этих лопастных линий у более молодых видов ускорена по сравнению с предковыми видами. Но, кроме того, в филогенезе этой группы наблюдается выраженное увеличение общих размеров, и у потомков продолжается аллометрический рост лопастных линий, выходящий далеко за пределы размеров взрослых особей у предковых видов (гиперморфоз). Наконец, траектории видов-потомков располагаются выше, чем траектории предковых видов, так что потомки с самого начала уже обладают известным преимуществом, возможно, в результате какого-то предварения смещения.
Итак, все приведенные выше примеры показывают, каким образом изменения процессов развития могут оказывать существенное воздействие на дефинитивную морфологию взрослого организма. В принципе это может быть достигнуто при помощи мелких изменений в скоростях нескольких ключевых процессов, то есть путем мелких генетических изменений. В этом и заключается амплификация в процессе развития.
4.3. Канализация развития.
Одно из важнейших заключений, вытекающих из эмбриологических исследований, состоит в том, что развитие — процесс упорядоченный, способный в значительной степени сопротивляться нарушающим воздействиям, оказываемым на него «извне» (например, экспериментальные воздействия) или «изнутри» (например, мутации). Это можно проиллюстрировать следующими примерами.
1. Специалисты по экспериментальной эмбриологии уже довольно давно поняли, что у некоторых организмов процессы развития способны обеспечить образование хорошо сформированных адаптивных фенотипов даже при наличии значительных нарушающих воздействий извне — процесс, известный под названием гомеостаза развития. Так, например, еще в XIX в. Ганс Дриш (Hans Driesch) разрезал зародышей морского ежа на стадиях гаструлы и прегаструлы пополам (рис. 4.5) и получал из таких половинок вполне пропорциональных взрослых особей, хотя и несколько меньших размеров, чем обычные.
Рис. 4.5. Эксперименты Дриша на зародышах морского ежа. А. Нормальное развитие. Б. Гаст-рула, которую Дриш разрезал пополам, ожидая, что из нее разовьется «урод». В. Вместо ожидаемого урода из этой гаструлы в результате ее реорганизации развился маленький, но полный плутеус, способный в дальнейшем образовать нормальную взрослую особь.
2. Мутации в большинстве случаев рецессивны. В 20-х годах нашего века Морган (Morgan) заметил, что в природе все особи, принадлежащие к данному виду Drosophila, удивительно похожи друг на друга, и объяснял это тем, что все они обладают одним и тем же генотипом дикого типа; в сущности, это и предсказывал Дарвин (см. разд. 3.5). Добржанский (4), однако, показал, что подобное объяснение неверно; одинаковые на вид родительские особи могут иметь различные генотипы, поскольку генетическое разнообразие частично маскируется доминант-ностью. И в самом деле, само доминирование могло возникнуть именно по этой причине, то есть как проявление механизма, демпфирующего воздействие мутаций (см. разд. 3.7).
3. Эдмондс и Соуин (5) и Соуин и Эдмондс (10) изучали изменчивость строения дуги аорты у одомашненного кролика. На материале 3000 вскрытий они выделили всего лишь 20 типов строения, которые можно свести к 6 основным категориям (рис. 4.6). Эти 6 категорий встречаются с разной частотой. Такого рода наблюдения позволяют предполагать, что сложным системам органов свойственна ограниченная и не случайная изменчивость. Эдмондс и Соуин установили, что разные типы строения дуги аорты — результат различных скоростей роста передне-грудной области и осевого скелета.
4. При направленном отборе по отдельным признакам, проводимом в лаборатории, часто наблюдается следующая картина: после первоначальной быстрой реакции достигается определенный порог, и, несмотря на сильное давление отбора, дальнейшее изменение вызвать не удается (рис. 4.7). Подобная устойчивость фенотипа к сильному внешнему давлению отбора, возможно, обусловлена быстрым истощением изменчивости в популяции, подвергаемой отбору, и(или) участием внутренней, генетической и морфогенетической регуляции. Полагают, что последняя имеет важное значение.
Рис. 4.6. Вариации в строении дуг аорты у кроликов, выявленные на материале 3000 вскрытий (10). Существует 6 основных типов строения, к которым относятся 99,7% всей изменчивости. Указана частота каждого типа.
Рис. 4.7. Обычный тип реакции на направленный отбор. Объяснение см. в тексте.
5. Хоботок дрозофилы иногда превращается в усик, антенна— в ногу, голова — в грудной сегмент, проторакальный сегмент— в мезоторакальный и так далее. Морфологические изменения, в результате которых одна структура превращается в другую, называют гомоэотическими трансформациями. У насекомых такие трансформации встречаются довольно часто; при этом они возникают не беспорядочно, а в соответствии с определенными правилами: а) дорсальные структуры редко превращаются в вентральные, и наоборот; б) трансформации предсказуемы: трансформируемый орган (аутотип) обычно превращается лишь в один или несколько других органов (аллотипы— органы, которым он уподобляется в результате трансформаций); в) у дрозофилы в большинстве случаев наблюдаются трансформации в мезоторакальные структуры. Эти трансформации вызываются мутациями или тератогенными (изменяющими процесс развития) факторами. Результаты действия последних имитируют генетические эффекты, и их описывают под названием фенокопий. Эти гомоэотические трансформации иллюстрируют неслучайность и направленность морфологических трансформаций. Они позволяют предполагать, что существует некоторое ограниченное число траекторий развития, доступных организму после возникновения генетических или средовых возмущений.
У нас очень мало сведений о механизмах, стоящих за этими различными аспектами регуляции развития. Уоддингтон (12) назвал ее канализацией развития (каналы = траектории; Уоддингтон назвал их креодами) и представлял в виде мяча, перемещающегося по рельефному ландшафту (рис. 4.8). Мячик изображает продвижение развития. Средовые и генетические возмущения стремятся отклонить мячик с его пути; допускаемая степень такого отклонения зависит от глубины каналов, то есть от степени канализации. Один генотип может допускать развитие по одному из нескольких онтогенетических путей, а степень реализации каждого данного пути зависит от их относительной канализации. Какая-либо пертурбация, возникшая в среде, может выбить мячик из одного канала и столкнуть его в соседний канал. Вместе с тем такая пертурбация может привести к отбору на «углубление» альтернативного канала.
Рис. 4.8. Модель развития, предложенная Уоддингтоном. А. Мяч перемещается по каналу, или креоду, к некой конечной точке. Б. Возникающие в среде возмущения (черная горизонтальная стрелка) могут отклонить развитие, направив его к какой-то другой конечной точке. В. Отбор может углубить каналы и обеспечить преимущество одной конечной точки.
Это представляет собой одно из возможных объяснений наблюдения, что гомоэотические трансформации могут возникать под действием генетических изменений и (или) изменений в среде.
Рис. 4.9. Развитие у дрозофилы крыльев без поперечных жилок (crossveinless) под действием теплового шока. А. Нормальное крыло. Б. Крыло crossveinless; такое крыло может превратиться в нормальное в результате отбора среди мух с этим признаком после теплового шока (сплошная линия); штриховая линия — результаты отбора среди мух, которые не реагировали на тепловой шок.
Уоддингтон провел еще одно интересное исследование кана.-лизации. В обычных условиях у Drosophila melanogaster развивается крыло с нормальным набором поперечных жилок (рис. 4.9). Если подвергнуть мух во время развития тепловому шоку (40°С), то некоторые из этих жилок исчезают (то есть возникает состояние crossveinless; рис. 4.9). Более того, отбирая такие отклоняющиеся формы на протяжении нескольких поколений, Уоддингтон обнаружил, что крылья crossveinless могут возникать автоматически, без теплового шока. На первый взгляд создается впечатление, что мы здесь имеем дело с наследованием приобретенного признака; однако возможно и более правдоподобное неодарвинистское объяснение, которое иллюстрирует рис. 4.10. Генетический потенциал для признака crossveinless всегда имеется в виде «менее предпочтительной траектории».
