73097-1 (707705), страница 2
Текст из файла (страница 2)
где R - расстояние между зарядами. На каждый из зарядов со стороны магнитного поля, создаваемого другим зарядом будет действовать сила Лоренца FL1, FL2, так что суммарная сила Лоренца в системе FL = FL1 + FL2. Отсюда после подстановок и алгебраических преобразование получим:
(4)
Так как, по условию задачи, заряды q1, q2 колеблются по гармоническому закону, то они совершают ускорения w1, w2, индуцируя электрические поля. При этом на заряд q2 (q1) со стороны поля индукции, образуемого зарядом q1 (q2) будет действовать сила F2i (F1i):
(5)
В свою очередь, заряд q1 (q2) будет испытывать влияние, так называемой, магнитодинамической силы F1m (F2m) со стороны поля заряда q2 (q1). Эта, известная из классической электродинамики, но редко встречающаяся на страницах научной литературы, сила появляется при изменении намагниченности вещества в присутствии электрического поля [5],[6]. Применительно к ускоренно движущимся зарядам, она подробно рассмотрена на сайте [http://www.tts.lt/~nara] (раздел "Академический вариант", "Аспекты" - статья "Таково мнение магнитодинамической силы"), а также в одноименной статье . Эта сила равна по величине и противоположна по направлению, возбуждаемой ею силе индукции:
(6)
Следовательно, все силы индукции компенсируются силами магнитодинамическими и, по этой причине, не дают никакого вклада в равнодействующую системы (поэтому, как и кулоновские силы, не показаны на чертеже).
Заметим, что рассмотренное выше индукционное электрическое поле Ei, в другом аспекте, есть нечто иное, как электрическая компонента дипольного электромагнитного излучения, возбуждаемого ускоренно движущимся зарядом. Ему соответствует магнитная компонента Hi, влияние которой тоже следует учитывать, т. к она будет вносить свой вклад в испытываемую частицами силу Лоренца. Найдем отношение величины силы Лоренца Fw, возбуждаемой магнитной компонентой волнового излучения Hw, зависящей от ускорения w заряда, к силе Лоренца Fu, возбуждаемой магнитным полем Hu, определяемым его скоростью u. Получим:
Fw/ Fu = Hw/ Hu = 2p R/l = kR
где l - длина волны, k - волновое число. Отсюда заключаем, что принятое нами условие, малости размеров системы, по сравнению с длиной волны, позволяет не учитывать влияние магнитной компоненты волнового излучения.
Получается так, что равнодействующую F рассматриваемой системы двух зарядов определяют одни только силы Лоренца:
F = FL (7)
Все остальные участвующие во взаимодействии зарядов силы либо взаимно уничтожаются, либо пренебрежимо малы.
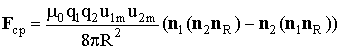
Так как, по условию задачи, скорости изменяются синфазно по гармоническому закону, то полагая, u1 = u1mcosw t, u2 = u2mcosw t (u1m, u2m - амплитуды скоростей частиц ), и, пользуясь (4), можно найти усредненную по времени равнодействующую системы Fср:
(8)
где n1, n2 - единичные векторы вдоль принятых за положительные направлений скоростей зарядов, nR- единичный вектор вдоль направления радиус-вектора расстояния между зарядами.
Формула (8) показывает, что равнодействующая системы двух движущихся зарядов, представляющая собой суммарную силу Лоренца, отлична от нуля и имеет постоянное направление.
Следует отметить, что ограничение R<>l равнодействующая все также равна суммарной силе Лоренца, хотя последняя определяется уже не скоростью, а ускорением зарядов. Из-за явления запаздывания будут взаимно уничтожаться не мгновенные, а средние значения индукционных и магнитодинамических сил, что не отразится на равнодействующей системы.
Возвращаясь к вибраторам, видим, что действующие на них силы могут быть найдены как результат интегрирования по парам рассмотренных нами осциллирующих зарядов. После интегрирования силы взаимодействия между движущимися зарядами будут сведены к взаимодействию токов. Отсюда, равнодействующая для систем, изображенных на Рис. 2 есть не что иное как результирующая сила Ампера, действующая на участки проводников с токами, текущими в магнитных полях, создаваемым другими участками проводников с токами.
