70883-1 (707667)
Текст из файла
Теория абсолютного движения
Е. Бородулин
АД теория не опирается на постулат относительности, проста, логична, не вводит гипотетические объекты (“эфир”, “темные силы“ и т.д.), не противоречит известным экспериментальным данным. По сравнению с ранее известными теориями (теорией светоносного эфира, специальной теорией относительности) АД теория отвечает на более широкий круг вопросов (в частности на основе этой теории объясняется эффект разбегания галактик).
Исходные положения и определения
1.1 Пространство бесконечно и однородно по любым направлениям
1.2 Электромагнитные колебания в пространстве распространяются прямолинейно, с постоянной скоростью вне зависимости от скорости движения источника.
1.3 Абсолютная скорость - скорость рассматриваемого объекта по отношению к неподвижному объекту (неподвижной системе координат) в относительной форме, т.е. V/с (где с - скорость света), может находиться в пределах от 0 до 1.
1.4 Относительная скорость - скорость рассматриваемого объекта относительно начала выбранной системы координат в относительной форме, т.е. V/с (где с - скорость света), может находиться в пределах от 0 до 2.
1.5 Скорости всех реальных физических объектов ограничены сферой, центром которой является неподвижная система координат (объект), а радиус соответствует максимальной относительной скорости, т. е. 1. Каждой точке внутри сферы могут соответствовать скорости неограниченно большого числа объектов. Если известны положения точек скоростей разных объектов, легко определяется относительная скорость между объектами после построения “круга скоростей”. “Круг скоростей” (большой круг) получается в результате сечения сферы воображаемой плоскостью, проходящей через центр сферы и две точки, соответствующие скоростям двух рассматриваемых объектов. С помощью “круга скоростей” можно определить величину эффекта Доплера.
1.6. При рассмотрении явлений относительно неподвижной системы координат справедливы математические соотношения известные из специальной теории относительности.
Определение неподвижного объекта
Скорость движения является объективной характеристикой состояния реального объекта (далее “объекта”), определяется начальными условиями и действующими на объект силами.
Рассмотрим движение пробных тел при экспериментах на объекте. Выбираем массу пробных тел много меньше массы объекта. Если затрачивать строго одинаковые количества энергии для ускорения пробных тел в различных направлениях от объекта, то, измеряя скорости пробных тел, можно по результатам этих измерений построить “сферу скоростей”. (Название-“сфера скоростей” условно, так как по реальным измерениям построенное тело представляет собой набор векторов скоростей, которые могут отличаться друг от друга по величине).
При определенном состоянии объекта “сфера скоростей” будет строго симметричной (то есть скорости будут равны по величине), такой объект мы назовем неподвижным.
Определение абсолютной скорости движения
Предположим, что на неподвижном объекте (объект №1) после приложения энергии E пробное тело приобретает скорость V. Теперь рассмотрим такой же объект, который движется со скоростью U от неподвижного объекта (объект №2).
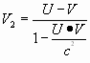
Проведем аналогичные эксперименты на объекте №2, затрачивая такую же энергию E для ускорения пробного тела. При совпадении направлений векторов скоростей объекта №2 и пробного тела, пробное тело относительно неподвижного объекта №1 приобретет скорость V1, вычисляемую по известной формуле
Если векторы скоростей пробного тел и объекта №2 направлены противоположно, то пробное тело приобретет скорость (с учетом знаков):
Анализ этих выражений позволяет сделать вывод о нарушении симметрии скоростей в разных направлениях относительно движущегося объекта №2 с точки зрения наблюдателя на неподвижном объекте №1.
Выражение
по абсолютной величине. Такое же нарушение симметрии отметит и наблюдатель на объекте №2, хотя измеренные значения скоростей будут отличаться от скоростей измеренных на объекте №1. Из этого следует, что скорость реального объекта можно определить по величине нарушения симметрии “сферы скоростей” без привлечения гипотетического эфира.
Некоторые следствия
4.1 Возможен однозначный выбор системы отсчета, исключаются парадоксы (“парадокс близнецов” и др.).
4.2. Опровергнуть АД теорию может корректный эксперимент, проведение которого связано с преодолением серьезных технических трудностей по обеспечению необходимой точности измерений. Так, например, при скорости объекта №2 U=500 км/с и затратах энергии E, эквивалентной обеспечению скорости V=6000 км/с на неподвижном объекте, величина эффекта
составит
(используются абсолютные значения измеренных скоростей).
Солнечная система (как и вся Галактика “Млечный путь”) относится к малоподвижным космическим объектам. Скорость Солнца вокруг центра масс Галактики равна примерно 250 км/с.
4.3 Величина и знак поперечного Доплер – эффекта зависят как от абсолютной скорости объекта, так и конкретных условий проведения эксперимента. В случае если наблюдатель расположен на неподвижном объекте (излучатель движется вокруг неподвижного объекта), частота электромагнитного излучения будет уменьшаться, знак эффекта не зависит от направления вектора скорости излучателя. В случае если наблюдатель расположен на объекте, имеющем отличную от нуля абсолютную скорость, частота электромагнитного сигнала может увеличиваться, уменьшаться, или не изменяться. Величина и знак эффекта в этом случае зависят от абсолютной скорости объекта, скорости движения излучателя, и ориентации векторов скоростей. Увеличение частоты электромагнитного сигнала при измерении поперечного Доплер – эффекта является прямым доказательством наличия абсолютной скорости объекта.
4.4 Эффект “разбегания” галактик обусловлен их вращением вокруг собственного центра масс. Части галактики, имеющие максимальную абсолютную скорость, будут иметь и максимальную полную массу, а противоположные части - минимальную. Это приведет к перемещению центра масс галактики. С увеличением расстояния от центра масс вышестоящего образования сила притяжения, воздействующая на центр масс галактики, уменьшается обратно пропорционально квадрату расстояния, а сила, вызываемая разностью абсолютных скоростей частей галактики, изменяется значительно медленнее, поэтому скорость центра масс галактики с увеличением расстояния от вышестоящего образования, возрастает. Траектория движения будет спиральной.
Список литературы
Для подготовки данной работы были использованы материалы с сайта http://www.sciteclibrary.ru
Характеристики
Тип файла документ
Документы такого типа открываются такими программами, как Microsoft Office Word на компьютерах Windows, Apple Pages на компьютерах Mac, Open Office - бесплатная альтернатива на различных платформах, в том числе Linux. Наиболее простым и современным решением будут Google документы, так как открываются онлайн без скачивания прямо в браузере на любой платформе. Существуют российские качественные аналоги, например от Яндекса.
Будьте внимательны на мобильных устройствах, так как там используются упрощённый функционал даже в официальном приложении от Microsoft, поэтому для просмотра скачивайте PDF-версию. А если нужно редактировать файл, то используйте оригинальный файл.
Файлы такого типа обычно разбиты на страницы, а текст может быть форматированным (жирный, курсив, выбор шрифта, таблицы и т.п.), а также в него можно добавлять изображения. Формат идеально подходит для рефератов, докладов и РПЗ курсовых проектов, которые необходимо распечатать. Кстати перед печатью также сохраняйте файл в PDF, так как принтер может начудить со шрифтами.