Рис. 4.10. Объяснение результатов, приведенных на рис. 4.9. А. Тепловой шок (черная горизонтальная стрелка) отклоняет мячик, направляя его на траекторию crossveinless. Б. Отбор понижает высоту «хребта» между траекториями, облегчая отклонение. В. Состояние crossveinless становится нормальным, а действие отбора углубляет (канализирует) эту траекторию.
Под действием теплового шока мячик перескакивает через холм на эту траекторию, и отбор (в данном случае — искусственный) приводит к уменьшению высоты холма и углублению альтернативного канала. Непосредственный эффект всего этого — создание фенокопий, а долговременный — реканализа-ция. Возможно, что такой же процесс участвовал в эволюции уплотненной кожи на подошвах ног у человека. Кожа обладает генетическим потенциалом к «уплотнению» при наличии соответствующего стимула, то есть стирания. Кожа на подошвах ног непрерывно стирается при ходьбе и поэтому уплотняется. Однако те индивидуумы, которые оказались способными наиболее эффективно реагировать на это (то есть те, у которых были «сравнительно низкие холмы» и более глубокие «каналы уплотненной кожи») могли иметь некое селективное преимущество. Таким образом, процесс уплотнения мог канализироваться, и теперь уплотненная кожа развивается без всякого стимула еще до того, как ребенок начинает ходить.
4.4. Заключения.
Тот факт, что мелкие генетические изменения могут ампли-фицироваться в процессе развития, приводя к более крупным фенотипическим эффектам, и что морфогенетические процессы часто проявляют устойчивость к нарушениям развития, создаваемым генетическими факторами и факторами среды, позволяет считать, что зависимость между генотипом и фенотипом носит нелинейный характер. Кроме того, изменчивость признаков, детерминируемых генами, ограничена и некоторые их изменения, по-видимому, более вероятны, чем другие. Следовательно, можно сказать, что возникновение генетически детерминированных фенотипических новшеств направляется фенотипом, и это ослабляет концепцию случайности в ее неодарвинистском понимании. Значение амплификации и канализации для эволюционной теории пока еще весьма неясно. Несомненно, однако, что как в адаптационистской, так и в генетической программе эволюционной биологии необходимо учитывать ограничения, налагаемые развитием.
4.5. Рекомендуемая литература.
Общим введением в проблемы «эволюционной биологии развития» могут служить книги Уоддингтона (12), Гоулда (6), Ол-берча и др. (2) и Олберча (1). Это сравнительно новая и сложная область, а поэтому читателю не следует рассчитывать, что он сможет найти в литературе достаточно последовательное и полное ее изложение.
Глава 5. МАКРОЭВОЛЮЦИЯ.
5.1. Введение.
Большая часть предыдущих глав была посвящена вопросу о том, каким образом организмы достигают соответствия со своей средой и постоянно поддерживают его (иногда это называют анагенезом). В этой последней главе мы займемся другим важным эволюционным процессом — происхождением разнообразия (иногда его называют кладогенезом). Макроэволюция— термин, означающий эволюционное развитие таксономических единиц видового и надвидового уровней. Эволюция этих единиц составляет основу создания таксономического разнообразия, и поэтому в рамках данной книги макроэволюция и кладо-генез будут использоваться как синонимы. Мы начнем с рассмотрения того, какие типы таксбнов можно различать и как их можно классифицировать.
5.2. Таксономические категории и система классификации.
Человек всегда стремился давать названия окружавшим его животным и растениям и обычно обращал внимание на существующую в живом мире иерархию таксонов. Последнее означает, что группы организмов, сходных по нескольким важным признакам, можно разделить на группы, обладающие этими и рядом других общих признаков, а эти группы можно подразделить в свою очередь на подгруппы и так далее. Линней рассматривал это как некую шкалу упорядоченности, приданную природе творцом, и представил ее в виде ряда категорий, расположенных в иерархическом порядке. Его система имела следующий вид:
ЦАРСТВО
КЛАСС
ОТРЯД РОД ВИД
Чем ниже место, занимаемое категорией в этом ряду, тем больше число общих признаков у входящих в нее подгрупп. С течением времени было создано много дополнительных категорий, но в основе системы классификации живых организмов все еще прочно лежит линнеевская иерархия. Большинство современных биологов различают следующие категории:
В ботанике и микробиологии типу соответствует отдел, а отряду—-по« рядок.
ЦАРСТВО
ТИП
КЛАСС
отряд
семейство .
РОД
вид
Все эти категории можно дробить дальше; так, например, на уровне отряда можно различать надотряды, отряды, подотряды и инфраотряды; подобные же категории можно создавать на любом другом уровне. В табл. 5.1 дана полная характеристика положения в системе медоносной пчелы и человека.
Таблица 5.1. Положение в системе медоносной пчелы и человека.
| Категория | Медоносная пчела | Человек |
| Тип | Arthropoda | Chordata |
| Подтип | Vertebrate | |
| Класс | Insecta | Mammalia |
| Подкласс | Pterygota | Eutheria |
| Отряд | Hymenoptera | Primates |
| Подотряд | Apocrita | Simiae |
| Род | Apis | Homo |
| Вид | mellifera | sapiens |
Примечание: название каждого вида слагается из двух слов — его родового и видового названий. Так,
Человек = Homo sapiens Медоносная пчела = Apis mellifera.
Такую систему обозначений называют биномиальной, и она также была введена Линнеем. Родовое название принято писать с прописной буквы, а видовое — со строчной; оба названия выделяют курсивом.
Для Линнея иерархическая система живых организмов отражала упорядоченность, которую заложил творец в свое создание. Для современных биологов это упорядоченность, в основе которой лежат общность происхождения и эволюционное родство. Основной единицей в том и другом случае служит вид: для Линнея — потому что он верил, что это единица, сотворенная богом, а для эволюционистов — потому что это та единица, на которую действует естественный отбор. В принципе вид можно теперь объективно определить как группу особей, способных обмениваться друг с другом генами, то есть скрещиваться между собой; тем самым эта группа обладает общим генофондом, доступным действию естественного отбора. Такое определение известно под названием биологической концепции вида. На практике однозначно идентифицировать биологические виды не удается, особенно если речь идет о мертвых и фоссилизирован-ных индивидуумах; поэтому обычно пользуются более прагматическим определением: вид — это категория, в которую систематики объединяют индивидуумов. Во всяком случае, современные биологи согласны в том, что эти группы эволюционировали от предковых видов, так что все современные формы связаны более или менее близким родством; поэтому они стараются распределить виды по группам, которые бы отражали эти эволюционные родственные связи.
Эволюция порождает явления двух разных типов, которые необходимо принимать во внимание при создании систем классификации: а) определенный порядок происхождения от предков; б) ту или иную степень дивергенции от предков. В общем, первое обусловливает черты сходства, а второе — различия. Представим себе три вида, возникающие одновременно от общего предка. У двух из них развились только мелкие различия, тогда как третий довольно заметно дивергировал от двух других (например, у него возник некий существенный новый признак). Если классифицировать эти формы на основании первого принципа, то следует считать, что все три вида связаны одинаковой степенью родства; если же применить второй принцип, то вид, обладающий новым признаком, следует отделить от двух других видов. Существует три разных взгляда на значимость этих критериев.
