73110-1 (707710), страница 3
Текст из файла (страница 3)
где
- среднеквадратическое отклонение модельных и точных значений соответствующего параметра для наблюдений контрольной выборки.
Аналогичная схема была положена в основу синтеза других ИТ обработки сигналов, в частности, медицинских ИТ для диагностики заболеваний человека по кривым биохемилюминисценсии (БХЛ), электрокардиограмме (ЭКГ) и магнитокардиограмме (МКГ).
В отличие от принятого в кардиологической практике амплитудно-временного анализа был предложен новый подход к обработке ЭКГ [13-16], основанный на ее представлении в фазовом пространстве координат. Применение этого подхода для обработки ЭКГ в 12 стандартных отведениях позволило обнаружить новые диагностические признаки для распознавания больных ревматоидным артритом с неизмененными параметрами ЭКГ согласно традиционным представлениям [17].
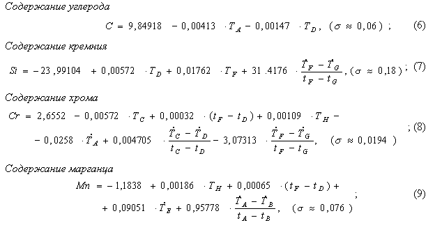
Одна из задач исследований, проводимых в рамках международного контракта № 01 KX 96115/1 с германской фирмой L.U.M. GmbH (г. Берлин), была направлена на изучение взаимосвязи параметров ЭКГ (во временной области и в фазовом пространстве) с параметрами крови, отражающими активность воспалительного процесса. Для изучения этих зависимостей был привлечен комбинаторный алгоритм МГУА [3]. В качестве потенциальных регрессоров использовались 33 показателя результатов анализа венозной крови испытуемых - развернутый общий анализ, коагулограмма, печеночные пробы и ревмопробы (таблица 3).
Таблица 3. Потенциальные регрессоры
| Обозначение | Наименование |
| ERY | Эритроциты, x10e12 |
| HGB | Гемоглобин, г/л |
| COL | Цветной показатель |
| RET | Ретикулоциты, % |
| LEU | Лейкоциты, x10e9 |
| BAS | Базофилы, % |
| EOS | Эозинофилы, % |
| PLN | Палочкоядерные нейтрофилы, % |
| SGN | Сегментоядерные нейтрофилы,% |
| LYM | Лимфоциты, % |
| MON | Моноциты, % |
| SOE | Скорость оседания эритроцитов, мм/г |
| PTI | Протомбиновый индекс, % |
| REC | Время рекальцификации,сек. |
| FIB | Фибрин, мг |
| FBG | Фибриноген, мг/л |
| BNA | Бета-нафтоловый тест |
| ETH | Етаноловый тест |
| BIL | Биллирубин общий, микромол/л |
| TIM | Тимоловая проба |
| FRM | Фермоловая проба |
| ALT | Аланиновая трансфераза |
| AST | Аспаргиновая трансфераза |
| MUK | Мукопротеины |
| BEL | Общий белок, г/л |
| ALB | Альбумины, % |
| GLB | Глобулины, % |
| A1G | Aльфа-1 глобулин, % |
| A2G | Aльфа-2 глобулин, % |
| BGL | Бета-глобулин, % |
| GGL | Гамма-глобулин, % |
| ASL | Антистрептомицин-O, МВ/мл |
| CRP | C-реактивный протеин |
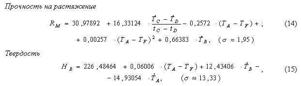
В результате селекции построены модели, связывающие показатели ЭКГ (отклики) с указанными регрессорами в виде линейных уравнений множественной регрессии оптимальной сложности. Так, например, установлено, что существуют надежные статистические связи относительных углов ориентации усредненной фазовой траектории ЭКГ во втором стандартном (отклик
) и в пятом грудном (отклик
) отведениях с параметрами крови. Эти модели имеют вид:
где
- коэффициентом множественной корреляции, а
- число наблюдений.
Заключение. В статье показано, что вульгаризация идеи метода самоорганизации моделей, вызванная недопонимания его основной сути, может приводить к необоснованному пессимизму в оценке практической ценности алгоритмов МГУА.
