108905 (707802), страница 4
Текст из файла (страница 4)
Эта система может быть положена в основу синтеза алгоритмов нелинейной фильтрации для получения оценок
,
,
, идентификации
,
,
,
,
,
.
Для вычисления оценок параметров
,
,
,
,
,
, и т.д. необходимо определить математические ожидания этих функций на основе плотности распределения оценок
,
,
,
,
,
. Поскольку этот путь связан с громоздкими вычислениями многомерных интегралов, можно использовать более простой, но приближенный способ, согласно которому оценки перечисленных параметров вычисляются по определенным формулам, куда в качестве
,
,
,
,
,
входят их оценки. Используя информацию об этих оценках, можно определить значения относительных скоростей и ускорений в траекторной СК ведущего ЛА, сформировать программные значения.
Таким образом, основная задача состоит в определении оценок
,
,
,
,
,
. Конкретному рассмотрению алгоритмов оценивания и идентификации параметров относительного движения ЛА предпошлем краткое изложение некоторых общих принципов их построения.
Методически исследование по выбору алгоритмов обработки информации в СМСН ДПЛА проводилось по следующей схеме Это, в первую очередь, касалось замены исходной нелинейной модели состояния и наблюдений тем или иным приближением и построение алгоритма оценивания на основе такой аппроксимации. Во-первых, для решения поставленной проблемы используется подход, основанный на дискретной аппроксимации динамической модели относительного движения. Это позволяет наиболее эффективно реализовать алгоритмы нелинейной фильтрации в БЦВМ, в основу которых положены дискретные методы оценивания. Во-вторых, нелинейные уравнения модели и наблюдений раскладываются в ряд Тейлора до членов первого порядка включительно относительно оценки на предыдущем шаге. В-третьих, в качестве математических моделей идентифицируемых параметров системы используются локальные модели, описывающие изменения параметров лишь в узком диапазоне изменения времени. Простейшей локальной моделью изменения параметров является следующая:
| | (14) |
где
вектор параметров,
время.
Другая локальная модель изменения параметров может быть представлена в виде:
| | (15) |
| |
где вектор
подлежит оценке наряду с вектором
. В дискретном виде эти модели можно записать соответственно как
| | (16) |
и
| | (17) |
| |
В принципе, значение степени полинома можно повысить, но это усложнение приводит лишь к незначительному увеличению точности оценки.
В введении таких моделей состоит способ расширения вектора состояния, позволяющий получить принципиальное решение задачи совместной идентификации параметров и оценивания вектора состояния. Включая в число компонент расширенного вектора состояния
параметры вектора локальной модели (16), получим уравнения динамической системы двенадцатого порядка.
Однако здесь возникает ряд проблем вычислительного порядка, связанных с увеличением размерности задачи оценивания, что ведет к значительному увеличению объема вычислений, и как следствие - к неустойчивости машинных алгоритмов.
В таких условиях чрезвычайно важное, если не решающее, значение приобретает исследование возможностей сведения исходной задачи совместной идентификации, имеющей большую размерность, к задачам меньшей размерности, т.е. возможностей декомпозиции задачи оценивания расширенного вектора состояния (сведение ее к задачам меньшей размерности).
Поэтому в данной работе в качестве одного из путей построения алгоритма оценивания в СМСН ДПЛА предлагается сначала провести идентификацию параметров
,
,
и оценить параметры
,
,
, a затем, уже с учетом этой информации, осуществить идентификацию параметров
,
,
. В свете этих предложений идентификацию параметров целесообразно осуществлять в два этапа. Таким образом, идея этого метода интересна, так как позволяет существенно упростить алгоритмы обработки информации СМСН ДПЛА. Следуя намеченной схеме, решение задачи нелинейной фильтрации при поиске оценок параметров относительного движения ЛА ищется с помощью модифицированного нелинейного фильтра.
При решении практических задач идентификации возникает проблема обеспечения устойчивости процессов обработки информации. В некоторых случаях реальные ошибки оценивания могут во много раз превосходить расчетные значения, характеризуемые матрицей ковариации ошибок оценивания. Наиболее часто встречающимся источником расходимости являются неточности моделей состояния и наблюдения, неточность задания характеристик шумов и т.д. Так как синтез алгоритмов обычно проводится в условиях априорной неопределенности, то для ее преодоления используют различные адаптивные алгоритмы.