1. Кладизм (5, 7)
Этот подход основан на принципах, сформулированных энтомологом В. Хеннигом в 1950 г. (но см. (7)); главная роль в нем отводится генеалогии, то есть ветвящимся последовательностям, как единственному объективному способу установления систематического положения. (Слово «кладизм» происходит от греч. «кладос» — ветка или молодой побег.) Все члены данного так-сона (клады) должны брать начало от одного и того же предка, и организмы следует группировать только в соответствии с последовательностью их отделения от общего предка. Этот анализ обычно бывает основан на допущении, что все виды, существующие в любой данный момент времени, связаны родственными узами благодаря происхождению от общих предковых форм (рис. 5. 1, А, I но не //), не будучи сами предками каких-либо других существующих в это время видов. Следовательно, все современные виды можно объективно расположить в некой последовательности, строго основанной на генеалогическом родстве, и такое расположение можно схематически представить в виде кладограммы (рис. 5.1, А, III). Кладограммы строятся на основе наблюдаемого, или предполагаемого, числа признаков, встречающихся одновременно у всех групп. Однако к сходству как таковому следует относиться с осторожностью, так как может оказаться, что оно всего лишь отражает конвергенцию (развитие у различных структур внешнего сходства вследствие одинаковой функции; например, крылья летучих мышей, птиц и насекомых). Эволюционные родственные связи могут основываться только на признаках, сходство которых обусловлено тем, что они унаследованы от общего предка; такие признаки называют гомологичными. Чем больше общих гомологичных признаков имеется у двух видов, тем ближе родство между ними. Два вида, состоящие в самом тесном родстве, обладают гомологичными признаками, не встречающимися ни у каких других видов. Однако мы не смогли бы далеко уйти, если бы строили систему классификации на основе фундаментальных признаков, свойственных большинству организмов (таких, например, как многоклеточ-ность или даже пятипалое строение конечности у позвоночных), потому что, по определению, они действительно имеются у большинства организмов. Такие признаки называют общими примитивными признаками (иногда их называют симплезио-морфньши признаками). Кладисты утверждают, что ветвящиеся последовательности можно выделять лишь в том случае, если удается идентифицировать общие специализированные признаки (иногда их называют синапоморфными) — гомологичные сходства, наличествующие в самой точке ветвления. Возьмем, например, кошку, льва, тюленя и человека. У них много общих примитивных признаков (многоклеточность, кровь, пятипалые конечности и т. п.). Однако крупный головной мозг и бинокулярное зрение — это общие специализированные признаки, свойственные только приматам, и они определяют первую точку ветвления, отделяющую человека. У кошек и львов больше общих специализированных признаков (например, утрата верхних коренных, превращение верхних предкоренных в хищнические зубы), чем у каждого из них с тюленем, и это определяет нашу вторую точку ветвления. Кладограмма, получающаяся в результате такого анализа, изображена на рис. 5.1.А, III, где, а — человек, b — тюлень, с — лев, а — кошка.
И один последний вопрос: как кладист отличает примитивные признаки от специализированных? Один из важных методов состоит в так называемом сравнении за пределами группы (out-group comparison). Если признаки сходства между видами в пределах рассматриваемой группы обнаруживаются также у видов, не принадлежащих к ней, то это скорее примитивные, чем специализированные признаки. Потенциально возможно провести сравнение обширнейшего ряда видов, а именно это мы подсознательно и проделываем, когда называем такие признаки, как многоклеточность, примитивными. Однако обычно имеет практический смысл в известной мере ограничить подобного рода исследования, и интуитивно наиболее разумный подход состоит в том, чтобы сравнивать виды, входящие в данную группу, с другими сходными видами, не относящимися к ней.
2. Фенетика (16, 17)
Биологи, принадлежащие к этой школе, считают, что объективно классифицировать организмы в соответствии с их генеалогией невозможно главным образом из-за невозможности твердо отличать гомологичные признаки от конвергентных. Вместо этого они концентрируют внимание на всех чертах сходства и пытаются на их основе (то есть на основе степени общего сходства) создать объективную систему классификации организмов. Они настаивают на том, что если учитывать достаточное число признаков, то гомологичные признаки будут преобладать над конвергентными. Однако гарантировать это a priori нельзя. Другие приверженцы фенетики утверждают, что они стремятся лишь к тому, чтобы создать удобные системы классификации, подобные тем, которыми пользуются в библиотеках для классификации книг, и что эти системы не обязательно должны отражать эволюционные взаимосвязи. Для проведения фенетического анализа (то есть оценки степени общего сходства) часто применяют хитроумные математические методы, выражая полученные результаты в виде фенограмм (рис. 5. 1Д).
3. Эволюционная систематика (13)
Рис. 5.1. А. Кладисты обычно исходят из допущения, что рассматриваемые виды связаны между собой так, как это показано на схеме /, но не так, как на схеме //. На схеме III показана кладограмма, основанная на последовательных ветвлениях. Вопросительный знак у оси времени стоит потому, что кладограммы можно интерпретировать по крайней мере двумя способами. Согласно одной интерпретации, они представляют собой эволюционные древеса, на которых предки точно не указаны, а поэтому вводится время (классическая кладистика); согласно другой — они изображают типы родственных взаимоотношений, а точки ветвления соответствуют синапо-морфным признакам, так что время не вводится (трансформированная кладистика). Классическую кладистику интересуют эволюционные процессы, а трансформированную — таксономические картины. Конечно, те и другие должны быть как-то связаны между собой, однако некоторые кладисты предпочитают не высказываться относительно точного характера этой связи. Б. Ступенчатое построение фенограммы. Буквы обозначают виды. Числа в матрицах — коэффициенты общего сходства (в диапазоне от 0 — отсутствие сходства до 1 — полное сходство), выведенные на основании всех измеренных признаков. На ступени / матрица содержит коэффициенты сходства для пяти видов. Построение фенограммы начинают с поиска основных пар (для каждого члена такой пары коэффициенты сходства максимальны). Эти основные пары соединяют на соответствующих уровнях оси, по которой отложены коэффициенты сходства. На ступени // каждая основная пара рассматривается как одна единица, и коэффициенты сходства здесь представляют собой средние по всем отдельным видам, то есть 0,575= (0,6+0,4+ + 0,7+0,6)/4. Здесь снова следует найти основные пары и произвести соответствующие соединения на схеме. На ступени /// продолжают и завершают эту процедуру (по Luria S. Е. et al., A. View of Life, Benjamin, 1981). В. Филогенетическое древо, в котором сделана попытка учесть как последовательность ветвления (а тем самым сроки), так и степень дивергенции. Время обычно пытаются отложить как можно точнее на вертикальной оси; горизонтальная ось отражает дивергенцию обычно на основании субъективных оценок, а поэтому довольно неточно.
В эволюционной систематике классификация основана на сочетаний генеалогии и степени общего сходства и различия, отражающего уровень дивергенции. Никаких объективных правил для этого не существует, и принятие того или иного решения в значительной мере зависит от опыта систематиков в оценке относительной значимости различных критериев. Полученные результаты представляют в виде филогенетических древес (рис. 5.1.В).
Некоторые из различий, существующих между этими школами, можно проиллюстрировать на следующих примерах, относящихся к птицам и рептилиям. Как птицы, так и крокодилы происходят от общей предковой группы архозавров, в которую входили динозавры. Какая-то еще более древняя рептилия была общим предком черепах, ящериц и змей, крокодилов и птиц. Поэтому у птиц и крокодилов больше общих признаков, чем у крокодилов и других ныне существующих рептилий.
Однако после того, как птицы отделились от общего ствола, они развивались быстрее, чем крокодилы, и теперь они обладают рядом чрезвычайно своеобразных признаков — способностью к полету, перьевым покровом, гомойотермностью и т. п. Поскольку птицы сильнее дивергировали от предкового ствола, чеш крокодилы, эволюционные систематики отделяют их от всех других рептилий и помещают в отдельный класс — Aves, a всех остальных ныне существующих рептилий, в том числе крокодилов, объединяют в класс Reptilia (рис. 5.1,Б). Фенетики строят аналогичную систему на основе морфологического сходства. Что же касается кладистов, то они при построении систем классификации строго придерживаются генеалогического родства, и поэтому в их кладограммах птицы связаны с крокодилами более тесным родством, чем крокодилы — с черепахами, змеями и ящерицами.