Вычисления дают следующие результаты для амплитудного значения равнодействующей F вибраторов, по которым течет ток I.
Г-образный контур (Рис. 2а), согнутый из проволоки, радиусом r, при условии d< П-образный контур (Рис. 2б), согнутый из проволоки, радиусом r, d< П-образная структура (Рис. 2в) с проводящими тонкими плоскими поверхностями d< Цилиндрический вибратор (Рис. 2г). Расстояние между внутренним и внешним цилиндрами d намного меньше их радиусов R1, R2 и длины образующей l. Аналогичный вид будут иметь формулы, вычисленные для линейных и объемных вибраторов других форм. Обратим внимание на то, что, во всех случаях, результирующая сила зависит от квадрата возбуждаемого тока. По физическому смыслу она эквивалентна силе Ампера на что, независимо от автора настоящей статьи, обратил внимание московский физик Александр Кушелев, который впервые экспериментально зарегистрировал эффект действия этой силы в системе, содержащей линейные Г-образные резонаторы [7] (см. сайт ). Метод, с помощью которого получены формулы (9) - (12), выходит далеко за пределы рассмотренных частных случаев. Формула (7), утверждающая, что равнодействующая систем, содержащих движущие заряды, сводится к результирующей силе Лоренца (Ампера) носит универсальный характер. Она приложима к проводникам, диэлектрикам, плазме и др. содержащим движущиеся заряды системам, на которые распространяются законы классической электродинамики. На микроуровне эта формула должна иметь квантовый аналог. Свойствами возбуждать аналогичные силы могут обладать так же и молекулы при их взаимодействии с электромагнитным излучением ( в Интернете, к сожалению, без конкретной ссылки, проскочило сообщение, что такие молекулы уже найдены европейскими учеными (в Германии) и что они имеют вытянутую клиновидную форму. С ними связывают новые перспективы получения энергии). Таким образом, токи, текущие в системах, подобных изображенным на Рис. 2 возбуждают постоянные по направлению силы Ампера, которые, как показано в Части 1, не встречают противодействия со стороны вещества и поля, в силу чего, получили условное название "безреактивных" [4]. Условное потому, что противодействие все-таки существует, хотя и со стороны неизвестной современной науке формы материи "электровакуума", являющейся составной частью физического вакуума (эфира) см. [4] и [сайт]. Согласно доказанной теореме [4], [сайт], безреактивные силы совершают работу за счет убыли энергии электровакуума, тем самым открывая возможность новых способов получения энергии. Доказательство теоремы основано на требовании выполнения принципа относительности Галилея, всегда справедливого для малых скоростей. Если бы энергия поступала от вещественных (или полевых) содержащихся в системе источников питания, то ее количество было бы различным для наблюдателей, движущихся с различными скоростями, что является абсурдом. Гипотеза электромагнитного эфира, как оказывается, совершенно напрасно изгнанная из науки релятивистами, приобретает статус нового закона природы. Существование электромагнитного эфира (электровакуума), способного обмениваться энергией с веществом, не только не противоречит принципу относительности, но и вытекает из него, как прямое следствие. Оценим величины безреактивных сил, которые могут быть практически реализованы в подобных рассматриваемым системах. Можно заметить, что П- образный резонатор по своей структуре вполне подобен резонансной полости такого прибора, как магнетрон или лампа бегущей волны (ЛБВМ). Формула (11) позволяет оценить порядок величин сил, задавшись текущими через полости максимальными токами, определяемыми максимальными мощностями устройств. Заглянем в таблицу ниже: Частота, ГГц Сила, действующая на один резонатор, Г Плотность силы, Т/м3 0,5 850 0,7 1 200 1,5 10 2 15 36 0,17 50 Можно видеть, что сила, действующая на единичный полостной резонатор падает с ростом частоты, но так как размеры полости уменьшаются, объемная плотность силы возрастает. Цифры плотности силы говорят сами за себя. Продолжение этого принципа до длины волны 1 мм позволит довести плотность силы до 500 тонн на кубометр. Таким образом, на магнетронах и ЛБВ можно летать уже сегодня. Конечно не в прямом смысле. Нужно на основе магнетронов и ЛБВ спроектировать двигательные установки, которые будут, в