В данной работе с целью устранения в определенных пределах незнания о характеристиках шумов измерений используется идея J-адаптивного фильтра. Такое название он получил по первой букве фамилии автора “J” предложивший алгоритм J-адаптивного фильтра для дискретных систем в работе [7].
В работе [7] J-адаптивный фильтр использован для оценивания параметров движения баллистического объекта: положения и скорости, а также для оценивания вектора аэродинамических параметров (коэффициентов лобового сопротивления и подъемной силы) или составляющих вектора немоделируемых ускорений по осям декартовой СК. Как указано в этой работе, J-адаптивный фильтр идентифицирует 99% немоделируемых ускорений.
Пусть динамика системы описывается следующим нелинейным уравнением:
| | (18) |
В дискретной форме это уравнение (с точностью до членов второго порядка) будет иметь вид [7]:
| | (19) |
где
вектор состояния размерности
,
непрерывная векторная функция, которая по крайней мере дважды дифференцируема по своим аргументам,
| | (20) |
матрица Якоби вектор-функции
, a
отражает погрешность дискретизации и неопределенности моделирования в уравнении динамики. Предполагается, что
является белой гауссовской последовательностью с нулевым средним и матрицей ковариации
:
| | (21) |
| |
где
дельта-функция Кронекера.
Начальное значение вектора состояния
принимается гауссовской случайной переменной с известными средним значением и матрицей ковариации вида:
| | (22) |
Процесс измерения описывается уравнением:
| | (23) |
| |
где
вектор погрешностей измерений типа белой последовательности с нулевым средним и матрицей ковариации
,
вектор размерности
,
непрерывная векторная функция, дважды дифференцируемая по своим аргументам.
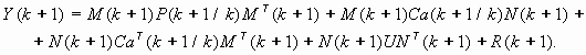
Тогда обобщенный калмановский фильтр описывается следующими уравнениями:
| | (24) |
| | (25) |
где
весовая матрица (матрица коэффициентов усиления фильтра).
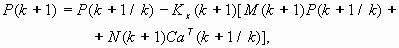
Уравнения экстраполяции матрицы ковариации:
| | (26) |
| |
Уравнения коррекции матрицы ковариации:
| | (27) |
| |
Далее на основе [8] рассмотрим метод получения J-адаптивного нелинейного фильтра.
Предполагается, что в уравнения состояния и измерений входят одни и те же определенные параметры, величины которых известны неточно. Такие параметры можно представить как случайные переменные с заранее известной статистикой
,
При этом предполагается, что
,
,
,
некоррелированы, и матрица ковариации
остается неизменной на всем временном интервале процесса оценивания.
При синтезе фильтра в вектор состояния
включается вектор
. Вводя для вектора параметров уравнения вида
| | (28) |
можно получить расширенную систему уравнений с вектором состояния:
| | (29) |
и уравнениями измерений:
| | (30) |
В этом случае динамические уравнения расширенной системы запишутся в виде
| | (31) |
| |
Применяя к этой системе нелинейный фильтр можно получить оценки как вектора
, так и вектора
.
Далее, используя метод изложенный в работе [9], легко получить уравнения J-адаптивного фильтра. Уравнения J-адаптивного фильтра получаются [9] с помощью расширения вектора состояния
путем присоединения переменной
, записи расширенного фильтра в виде отдельных уравнений и отбрасывания уравнений для ковариационной матрицы
.
В соответствии с этим методом матрица ковариации ошибок оценивания представляется в виде:
| | (32) |
где
| | (33) |
| |
Матрицу
можно представить в виде
| где | (34) |
| |
| | (35) |
| |
где
| | (36) |
| | |
| |
Окончательный вид уравнений J-адаптивного фильтра будет следующий:
| | (37) |
| | |
| | |
| | |
| | |
| | |
| |
Заключение