Итак, подводя итоги, можно сказать, что какого-то оптимального способа построения биологической системы классификации, которая отражала бы эволюционные связи, по-видимому, не существует. Кладисты строят ее объективно на основе одной лишь генеалогии, но пренебрегают важными сведениями о дивергенции. Фенетики строят ее объективно, основываясь на сходствах, но неизбежно путают при этом гомологичные и конвергентные признаки. Представители эволюционной систематики пытаются учитывать одновременно и генеалогию, и дивергенцию, но не могут делать это вполне объективно.
Однако независимо от того, какой мы придерживаемся методологии, производя отбор групп однородных таксонов, следует найти их место в линнеевской иерархии, то есть возвести их в определенный ранг, как, например, отряд или семейство. Кладисты часто вводят новый ранг после каждой точки ветвления в кла-дограмме. Эволюционные систематики, однако, судят о ранге таксонов по степени их дивергенции от общего предка, нередко приписывая разные ранги сестринским группам. Определение ранга — процесс крайне субъективный, а поэтому он вызывает многочисленные разногласия и подвержен всевозможным изменениям и уточнениям.
5.3. Как образуются таксоны — неодарвинистская точка зрения, или синтетическая теория эволюции.
Так называемая синтетическая теория эволюции пытается объяснить происхождение таксономического разнообразия, то есть макроэволюционные явления, с точки зрения принципов неодарвинизма, то есть микроэволюционных процессов. Важными вехами такого подхода служат книги Добржанского (4), Хаксли (8), Майра (12) и Симпсона (15).
Синтетическая теория строит свое объяснение видообразования, на основных принципах неодарвинизма, а именно:
1) источником изменчивости служат точковые мутации, в особенности мутации структурных генов;
2) эволюционное изменение представляет собой результат изменения частоты генов;
3) направление этих изменений частоты определяется естественным отбором.
Таким образом, традиционно считается, что популяции некоего вида становятся физически изолированными, после чего обмен генами между ними прекращается. В результате этой изоляции возникают группы, представляющие собой более или менее случайные выборки из первоначального генофонда. Возможно также возникновение неслучайных выборок, как, например, в случае эффекта основателя, однако, согласно приверженцам синтетической теории, это бывает редко. Изоляты становятся адаптированными к тем условиям, в которых они оказались, так что их генные частоты начинают различаться, и в конце концов популяции оказываются настолько разными, что даже в случае разрушения изолирующих преград скрещивание между ними становится невозможным — иными словами, они превращаются в настоящие виды (рис. 5.2). Решающим моментом для подобного процесса видообразования служит возникновение изоляции, за которым следуют медленные и постепенные изменения. Это схематически показано на рис. 5.2.
Интерпретация видообразования, как процесса постепенного, сталкивается с двумя проблемами: одна из них носит фактический характер, а другая —логический. Что касается фактов, то в палеонтологической летописи часто нельзя обнаружить постепенных изменений. Многие виды, казалось бы, остаются неизменными на протяжении миллионов лет, а затем внезапно исчезают, сменяясь какими-то другими формами, существенно отличающимися от прежних, но явно родственными им. Хорошим примером служит группа пресноводных моллюсков из поздне-кайнозойских отложений озера Туркана, на севере Кении, описанная Уильямсом (21). Как показали проведенные измерения, за последние 5 млн. лет популяции 16 видов изменялись весьма незначительно. Однако у 5 видов, мало изменявшихся в течение почти всего этого времени, обнаружены очень быстрые изменения за периоды, равные примерно 50 000 лет. Со стороны логики можно привести то, что Майварт (Mivart) назвал дилеммой стадии зарождения полезных структур. Если эволюция структур происходит постепенно, то какое значение имеют структуры с промежуточными признаками? Какую пользу, например, может принести рептилии частично сформированное крыло (см. также разд. 1.5.)?
Рис. 5.2. Видообразование как постепенный процесс. После возникновения изоляции (горизонтальная стрелка) изолят (вид В) постепенно дивергирует от «родительского» вида А.
Сторонники синтетической теории (или сторонники постепенной эволюции) пытаются справиться с фактической стороной проблемы, утверждая, что отсутствие постепенных изменений — явление не столь частое, как это иногда полагают, и что его можно объяснить неполнотой палеонтологической летописи. Накопление осадков и захоронение костей — процесс капризный, особенно если речь идет о группах с низкой плотностью популяций, а поэтому промежуточные формы должны быть редкими. Для объяснения дилеммы Майварта они привлекли преадапта-цию: промежуточные структуры выполняют определенные роли, для которых они хорошо подходят, но чисто случайно они соответствуют и другим ролям, которые могут играть после дальнейшего усовершенствования. Складка кожи между передней конечностью и туловищем могла развиваться у рептилий в качестве приспособления для терморегуляции, а затем найти применение при ускальзывании от врага и в конечном итоге дать начало крылу. Подобным же образом воздушный мешок у рыб возник не для того, чтобы они когда-нибудь могли заселить сушу, а в качестве дополнительного органа дыхания, используемого в водной среде. Однако, после того как воздушные мешки образовались, они стали использоваться в качестве легких в связи с такими изменениями в условиях среды, как пересыхание водоемов.
5.3.1. К вопросу об изоляции и видообразовании
Выше подчеркивалось, что изоляция — это важная предпосылка для видообразования. В настоящее время известно, что существует несколько возможных способов возникновения изоляции, а следовательно, и способов видообразования. Обзор их дал Буш (1).
Поток генов (обмен генами) между популяциями может быть подавлен какой-либо физической или географической преградой. Этот процесс называют аллопатрическим видообразованием. В принципе возможен также альтернативный процесс — подавление обмена генами в популяциях, обитающих в одной и той же области — например если носители благоприятных мутаций спариваются преимущественно между собой и если отбор в пользу этих мутаций достаточно интенсивен, чтобы возобладать над обменом генами, создаваемым спариваниями с более часто встречающимися родительскими формами. Этот процесс носит название симпатрического видообразования. И наконец, даже при наличии некоторого обмена генами между частично изолированными популяциями в областях, в которых они примыкают одна к другой, возможна, опять-таки в принципе, дивергенция признаков под действием отбора, если обмен генами относительно слабый, а различия в давлениях отбора относительно велики. Этот процесс известен под названием парапатрического видообразования и может происходить относительно часто у организмов с низкой подвижностью ( = слабой способностью к расселению), таких, как растения и наземные моллюски.
Если значение аллопатрического видообразования для эволюции у большинства биологов не вызывает сомнений, то относительно эволюционной роли симпатрического и парапатрического видообразования идет много споров. При этом вновь подчеркивается важность демовой структуры (как, например, на рис. 2.9,Д) для процесса видообразования.
Следует также привлечь внимание к различию между географической изоляцией (то, что было описано под названием аллопатрии) и изолирующими механизмами. Изолирующие механизмы— это различия в признаках между популяциями, препятствующие скрещиваниям между ними и сохраняющие целостность вида, когда популяции встречаются вместе. Эти механизмы многочисленны и разнообразны, и среди них есть как преко-пуляционные изолирующие механизмы (например, морфологические и поведенческие признаки, препятствующие копуляции самцов и самок), так и посткопуляционные изолирующие механизмы (например, несовместимость гамет, которая препятствует оплодотворению яиц или приводит к стерильности потомства, как в случае мулов).
5.4. Альтернативная точка зрения — прерывистая эволюция.
Существует и другая точка зрения, альтернативная изложенной в предыдущем параграфе теории постепенной эволюции. Палеонтологическая летопись, возможно, не столь неполна, как это предполагается. Быть может, эволюция на самом деле слагается из кратковременных периодов быстрого изменения, за которыми следуют длительные периоды равновесия. Эта теория прерывистого равновесия обладает тем преимуществом, что позволяет объяснить то, что мы, по-видимому, наблюдаем, и разрешить дилемму Майварта, поскольку всякая необходимость в существовании промежуточных форм при этом просто отпадает. Она подразумевает возможность быстрого возникновения крупных изменений формы и функции. Дарвин и неодарвинисты полагали, что подобная точка зрения подорвет доверие к их теориям, поскольку крупные изменения в преобладающем большинстве случаев должны быть гибельными, то есть несовместимыми с фенотипом (см. разд. 1.5).