Показано, что реалистичный подход к использованию алгоритмов самоорганизации в задаче синтеза ИТ обработки сигналов, основан на двухэтапном решении задачи. Первый этап предусматривает переход от исходного пространства наблюдений к обоснованному набору потенциально полезных признаков (потенциальных регрессоров) на основе имеющейся априорной информации или разумных эвристик. В результате на втором этапе применение алгоритмов МГУА позволяет сконструировать модели оптимальной сложности, позволяющие косвенно оценивать параметры объекта и диагностировать его функциональное состояние.
Приведены практические результаты применения такого подхода, которые еще раз подтверждают эффективность разумного использования алгоритмов самоорганизации для решения сложных прикладных задач.
Список литературы
Ивахненко А.Г. Индуктивный метод самоорганизации моделей сложных систем. – К.: Наук. думка, 1982. – 360 с.
Ивахненко А.Г., Мюллер И.А. Самоорганизация прогнозирующих моделей .- К.: Техника, 1984.- 350 с.
Ивахненко А.Г., Степашко В.С. Помехоустойчивое моделирование. – К.: Наук. Думка, 1985.- 300 с.
Ивахненко А.Г., Юрачковский Ю.П. Моделирование сложных систем по экспериментальным данным .- М.: Радио и связь, 1987.- 120 с.
Файнзильберг Л.С. Синтез информационных технологий обработки сигналов в задачах косвенного контроля и диагностики // УСиМ . – 1998. - № 2 .- С. 40-47.
Белкин А.В., Левин М.Ш. Принятие решений: комбинаторные модели аппроксимации информации. - М.: Наука, 1990.- 160 с.
Мурашко В.В., Струтинский А.В. Электрокардиография .- М.: Медицина, 1991.- 288 с.
Иванцов Г.П. Теплообмен между слитком и изложницей .- М.: Металлургиздат, 1951.- 39 с.
Технология // Советский энциклопедический словарь .- М.: Советская энциклопедия, 1988.- С. 1330.
Гуляев А.П. Металловедение .- М.: Металлургия, 1966.- 478 с.
Скурихин В.И., Файнзильберг Л.С., Потапова Т.П. , Шелковый. Э.А. Система компьютерной обработки термограмм .- УСиМ .- 1990.- № 4.- С.82-88.
Скурихин В.И., Файнзильберг Л.С., Потапова Т.П. Инструментальная система “СИДИГРАФ” для синтеза информационных технологий обработки сигналов // УСиМ.- 1996.- № 6.- С. 36-45.
Спосіб інтегральної оцінки поточного стану серцево-судинної системи людини. Патент 24517 (Украина).- МКИ А 61 В 5/024/ Л.С. Файнзільберг .- Заявл. 21.05.98; опубл. 30.10.98.- Бюл. № 5. - 4 с. ил.
Файнзильберг Л.С. Информационная технология для диагностики функционального состояния оператора // УСиМ. - 1998, N 4 - С. 40-45.
Fainzilberg L., Potapova T. Computer Analysis and Recognition of Cognitive Phase Space Electro-Cardio Graphic Image// Proc.of the 6-th Int. Conf. on Computer Analysis of Images and Patterns (Prague, Sept. 1995). - Prague: Springer, 1995. p. 668-673.
Fainzilberg L.S. Heart Functional State Diagnostic Using Pattern Recognition of Phase Space ECG-Images.- Proceeding of The 6th European Congress on Intelligent Techniques and Soft Computing (EUFIT '98, Aachen, Germany, September 7 - 10, 1998).- Nr: B-27, Vol. 3, p.p. 1878-1882.
Файнзильберг Л.С., Клубова А.Ф. , Стаднюк Л.А., Чайковский И.А., Дитмар Лерхе Новый метод анализа ЭКГ больных ревматоидным артритом // Украинский ревматологический журнал. – 2001, № 2 (4).- С.48-51.
Для подготовки данной работы были использованы материалы с сайта http://www.sciteclibrary.ru/















