70914-1 (707677)
Текст из файла
Преобразования Лоренца, постоянство скорости света и требование однородности времени.
С. В. Мельничук
В работе обсуждается довольно устоявшегося раздела физики, а именно приложений преобразований Лоренца в кинематике весомой материи. Рассматривается проблема совместимости требований постоянства скорости света и однородности времени в преобразованиях Лоренца. Делается акцент на том, что первоосновы таких понятий как пространство и время будут отождествляться с состоянием системы отсчета (мерой пространственно-временных характеристик), а не результатами ее использования (координатами). Связывая понятие пространства с его мерой (стержни с метрической меткой), показано, что действие преобразований Лоренца приводит к анизотропии, как пространства, так и времени. Предлагается способ решения проблемы анизотропии времени, при переходе к описанию явлений макромира.
Инвариантность уравнений Максвелла при переходах между инерциальными системами отсчета
Введение
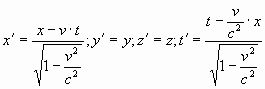
Выражения:
(1)
были получены Лоренцем, как преобразования координат и времени, оставляющие инвариантными вид уравнений Максвелла во всех инерциальных системах отсчета, при условии постоянства скорости распространения электромагнитного поля. Решаемая им задача может быть сформулирована следующим образом. Рассматриваются две системы отсчета. Первая считается покоящейся, вторая движущейся относительно первой с постоянной скоростью
. Координаты событий и компоненты поля в покоящейся системе отсчета обозначают
и
. Они считаются заданными или исходными. Координаты событий и компоненты поля в движущейся системе отсчета обозначают:
и
. Они считаются искомыми. Согласно Максвеллу, записываются шесть уравнений для компонент свободного электромагнитного поля в покоящейся и движущейся системах отсчета:
(2)
Где
(3)
Требуется найти такую взаимосвязь всех штрихованных переменных с не штрихованными переменными, чтобы после их соответствующей подстановки, штрихованные уравнения перешли в не штрихованные, без изменяя своего вида.
Рассмотрим простой случай свободного электромагнитного поля в вакууме с плоским фронтом волны. Это поперечный волновой процесс, в котором вектора электрического и магнитного поля ортогональны друг другу, а так же направлению своего распространения. Следовательно, можно выбрать направление осей покоящейся системы координат таким образом, что компоненты электрического и магнитного поля будут иметь только по одной составляющей. Для определенности положим:
(4)
т.е. электрическое поле направленно вдоль оси
, магнитное поле вдоль оси
. Ось
совпадает с направлением распространения электромагнитного поля. С учетом этого система (2) принимает вид:
(5)
Является очевидным, что с математической точки зрения, данная система уравнений неразрешима однозначно. Для ее решения Лоренцу пришлось обратиться к ряду физических требований (автор не оспаривает их разумности), а именно: искомые преобразования для пространственно-временных переменных должны быть линейными, координаты событий вдоль направлений ортогональных направлению перемещения движущейся системы отсчета преобразуются тождественно. Поэтому решение, представленное Лоренцем, нельзя назвать строгим, в том плане, что вводимые ограничения не позволяют говорить об общем классе решений, оставляющих уравнения Максвелла инвариантными.
Решение поставленной задачи можно будет считать строгим, если его разбить на два этапа. Первый - поиск в рамках электромагнитной теории не зависимой от (5) задачи, приводящей к искомым преобразованиям координат и времени. Второй – на основании известных преобразований пространственно-временных переменных и уравнений Максвелла установить взаимосвязь между компонентами электромагнитного поля в движущихся друг относительно друга системах отсчета. Второй этап не вызывает затруднений при условии выполнимости первого этапа.
Принято считать, что одним из способов снятия проблемы первого этапа, является решение задачи о вспышке света представленной в работе [1]. Переходя к рассмотрению этой задачи, заметим общеизвестный факт, что преобразования Лоренца так же могут быть получены из требований инерциальности рассматриваемых систем отсчета (дробно линейные преобразования Лоренца-Фока). Из этого же требования вытекает постоянство скорости (света) объектов, координаты которых связывают эти преобразования в различных системах отсчета. Далее, основываясь на анализе преобразований Лоренца, будут установлены причинно-следственные связи природы не одновременности, в соответствии с этим очерчен круг проблем, в решении которых, требование постоянства скорости света определит свою особую роль.
Задача о вспышке света
В виду принципиальности рассматриваемого вопроса и для того, чтобы далее не возникало разночтений, задача формулируется полностью.