Рис. 5.3. Видообразование как прерывистый процесс. Вслед за быстрым видообразованием (горизонтальная стрелка) наступает период, во время которого изменений происходит мало.
В сущности, это соответствует также теории прерывистой эволюции, так как ее сторонники считают, что длительные периоды застоя отражают неспособность большей части мутационных изменений войти в состав фенотипа, то есть ограничения, связанные с коадаптацией и интеграцией, противодействуют изменению. Время от времени, однако, одна из таких изменений, которое Гольдшмидт в своей книге «Материальные основы эволюции» (Goldschmidt, The Material Basis of Evolution, Yale University Press, 1940) назвал «подающими надежды чудовищами», может оказаться совместимым с существующим адаптивным комплексом. Теперь мы знаем, что возникновение и интеграция таких крупных мутационных изменений согласуется с процессами развития (гл. 4). Возможен и альтернативный путь: возникновение резкого сдвига в сторону от генофонда родительской популяции в результате образования неслучайной выборки на ранних стадиях изоляции. Этот путь считается наиболее вероятным для мелких периферических изоля-тов больших популяций. Создающаяся при этом картина прерывистой эволюции представлена на рис. 5.3. (Обратите внимание на сходство между этим рисунком на рис. 5.1 А/7/, то есть кла-дограммой. Кладисты часто относятся весьма благосклонно к теории прерывистого равновесия, а сторонники последней нередко поддерживают кладизм. Это связано с тем, что при кладисти-ческом анализе принимается допущение о периодах быстрого видообразования с незначительной дивергенцией между точками ветвления.)
Рис. 5.4. Направление эволюции, создавшееся в результате дифференциального видообразования и выживания видов, а не в результате постепенных изменений. Виды возникают внезапно, а затем почти не изменяются. Сдвиг вправо обусловлен тем, что в этом направлении видообразование происходит чаще, а также тем, что виды с такими морфологическими признаками выживают дольше. По-видимому, возможно преобладание любого из этих процессов, то есть как дифференциального видообразования, так и вымирания.
Таким образом, как и традиционный неодарвинизм, теория прерывистого равновесия представляет себе начальный источник изменчивости как случайный по отношению к направлению-эволюции, но рассматривает эту изменчивость как сопряженную с изменениями гораздо большего масштаба. Кроме того, вследствие этого и последующего застоя теория прерывистого равновесия рассматривает источник изменчивости, то есть изоляцию или периоды видообразования, как самые важные элементы, определяющие направление и скорость эволюции (возврат к взглядам ранних менделистов?).
Но если это так, то в результате каких же процессов возникают адаптации и как создаются эволюционные направления, если и то, и другое — черты, ярко выраженные как в палеонтологической летописи, так и у ныне существующих видов? Для сторонников прерывистой эволюции ответом будет отбор видов (термин, созданный Стенли (18)). Согласно этой точке зрения, эволюционные направления могут возникнуть: 1) потому что некоторые случайно образовавшиеся изоляты более устойчивы, чем другие, либо (а) потому, что они лучше приспособлены в обычном смысле, либо (б) вследствие экологических условий той местности, в которой они оказались изолированными (например, случайное отсутствие какого-либо прожорливого хищника); и (или) 2) потому что у некоторых видов в результате их организации или экологии видообразование происходит чаще, чем у других. Эти возможности проиллюстрированы на рис. 5.4. Как в случае 1, так и в случае 2 создаются эволюционные направления, но возникающие при этом адаптации, особенно в случаях 16 и 2, вряд ли окажутся такими совершенными, как те, которые могут возникнуть в результате более обычного постепенного видообразования.
В ее современной форме теорию прерывистого равновесия отстаивают, в частности, Гоулд и Элдридж (6) и Стенли (18, 19). Однако, как уже отмечалось, она уходит своими корнями в работы Гольдшмидта (см. выше), а также де Фриза (3). Т. X. Хаксли, один из самых верных союзников Дарвина, был также склонен признавать значительные скачки в процессе эволюции — к вящему неудовольствию самого Дарвина!
5.5. Сравнение теорий постепенной и прерывистой эволюции.
Для того чтобы показать более конкретно различие между постепенной и прерывистой эволюцией в плане эволюционных направлений и адаптации, рассмотрим классический пример эволюции современной лошади, далеким предком которой был Hyracotherium — трехпалое существо величиной не больше собаки. Палеонтологическая летопись свидетельствует, по-видимому, о постепенном изменении размеров тела и формы, приведшем в конечном счете к хорошо знакомому нам Equus. Классическое объяснение с позиций постепенной эволюции сводится к прогрессивному изменению под действием естественного отбора (см. разд. 3.2). В противоположность этому теория прерывистого равновесия объясняет направления в эволюции лошадей как результат асимметрии генеалогического древа. Эволюционная история лошади рассматривается как видообразовательная линия, в которой возникали некоторые новые виды, отличавшиеся большими размерами тела и сокращением числа пальцев, а также другие виды с совершенно иными морфологическими изменениями. Виды с более крупным телом и редуцированными пальцами оказались более удачливыми, чем виды с более примитивными признаками — большим числом пальцев и меньшими общими размерами, — и это привело к асимметрии генеалогического древа. С течением времени «центр тяжести» явно склоняется в сторону более крупного вида с одним пальцем (как, например, на рис. 5.4).
Рис. 5.5. Разнообразие семейств млекопитающих (А) и двустворчатых моллюсков (Б) на протяжении длительных периодов времени (19).
В табл. 5.2 перечислены главные различия между теориями постепенной и прерывистой эволюции. Таблица 5.2. Сравнение гипотез постепенного и прерывистого видообразования
| Фактор | Постепенное видообразование | Прерывистое видообразование |
| Изоляция | Случайный процесс, иногда неслучайный обычно аллопатрический | Изолированная подгруппа часто имеет неслучайный генетический состав; может быть симпатрическим или парапат-рическим |
| Источник изменчивости | Главным образом точковые мутации | Главным образом макромутации (то есть мутации в первоначальном смысле) |
| Отбор | Внутри популяций | Между популяциями (или видами) |
| Дивергенция | Медленная и непрерывная (и пропорциональная числу поколений) | Быстрая (непропорциональная числу поколений), но при отсутствии изменений в течение длительных периодов |
| Ограничения | Не очень существенные | Очень существенные |
| Адаптации | Очевидные и совершенные | Не столь очевидные и менее совершенные |
5.6. Проверка двух теорий эволюции.
Стенли (18,19) рассмотрел разного рода данные, которые можно использовать для сравнительной оценки теорий постепенной и прерывистой эволюции. К наиболее общим соображениям относится ожидание, что скорость макроэволюции (то есть скорость возникновения семейств и отрядов, отражающих крупные морфологические изменения) должна быть: 1) согласно модели постепенной эволюции, пропорциональна времени или, точнее, числу поколений, на протяжении которых могло развиваться разнообразие; и 2) согласно модели прерывистой эволюции, пропорциональна степени расщепления, то есть видообразования, которое имело место. Если удастся оценить как время, так и скорость расщепления, то тогда мы в принципе сможем провести различие между этими двумя гипотезами. На этой основе Стенли проводит сравнение между млекопитающими и двустворчатыми моллюсками. У млекопитающих скорость видообразования высокая и радиация в пределах группы, в результате которой возникло примерно 100 семейств, происходила в течение менее чем 30 млн. лет. У двустворчатых моллюсков, напротив, видообразование протекало медленно и соответственно происходила медленная радиация на протяжении более чем 300 млн. лет (рис. 5.5). Более того, среди двустворчатых моллюсков у одной группы сердцевидок (сем. Cardiidae) так называемого понтического ряда, изолировавшегося из Средиземноморья в Каспийском море, видообразование происходило быстрее, чем у ее близких родичей, и за менее чем 3 млн. лет эта группа достигла такого морфологического разнообразия, что ее теперь делят на четыре подсемейства.
