13087-1 (707302), страница 2
Текст из файла (страница 2)
Задерживающая способность мембран (их селективность) по отношению к какому-либо веществу.
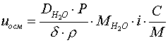
Уровень концентрационной поляризации Г зависит от гидродинамических условий в обратноосмотическом аппарате.
Для понимания связи между параметрами процесса рассмотрим механизм селективной проницаемости обратноосмотических мембран.
В соответствии с гиперфильтрационной гипотезой в мембране имеются поры, диаметр которых достаточен, чтобы пропускать молекулы воды, но мал для прохождения ионов и молекул растворенных веществ. При рассмотрении ситовой модели мембраны следует иметь в виду радиусы гидратных оболочек ионов, которые равны 2-15А, что значительно больше радиусов молекул Н2О (1,38А).
Обратноосмотическое разделение растворов электролитов тесным образом связано с явлением осмоса. При отсутствии рабочего давления в напорной камере аппаратов наблюдается осмотический перенос воды через мембраны, т. е. механизм, обеспечивающий солезадерживающую способность мембран, вызывает осмотический перенос воды. В связи с этим рассмотрение механизма селективности начинается с исследования осмотического переноса через ацетилцеллюлозные обратноосмотические мембраны.
Несмотря на то, что осмотический перенос впервые наблюдался в 18 в., до сих пор нет кинетической теории, описывающей механизм этого процесса и количественно согласующейся с экспериментальными результатами.
В основу рассматриваемой модели процесса осмотического переноса воды через полупроницаемые мембраны положены следующие представления.
В мембране имеются поры диаметром, несколько большим диаметров молекул и гидратированных ионов растворенных веществ.
В соответствии с теорией Я. И. Френкеля молекулы в жидкостях находятся в колебательном движении околовременных положений равновесия: Диффузия состоит из скачков отдельных из одного временного положения равновесия в другое.
Для диффузионного (осмотического) переноса воды через эти поры движущей силой является разность активных концентраций воды у правого и левого устьев поры. Но, как уже отмечалось, осмотический перенос через поры происходит в соответствии с рассматриваемой моделью только в том случае, когда правое устье поры свободно от молекул воды и разность активных концентраций воды по разные стороны этих пор равна концентрации воды в дистиллированной воде.
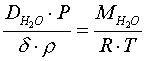
На основании изложенного для количества воды, прошедшей в результате осмотического переноса через 1м2 площади мембраны, может быть написана следующая зависимость:
Для случая сильно разбавленных растворов это уравнение примет вид:
(4.8)
если ввести обозначение:
(4.9)
и принять во внимание уравнение (5), то формула (8) преобразуется в зависимость (4). Отсюда следует, что формула (8) находится в соответствии с экспериментальными данными по осмотическому переносу воды через полупроницаемые мембраны. Предложенный механизм позволяет количественно точно описать процесс осмотического переноса воды не только из разбавленных, но и концентрированных растворов, а также процесс осмотического переноса дистиллированной воды в коллоидные растворы через ультрафильтрационные мембраны.
Полупроницаемые мембраны
Полупроницаемые мембраны, с помощью которых осуществляется процесс разделения водных растворов, являются основной частью любого обратноосмотического аппарата и в значительной мере определяют не только технологические показатели процесса, но и технические и эксплуатационные характеристики аппаратов. Существует большое число разнообразных мембран.
Полупроницаемые мембраны изготовляют из различных полимерных материалов, пористого стекла, графитов, металлической фольги и др. от материала мембраны зависят ее свойства (химическая стойкость, прочность), а также в значительной степени ее структура.
Полимерные мембраны. Полимерные мембраны могут быть пористыми и непористыми (понятие “непористые мембраны” условно, поскольку они могут иметь поры размером 0,5 – 1 мм).
По типам структур мембраны могут быть симметричными и асимметричными. С тем, что бы достичь возможно большей производительности при достаточной чистоте пермеата (фильтрата), разделительный слой мембраны должен быть возможно тоньше и в то же время обеспечивать высокую селективность. Будучи тонкой, мембрана должна обеспечивать высокую механическую прочность относительно деформаций в широком диапазоне температур. В связи с этим были разработаны асимметричные мембраны. В асимметричных мембранах микропористый слой (99,5% толщины мембраны) является лишь подложкой для селективного непористого рабочего слоя, не создающего сопротивления переносу.
Классическая асимметричная гомогенная мембрана получается из одного вещества. Однако создание достаточно тонких рабочих слоев мембраны сопряжено с большими трудностями. Наличие даже небольшого количества дефектов в слое в виде сквозных пор через селективный слой асимметричной гомогенной мембраны заметно снижает селективность из-за проскока нежелательных компонентов. Решение этой проблемы привело к созданию мембран композитного типа, состоящих из слоев различных веществ. Для уплотнения дефектов на асимметричную мембрану наносится тонкий слой высокопроницаемого, но практически неселективного материала, который перекрывает сквозные поры в селективном слое, практически не влияя на ее проницаемость. Возможно также нанесение селективного слоя непосредственно на отдельно изготовляемую пористую подложку из более дешевого и доступного неселективного материала.
Практика показывает. Что композитные материалы мембран меньше подвержены деформации под давлением. Для создания асимметричного селективного слоя используются полимеры с уникальными свойствами, так как из-за малой толщины селективных пленок стоимость даже очень дорогих полимеров не является существенным препятствием. Создание асимметричных мембран является основным направлением в мембранной технологии.
Жидкие мембраны. Под жидкими мембранами понимают мембраны с жидкостью, иммобилизованной внутри пор микропористой подложки. Если мембрана смачивается жидкостью, то последняя может удерживаться в порах за счет капиллярных сил. Давление, необходимое для вытеснения жидкости из пор, называется капиллярным давлением и изменяется обратно пропорционально диаметру пор, поэтому при достаточно малых порах жидкость удерживается на подложке при разнице давлений под и над мембраной в несколько атмосфер. Используются жидкие мембраны двух типов. К первому типу относятся пассивные жидкие мембраны, в которых обычные жидкости, имеющие большую проницаемость по целевому компоненту, наносятся на мембранную подложку. Второй тип жидких мембран – мембраны с активным транспортом целевого компонента. В этом случае в качестве жидкости используются специфические переносчики целевого компонента, растворенные в соответствующем растворителе.
Керамические мембраны. В последние годы успешно развивается направление с использованием керамических мембран. Полученные мембраны (одно-, семи- и девятнадцатиканальные) состоят из подложки на основе оксидов алюминия (с размерами пор 10 – 15 мкм и общей пористостью приблизительно 45%) и селективного слоя. Преимущества керамических мембран: высокая рабочая температура – 10000С и выше, высокая механическая прочность и долговечность, стойкость к химически агрессивным средам, удобство регенерации мембран.
Список литературы
Для подготовки данной работы были использованы материалы с сайта http://www.promeco.h1.ru/l
