Пусть имеется две системы отсчета
и
начала, которых совпадали в некий момент времени. Показания часов этих систем отсчета в этот момент времени считаем синхронизованными и равными нулю. Систему отсчета
условимся считать покоящейся, а систему отсчета
движущейся со скоростью
в положительном направлении оси
покоящейся системы отсчета. Расположим в начале системы отсчета
точечный источник, который в момент
дает сферически симметричную вспышку света. Эту систему отсчета считаем избранной, в том смысле, что источник света и ее начало покоятся друг относительно друга. Поскольку скорость света не зависит от выбора системы отсчета, то наблюдатель
системы также должен видеть вспышку света как сферическую поверхность, центр которой находится в начале его системы отсчета. Вспышка может считаться сферической, если свет одновременно достигает равноудаленных точек пространства. Промежуток времени, в течение которого производится вспышка, полагается бесконечно малым, по сравнению с интервалом времени, по истечению которого происходит регистрация событий.
Наблюдатели в обеих системах отсчета следят за вспышкой с момента ее возникновения. Для них вспышка сопоставима с множеством событий, которые появляются одновременно из одной точки и начинают распространяться во всех направлениях с одинаковой скоростью. Эти события, перемещаясь в пространстве, существуют одновременно. Исходным требованием является то, чтобы для обоих наблюдателей, поверхность, образованная множеством появившихся событий, одновременно достигала равноудаленных точек от начал координат, их систем отсчета. Постановка задачи заключается в том, чтобы найти связь между координатами событий в этих системах отсчета. Таким образом:
Преобразования должны переводить световую сферу покоящейся системы отсчета в световую сферу движущейся системы отсчета.
Трактовка сути происходящих явлений в движущейся системе отсчета, с точки зрения покоящегося наблюдателя, основанная на найденных преобразованиях, не должна содержать противоречий.
Является очевидным, что при рассмотрении любого конкретного случая
происходит геометризация задачи, т.е. фактор времени становится несущественным.
Математическим выражением пункта 1 является запись двух уравнений (см. например [2]):
, (6)
где
и
- координаты одного и того же события (показания приборов) покоящейся и движущейся систем отсчета, соответственно. Воспользовавшись, также как и Лоренц, его требованиями, принято искать преобразования в виде:
, (7)
, (8)
где связь между переменными обеих систем отсчета устанавливается с помощью коэффициентов, которые могут зависеть только от скорости относительного движения (однородность пространства и времени). Приравнивая уравнения (6) между собой и совершая в новое уравнение подстановку равенств (7) и (8) можно найти вид коэффициентов
. Преобразования (7) и (8) с найденными коэффициентами являются преобразованиями Лоренца (1).
Установив вид этих преобразований, Эйнштейн проверяет совместимость двух постулатов СТО следующим образом. Цитата из работы [1]:
“ Пусть в момент времени
из общего в этот момент для обеих систем начала координат посылается сферическая волна, которая распространяется в системе
со скоростью
. Если
есть точка, в которую приходит эта волна, то мы имеем
Преобразуем это уравнение с помощью записанных выше формул преобразования; тогда получим
И так, рассматриваемая волна, наблюдаемая в движущейся системе, также является шаровой волной, распространяющейся со скоростью
. Тем самым доказано, что наши два принципа совместимы” - конец цитаты.
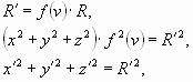
Таким образом, на основании совпадения формы этих уравнений, сделан вывод, что преобразования Лоренца переводят сферическую поверхность в покоящейся системе отсчета в сферическую поверхность в движущейся системе отсчета. Тем самым было доказано соответствие преобразований (1) первому пункту исходных требований задачи о вспышке света и, является общепризнанным в физике. Однако, данное доказательство вызывает сомнение, исходя из рассуждений, которые приводятся ниже.
Если имеется сфера радиуса
(геометризация задачи) в покоящейся системе отсчета:
(9)
то она может быть переведена в сферу движущейся системы отсчета только умножением радиуса заданной сферы на константу:
(10)
где
Характеристики
Тип файла документ
Документы такого типа открываются такими программами, как Microsoft Office Word на компьютерах Windows, Apple Pages на компьютерах Mac, Open Office - бесплатная альтернатива на различных платформах, в том числе Linux. Наиболее простым и современным решением будут Google документы, так как открываются онлайн без скачивания прямо в браузере на любой платформе. Существуют российские качественные аналоги, например от Яндекса.
Будьте внимательны на мобильных устройствах, так как там используются упрощённый функционал даже в официальном приложении от Microsoft, поэтому для просмотра скачивайте PDF-версию. А если нужно редактировать файл, то используйте оригинальный файл.
Файлы такого типа обычно разбиты на страницы, а текст может быть форматированным (жирный, курсив, выбор шрифта, таблицы и т.п.), а также в него можно добавлять изображения. Формат идеально подходит для рефератов, докладов и РПЗ курсовых проектов, которые необходимо распечатать. Кстати перед печатью также сохраняйте файл в PDF, так как принтер может начудить со шрифтами.