Следствие, вытекающее из всех этих рассуждений, состоит в том, что в группах, в которых на протяжении длительных периодов геологического времени происходило мало эволюционных изменений, видообразование, очевидно, было незначительным. И действительно, так, по-видимому, обстояло дело со многими так называемыми живыми ископаемыми. Хорошим примером служат двоякодышащие рыбы. Быстрые морфологические изменения происходили у них только в период быстрого видообразования, в середине палеозоя, вскоре после их появления. После этого скорость видообразования резко понизилась, и вместе с ней упала и скорость морфологических изменений. Другим примером служат аллигаторы, строение которых в процессе эволюции изменялось мало, которые представлены в настоящее время всего двумя видами и никогда не отличались большим числом видов. Наконец, известен лишь один ныне живущий вид трубкозубов, а в палеонтологической летописи, вплоть до начала миоцена, к которому относятся самые ранние находки представителей этой группы, обнаружено лишь очень небольшое число их линий.
Все это свидетельствует в пользу теории прерывистой эволюции. Однако имеющиеся данные нельзя считать решающими, так как их анализ зависит главным образом от разделения ископаемых таксонов, которое может отражать в большей мере пристрастия систематиков, чем истинное течение эволюции; так, например, вопрос о том, какие группы видов образуют семейства, довольно субъективен. Даже соглашаясь принимать фактические данные, классический неодарвинист может заявить, что ряд факторов и, в частности, вариации в интенсивности естественного отбора перекрывают ожидаемую корреляцию между скоростью микроэволюции и временем, предсказываемую в пункте 1 в начале этого параграфа. Иными словами, неодарвинизм не настаивает на непременной постепенности. Он допускает возможность периодов быстрых изменений под действием интенсивного отбора и периодов медленных изменений под действием слабого отбора. Кроме того, застой в морфологии твердых частей тела — а именно они сохраняются в палеонтологической летописи—не обязательно означает застой в строении мягких частей, а также метаболических и поведенческих процессов. Таким образом, хотя фактические данные, очевидно, свидетельствуют в пользу теории прерывистой эволюции, они все еще далеко не окончательны, и вопрос остается открытым, вызывая горячие дебаты.
5.7. Была ли эволюция человека постепенной или прерывистой?
Креационисты (см. гл. 1) считали, что человек отделился от человекообразных обезьян с того момента, когда бог вдохнул в него душу! В ответ на это дарвинисты и неодарвинисты упорно настаивают на том, что человек произошел от человекообразных обезьян в результате постепенной прогрессивной эволюции. Исходя из этого, обычно принято помещать вид Homo sapiens в конец непрерывного ряда, после по крайней мере двух других видов (как, например, на рис. 5.6). Эти разные виды характеризуются следующим образом.
1. Ramapithecus (от Рама —индийское божество, и греч. пи-текос —обезьяна). Эта группа существовала примерно 8— 14 млн. лет назад. Она известна только по фрагментам нижней челюсти, которые позволяют считать, что лицевой отдел черепа у рамапитека был плоским, со слабо выступающей нижней
частью.
2. Австралопитек (от лат. austral —южный). Эта группа существовала 1,5—5 млн. лет назад. Лицевой отдел черепа у австралопитеков был плоским. Расположение черепа относительно позвоночника и костей задних конечностей относительно таза позволяет считать, что положение тела у него было вертикальным. Известны две главные группы австралопитеков: Australopithecus robustus с массивным черепом и крупными зубами, что свидетельствует о растительной диете, и группа, к которой относятся A. afarensis и A. africanus, с более изящным скелетом.
3. Homo habilis (человек умелый). Эта группа существовала 1,5—2 млн. лет назад. Ее представители были прямоходящими, имели относительно большой головной мозг и пользовались различными орудиями.
4. Homo erectus (человек прямоходящий). Эта группа существовала 1 млн. лет назад. У ее представителей походка была еще более сходна с нашей, мозг был крупнее, чем у Я. habilis, и они пользовались огнем.
5. Неандертальцы (от названия долины Неандерталь, где они были впервые найдены). Неандертальцы существовали примерно 0,5 млн. лет назад; они настолько сходны с современными людьми как по морфологии, так и по наличию определенной культуры с различными обрядами, что их считают одним из подвидов Homo sapiens.
Рис. 5.6. Две разные филогении, предложенные для основных таксонов гоминид (2). R — Ramapi-thecus; Aafa—Australopithecus afarensis; Aa — A. africanus; Ab—A. boisei; Ar — A. robustus; Hh — Homo habilis; He — H. erectus; Hs — H. sapiens.
Недавно были обнаружены два важных факта, которые возродили точку зрения о том, что эволюция человека — процесс прерывистый (19). Во-первых, было высказано мнение, что одновременно существовал не один, а несколько видов гоминид, а это указывает на то, что филогения рода Homo была кустистой, а не линейной. Во-вторых, полагают, что имеются данные, свидетельствующие о наличии относительно длительных периодов застоя в филогении как группы автралопитеков, так и гоминид (см., например, Australopithecus africanus, Homo habilis и Я. erectus на рис. 5.7), а это довольно удивительно, принимая во внимание высокую абсолютную скорость, характерную для эволюции человека.
Вместе с тем данные о перекрывании во времени между видами рода Homo не бесспорны, и если даже они верны, то не отвергают интерпретацию эволюции человека как процесса постепенного.
Рис. 5.7. Стратиграфические диапазоны гоминид (19). Прерывистыми линиями обозначены ископаемые остатки, предположительно отнесенные к тому или иному виду. Обозначения те же, что на рис. 5.6. N — неандерталец.
Ветвление могло просто увеличить число направлений, по которым эволюция человека протекала постепенно. Кроме того, что гораздо важнее, хотя разные таксоны гоминид резко различаются по некоторым морфологическим признакам, например по признакам черепа, количественные признаки, например размеры тела и емкость черепной коробки, изменяются почти непрерывно (рис. 5.8). Кроме того, по мнению некоторых антропологов, застой в пределах отдельных таксонов скорее кажущийся, чем реальный (2). Например, у самых ранних экземпляров Н. erectus лицевой отдел черепа более вытянутый и плоский, черепная коробка ниже, тоньше, менее прочна и емкость ее меньше, чем у более поздних Н. erectus.
Рис. 5.8. Изменения среднего веса тела (Л) и объема черепной коробки (Б) у гоминид с течением времени (2). Обозначения те же, что на рис. 5.6.
5.8. Заключения.
Итак, остается все еще обширное поле для дискуссий между сторонниками прерывистой эволюции и традиционными неодарвинистами. Главная проблема, стоящая перед последними,— это,, вероятно, не скорость, с которой эволюционные изменения могут происходить в периоды быстрой эволюции, ибо при наличии соответствующих интенсивностей отбора быстрые изменения вполне осуществимы, а тот факт, что признаки могут оставаться неизменными на протяжении длительных периодов геологического времени. Так, например, Ланде (9) вычислил, что число элиминируемых отбором особей, необходимое для того, чтобы можно было объяснить изменения в некоторых скелетных структурах у кайнозойских млекопитающих, равно примерно 1 млн. Такое давление отбора настолько незначительно, что вполне могло возникнуть в результате совершенно случайных процессов. И тем не менее массовый дрейф генов, происходящий на протяжении миллионов лет, совершенно не входит в рамки неодарвинизма. Неодарвинисты могли бы также утверждать, что за кажущимся застоем скрывается интенсивный стабилизирующий отбор (см. разд. 2.3.3), но в таком случае нам придется допустить долговременный застой в условиях среды, что представляется в равной мере маловероятным.