определенном смысле, значительно проще, чем сами исходные приборы, потому что не должны генерировать никакой активной мощности, только реактивную т. е. ту, которую исходные изделия дают на холостом ходу. Правда, есть одно препятствие. Каждый килограмм силы, развиваемой таким способом, будет сопровождаться непомерно большими, мегаваттными, затратами мощности на тепловые потери (цифры, приведенные в таблице, реализуются лишь в течение коротких импульсов). Проблему можно решить, используя сверхпроводящие материалы. В этом случае, безреактивные силы будут определяться лишь предельными величинами электрических и магнитных полей, которые способны выдержать материалы. Плотность подъемной силы даже в области сравнительно низких частот 10-100 МГц может достигнуть 20 Т/м3, а в миллиметровом диапазоне - 40 000 Т/м3. На молекулярном уровне эти цифры могут быть еще на несколько порядков выше. Энергетика и навигация ждут и мечтают о безреактивных силах, которых им так не хватает. Различные практические аспекты применения безреактивных сил более подробно описаны в [4] и на [сайте] или в статье . Отметим, что безреактивные силы Ампера могут возбуждаться не только свободными, но связанными токами (см. статью ). Заключение В настоящей статье речь идет, по существу, о новых законах природы, полученных как прямое следствие фундаментальных положений классической электродинамики и механики. Сила Лоренца (Ампера) самим своим существованием заявляет, что природа никак не может обойтись без неизвестной современной науке формы материи, не сводимой ни к веществу ни к полю, иначе не будет выполняться закон сохранения количества движения. Неизвестной именно современной ортодоксальной науке, из которой представление об этой форме материи, ранее известной под названием "электромагнитный эфир" или просто "эфир" (у автора настоящей статьи "электровакуум") исключили, не имея для этого никаких оснований, именующие себя последователями А. Эйнштейна релятивисты , вопреки мнению самого А. Эйнштейна, изложенного в его трудах, не говоря уже о таких основоположниках электродинамики, как Д. Максвелл и Г. Лоренц. Силы Лоренца (Ампера), в определенных условиях, не находят противодействия со стороны вещества и поля и только факт взаимодействия с электровакуумом (электромагнитным эфиром) делает возможным выполнение закона сохранения импульса. Название "безреактивные", употребляемое применительно к этим силам, - условное, т. к. реакцию противодействия создает электровакуум. Принцип относительности Галилея, всегда справедливый для малых скоростей, требует, чтобы работа безреактивных сил осуществлялась за счет убыли энергии электровакуума, что открывает новые пути для энергетики. Таким образом, вопреки мнению релятивистов, относительность не исключает, а, наоборот, утверждает существование эфира (электровакуума). Кто-то скажет, что материя, не сводимая к веществу и полю в современной науке все-таки есть - это физический вакуум, без которого не обходится квантовая физика. В определенной степени, это так, но существующее понимание физического вакуума как объекта, проявляющего себя лишь на уровне взаимодействий, присущих микромиру, значительно уже того, что открывает классическая электродинамика, охватывающая и макроскопические аспекты взаимодействия этой формы материи с веществом. Можно смело сказать, что классическая электродинамика устанавливает существование эфира (точнее, его структурной части - электровакуума) как новый закон природы. Какой ужас для релятивистов. Новые законы природы открывают качественно новые пути человеческой деятельности. Список литературы И.Е.Тамм. Основы теории электричества. Издательство технико-теоретической литературы, М.,”НАУКА”, 1989, с. 166 Фейнман, Лейтон, Сэндс. Фейнмановские лекции по физике, т.6, изд-во “Мир”, 1977, стр. 270 G.M.Graham, D.G.Lahoz. Nature, 285, 154, 1980 Иванов Г. П. Классическая электродинамика и современность. Висагинас (Литва), 2002 г. D.G.Lahoz, G.M.Graham. Can. J. Phys., 57, No5, 1979, p.667-676. Л. Д. Ландау и Е. М. Лифшиц. Электродинамика сплошных сред. М., 1973, с. 307. A. Kushelev a.a. Aircraft engineering and aerospace technology: Volume 72, #4, 2000, pp. 365-366. Для подготовки данной работы были использованы материалы с сайта http://www.sciteclibrary.ru/
(9)
(10)