В свою очередь сторонникам теории прерывистой эволюции надлежит прежде всего решить проблему случайности в скачкообразных изменениях. Прерывистые изменения должны возникать с одинаковой вероятностью во всех направлениях, включая и направление, в котором происходит эволюция. Это могло бы осуществляться путем дрейфа и эффекта основателя, однако широкое распространение этих процессов еще предстоит показать. Другая возможность состоит в том, что если основу прерывистой эволюции составляют крупные мутации, то они должны сообщать своим носителям способность к быстрому распространению, а это отличается от классического неодарвинизма только масштабом изменения.
Удастся ли найти ясное решение всех этих вопросов, опираясь на фактические данные, остается сомнительным. Кроме того, возможно, что эволюция одних групп протекала в соответствии с теорией прерывистого равновесия, а других —в соответствии с неодарвинистской моделью. Иными словами, вряд ли какая-либо одна модель эволюции окажется применимой ко всем случаям.
5.9. Рекомендуемая литература.
Хорошее изложение синтетической теории эволюции дают Майр и Провин (14). Для того чтобы оценить, как разные представители эволюционной биологии интерпретируют теорию прерывистого равновесия, читателю следует сравнить и противопоставить отчеты Левина (10) и Мэйнарда Смита (11) об одной и той же конференции по макроэволюции (Чикаго, октябрь 1980 г.). Один из номеров журнала New Scientist (15 апреля 1982, 194, № 1301), посвященный столетию со дня смерти Чарлза Дарвина, содержит статью Гоулда (Gould), отстаивающего прерывистую теорию, и статью Чарлзуорта (Charlesworth), направленную против этой теории, а также хорошую статью Стринджера (Stringer) об эволюции человека. Популярный очерк модели прерывистого равновесия дает Стенли (20).
ЛИТЕРАТУРА.
Глава 1
1. George W. Darwin, Fontana, London, 1982.
2. Gillespie N. С. Charles Darwin and the Problem of Creation, University of Chicago Press, Chicago and London, 1979.
3. Howard J. Darwin, Oxford University Press, Oxford, 1982.
4. Moore J. R. The Post-Darwinian Controversies, Cambridge University Press,. Cambridge, 1979.
5. Moorehead A. Darwin and the «Beagle», Hamilton, London, 1969.
6. Ridley M. Coadaptation and the inadequacy of natural selection, British J, of History of Science, 15, 45—68 (1982).
7. Ruse M. The Darwinian Revolution, University of Chicago Press, Chicago» and London, 1979.
8. Ruse M. Darwinism Defended, Addison-Wesley Publ. Co., Massachusetts, 1982.
9. Smith C. U. M. The Problem of Life, Macmillan Press Ltd., London, 1976.
Глава 2
1. Ayala F. J., Kiger J. A. Modern Genetics, Benjamin/Cummings Publ. Co., Menlo Park, California, 1980.
2. Berry R. J. Neo-Darwinism, Edward Arnold, London, 1982.
3. Charlesworth B. Evolution in Age-structured Populations, Cambridge University Press, Cambridge, 1980.
4. Cook L. M. Coefficients of Natural Selection, Hutchinson University Library, London, 1971.
5. Crow J. F. Genes that violate Mendel's rules, Scientific American, 240, 104—113 (1979).
6. Falconer D. S. Introduction to Quantitative Genetics, 2nd edn., Longman, London and New York (1st edn., Oliver and Boyd, 1960), 1981.
7. Gale J. S. Population Genetics, Blackie, Glasgow and London, 1980.
8. Ludovici L. J. The Chain of Life, Phoenix House Ltd., London, 1963.
9. Ricklefs R. E. Ecology, 2nd edn., Nelson, Middlesex, 1980. (Имеется перевод первого издания: Риклефс Р., Основы общей экономии. — М.: Мир, 1979.)
10. Roughgarden J. Theory of Population Genetics and Evolutionary Ecology: An Introduction, Macmillan Publ. Co., N. Y., 1979.
11. Turner J. R. G. Changes in mean fitness under natural selection. In: Mathematical Topics in Population Genetics (K. Kojima, ed.), Springer, Berlin, pp. 33—78, 1970.
12. Watson J. D. Molecular Biology of the Gene, 3rd edn., W. A. Benjamin Inc., California, 1976. (Имеется перевод: Уотсон Д., Молекулярная биология гена. — М.: Мир, 1979.)
13. Watson J. D. The Double Helix: A Norton Critical Edition (G. S. Stent. ed.), W. W. Norton, New York, 1980. (Имеется перевод: Уотсон Д., Двойная спираль. — М.: Мир, 1969.)
14. Watson J. D., Tooze J. The UNA Story, W. H. Freeman and Co., San Francisco, 1981.
15. Woods R. A. Biochemical Genetics, Chapman and Hall, London and New York, 1980.
16. Zimmering S., Sandier L., Nicoletti B. Mechanisms of meiotic drive, Ann. Rev. Genetics, 4, 409—436.
Глава 3
1. Alexander R. McN. Optima for Animals, Edward Arnold, London, 1982.
2. Bell G. The Masterpiece of Nature, Groom Helm Publishers, London, 1982.
3. Blower G. Age-structure of millipede populations in relation to activity and dispersion. In: The Soil Ecosystem (J. G. Sheal, ed.), Systematics Association Publ. No. 8, pp. 209—216, 1969.
4. Cain A, L, Sheppard P. M. Natural selection in Cepaea, Genetics, 39, 89— 116 (1954).
5. Calow P., Townsend C. R. Energetics, ecology and evolution. In: Physiological Ecology. An Evolutionary Approach to Resource Use (C. R. Townsend and P. Calow, eds.), Blackwell Scientific Publications, Oxford, pp. 3—19, 1981.
6. Calow P., Woollhead A. S. The relation between ration, reproductive effort and age-specific mortality in the evolution of life-history strategies — some observations on freshwater triclads, J. Anim. Ecol., 46, 765—781 (1977).
7. Cohn D. L. Optimal systems. I. The vascular system, Bull. Math. Biophys.,
16. 59—74 (1954).
8. Cohn D. L. Optimal systems. II. The vascular system, Bull. Math. Biophys.,
17. 219—223.
9. Cole L. C. The population consequences of life history phenomena, Quart. Rev. Biol., 29, 103-137 (1954).
10. Dames P. S. Physiological ecology of Patella I. The effect of body size and temperature on metabolic rate, J. Marine Biol. Ass., U. K., 46, 647—658 (1966).
11. Davies P. S. Physiological ecology of Patella III. Desiccation effects, J. Marine Biol. Ass., U. K., 49, 291—304 (1969).
12. Dawkins R. The Selfish Gene, Oxford University Press, Oxford, 1976.
13. Dawkins R. The Extended Phenotype, W. H. Freeman and Co., Oxford and San Francisco, 1982.
14. Dobzhansky Th. Genetics and the Origin of Species, Columbia University Press, N. Y., 1937.
15. Fisher R. A. The Genetical Theory of Natural Selection, Clarendon Press, Oxford, 1930.
16. Ford E. B. Ecological Genetics, Chapman and Hall, London, 1975.
17. Gilpin M. E. Group Selection in Predator-Prey Communities, Princeton University Press, Princeton, N. J., 1975.
18. Gould S. J., Lewontin R. C. The spandrels of San Marco and the Panglos-sian paradigm: a critique of the adaptationist programme, Proc. Roy. Soc. Lond., 205B, 581—598 (1979).
19. Hamilton W. D. The genetical evolution of social behaviour, I and II, J. Theoret. Biol., 7, 1—32 (1964).
20. Hamilton W. D., Altruism and related phenomena, mainly in social insects, Ann. Rev. Ecol. Syst, 3, 193—232 (1972).
21. Kettlewell H. B. D. Selection experiments on industrial melanism in the Lepidoptera, Heredity, 10, 14—22 (1956).
22. Kettlewell H. B. D. The Evolution of Melanism, Clarendon Press, Oxford, 1973.
23. Krebs J. R., Davies N. B. An Introduction to Behavioural Ecology, Blackwell Scientific Publications, Oxford, 1981.
24. Lewontin R. C. The units of selection, Ann. Rev. Ecol. Syst., 1, 1—18 (1970).
25. Lewontin R. C. Adaptation, Scientific American, 239, 156—165 (1978).
26. Maynard Smith J. On Evolution, Edinburgh University Press, Edinburgh, 1972.
27. Maynard Smith J. Evolution and the theory of games, American Scientist, 64, 41—45 (1976).
28. Maynard Smith J. The Evolution of Sex, Cambridge University Press, Cambridge, 1978. (Имеется перевод: Мэйнард Смит Дж. Эволюция полового размножения. — М.: Мир, 1981.)
29. Maynard Smith J. Evolution and the Theory of Games, Cambridge University Press, Cambridge, 1982.
30. Metcalf R. A. Sex ratios, parent-offspring conflict, and local competition for mates in the social wasp Polistes metricus, American Naturalist, 116, 642— 654 (1980).
31. Milsum J. H., Roberge F. A. Physiological regulation and control. In: Foundations of Mathematical Biology, 3 (R. Rosen, ed.), Academic Press, London and New York, pp. 1—95, 1973.
32. Muller H. J. The relation of recombination to mutational advance, Mut. Res., 1,2—9 (1954).
33. Parker G. A., Baker R. R., Smith V. G. F. The origin and evolution of gamete dimorphism and the male-female dichotomy, J. Theoret. Biol., 36, 529—553 (1972).
34. Rosen R. Optimality Principles in Biology, Butterworths, London, 1967.
(Имеется перевод: Розен Р. Принципы оптимальности в биологии. — М.:
Мир, 1969.) 35 Sahllns M. The Use and Abuse of Biology: An Anthropological Critique of
Sociobiology, University of Michigan Press, Ann. Arbor, Michigan, 1976.
36. Shorrocks B. The Genesis of Diversity, Hodder and Stoughton, London, 1978.
37. Stearns S. C. Life-history tactics: a review of ideas, Quart. Rev. Biol., 51, 3—47 (1976).
38. Stearns S. C. The evolution of life-history traits: a critique of the theory and a review of the data, Ann. Rev. Ecol.' Syst., 8, 145—171 (1977).
39. Sued J. A., Mayo O. The evolution of dominance. In: Mathematical Topics in Population Genetics (K- Kojima, ed.), Springer Verlag, New York, pp. 289—316, 1970.
40. Townsend C. R., Calow P. (eds.). Physiological Ecology: An evolutionary approach to resource use, Blackwell Scientific Publications, Oxford, 1981.
41. Turner J. R. G. Why does the genome not congeal? Evolution, 21, 645— 656 (1967).
42. Williams G. C. Sex and Evolution, Princeton University Press, Princeton, 1975.
43. Wilson D. S. The Natural Selection of Populations and Communities, Benjamin/Cummings, Menlo Park, California, 1980.
44. Wilson E. 0. Sociobiology: the New Synthesis, Harvard University Press, Harvard, 1975.
45. Wison E. 0., Bossert W. H. A Primer of Population Biology, Sinauer Associates, Stanford, Connecticut, 1971.
Глава 4
1. Alberch P. Ontogenesis and morphological diversification, American Zoologist, 20, 653—667 (1980).
2. Alberch P., Gould S. J., Oster G. F., Wake D. B. Size and shape in ontogeny and phytogeny, Paleobiology, 5, 296—317 (1979).
3. Bard J. B. A unity underlying the different zebra striping patterns, J. Zo-ol. London, 183, 527—539 (1977).
4. Dobzhansky T. Genetics and the Origin of Species, Columbia University Press, New York, 1937.
5. Edmonds H. W., Sawin P. B. Variations of the branches of the aortic arch in rabbits, American Naturalist, 70, 65—66 (1936).
6. Gould S. /. Ontogeny and Phylogeny, Harvard University Press, Cambridge, Mass., 1977.
7. Huxley J. S. Problems of Relative Growth, Methuen, London, 1932.
8. Newell N. D., Phyletic size increase, an important trend illustrated by fossil invertebrates, Evolution, 3, 103—124 (1949).
9. Needham J. On the dissociability of the fundamental processes in ontogenesis, Biol. Revs., 8, 180—223 (1933).
10. Sawin P. В., Edmonds H. W. Morphological studies of the rabbit, VII.
Aortic arch variations in relation to regionally specific growth differences Anat. Rec., 96, 183—200 (1949).
11. Smi/A R. /. Rethinking allometry, J. Theoret. Biol., 87, 97—111 (1980).
12. Waddington С. Н. The Evolution of an Evolutionist, Edinburgh University Press, Edinburgh, 1975,
Глава 5
1. Bus/i G. L. Modes of animal speciation, Ann. Rev. Ecol. Syst., 6, 339—364 (1975).
2. Cronin /. E., Boaz N. Т., Stringer С. В., Rak Y. Tempo and mode in homi-nid evolution, Nature, 292, 113—122 (1981).
3. De Vries H. Species and Varieties. Their Origin by Mutation, The Open Court, Chicago, 1905.
4. Dobzhansky T. Genetics and the Origin of Species, Columbia University Press, New York, 1937.
5. Eldredge N., Cracraft J. Phylogenetic Patterns and the Evolutionary Process, Columbia University Press, New York, 1980.
6. Could S. J., Eldredge N. Punctuated equilibria: the tempo and mode of evolution reconsidered, Paleobiology, 3, 115—151 (1977).
7. Hennig W, Phylogenetic Systematics, 2nd edn., University of Illinois Press, Urbana, 1979.
8. Huxley /. S. Evolution, the Modern Synthesis, Alien and Unwin, London, 1942.
9. Lande R. Natural selection and random genetic drift in phenotypic evolution, 30, 314—334 (1976).
10. Lewin R. Evolution theory under fire, Science, 210, 883—887 (1980).
11. Maynard Smith J. Macroevolution, Nature, 289, 13—14 (1981).
12. Mayr E. Systematics and the Origin of Species, Columbia University Press, New York, 1942. (Имеется перевод: Майр Э. Систематика и происхождение видов. — М.: NG, 1947.)
13. Mayr E. Populations, Species and Evolution, Harvard University Press, Cambridge, Mass.. 1970. (Имеется перевод: Майр Э. Популяции, виды и эволюция. — М.: Мир, 1974.)
14. Mayr E., Provine W. В. The Evolutionary Synthesis, Harvard University Press, Cambridge, Mass., 1980.
15. Simpson G. G. Tempo and Mode in Evolution, Columbia University Press, New York, 1944. (Имеется перевод: Симпсон Дж. Темпы и формы эволюции.—М.: ИЛ, 1948.)
16. Sneath P. H. A., Sokal R. R. Numerical Taxonomy, W. H. Freeman, San Francisco, 1973.
17. Sokal R. R., Sneath P. H. A. Principles of Numerical Taxonomy, W. H. Freeman, San Francisco, 1963.
18. Stanley S. M. At theory of evolution above the species level, Proc Nat Acad. Sci. USA, 72, 646—650 (1975).
19. Stanley S. M. Macroevolution, W. H. Freeman, San Francisco, 1979.
20. Stanley S. M. The New Evolutionary Timetable, Basic Books Inc., New York, 1982.
21. Williams P. G. Palaeontological documentation of speciation in Cenozoic molluscs from Turkana Basin, Nature, 293, 437—443 (1981).
30>1>
















