12670-1 (707289)
Текст из файла
Как вселенная связана с электроном.
Николай Васильевич Косинов
Введение.
В настоящее время точность физических констант, относящихся к электрону, уже достигла 10-9 - 10-12 [14]. Однако большинство данных, относящихся к Метагалактике, имеют неопределенность от одного до двух порядков величины. Такое большое различие в точности (на 10–13 порядков!) создает препятствие выявлению связей между константами. В уравнениях и в физических теориях часто встречаются большие числа порядка 1039 – 1044, а также эти же числа во второй и в третьей степени [8,10,12,13]. На особенность больших чисел впервые обратил серьезное внимание П.Дирак. Выявленное множество совпадений больших чисел не находит объяснения. Совпадения больших чисел косвенно указывают на взаимосвязь параметров микромира и характеристик Метагалактики. Поэтому проблема больших чисел тесно переплетена с проблемой получения точных значений характеристик Метагалактики. За эту проблему брались многие известные физики. Попытки Эддингтона и других исследователей объяснить совпадения больших чисел на основе физических принципов не увенчались успехом [8]. Альтернативные объяснения совпадения больших чисел, предложенные Дикке, Хойлом, Картером, известные как слабый и сильный антропные принципы, также не решили проблему [8,12]. Так и осталась эта таинственная проблема совпадения больших чисел не решенной. До сих пор не удалось создать “полную теорию космологии и атомизма”, на что надеялся П.Дирак [11]. Не удалось вывести большие числа математически, как это хотел П.Девис [12].
Антропный принцип декларирует наличие взаимосвязи между параметрами Вселенной и существованием в ней разума. В рамках этой проблемы возник вопрос: как связаны параметры нашего мира и что произойдет при незначительном изменении фундаментальных констант? Проведенные исследования возможных вариаций фундаментальных констант не выявили ни одного подобного факта [8]. Более того, с большой точностью подтверждена неизменность физических констант. Все исследования последствий возможных изменений констант показывают, что с фундаментальными константами следует соблюдать осторожность [9]. Исследования показали, что даже незначительные вариации фундаментальных констант привели бы к невозможности существования наблюдаемого мира и невозможности появлением в нем жизни [9]. Все это указывает на наличие жесткой связи между параметрами микромира и мегамира. Ниже приведены результаты исследований связи характеристик Метагалактики с константами,относящимися к фундаментальной частице микромира – к электрону.
1. Связь гравитационной константы G, постоянной Хаббла H0 и массы метагалактики MU с константами электрона.
В [1,3]показано, что физические константы не являются независимыми. Между ними существует взаимосвязь. В частности показано, что константы, относящиеся к Вселенной можно представить посредством констант электрона. Так, например, формулы для определения значения гравитационной константы имеют вид:
G = a10×a10× lu5 / tu3× hu, G = a10×a210× lu3 / tu2× me
Формула для постоянной Хаббла имеет вид:
H0 = a10×a10 / 2 ×a× tu
Формула для массы Метагалактики имеет вид:
Mu = me×a-20×a2-20
Формула для радиуса Метагалактики имеет вид:
Rmg = 2×lu×a×a-10×a2-10
В этих формулах используются значения суперконстант, приведенных в табл.1 [1,3,5,6].
Табл.1
Характеристики Метагалактики жестко связаны с константами электрона. Связь гравитационной константы с константами электрона указывает на электрическую природу гравитации. Исследования фундаментальных констант показали, что с константами электрона связаны не только константы, относящиеся к Вселенной, но и большое количество других констант.
2. Связь фундаментальных физических констант с константами электрона.
Универсальные суперконстанты, приведенных в табл. 1 позволили установить связь фундаментальных физических констант с константами электрона. В [1,3,5,6] получены соотношения, подтверждающие наличие такой связи. Ниже, в качестве примера, приведены некоторые из этих соотношений.
Формула для магнетона Бора имеет вид:
mB = lu×e / 2×a
Формулы для планковских единиц:
Формула для постоянной Планка:
Формула для заряда электрона:
e = (me×c2×lu)1/2
Значения констант, полученные по этим формулам, в точности совпадают с экспериментальными значениями рекомендуемыми CODATA 1998 [14].
3. Связь естественных единиц длины, массы, времени с константами электрона.
М. Планк на основе констант G, c ,h получил естественные единицы длины, массы, времени. М.П. Бронштейн использовал фундаментальные константы для исследования взаимосвязи физических теорий на основе констант G,c,h [2]. А.Л. Зельманов сделал геометрическое обобщение идей Бронштейна и построил куб физических теорий [2]. На основе фундаментальных констант G,c,h предпринимаются попытки построить квантовую теорию гравитации, выбирая в качестве естественных единиц планковские константы. Эта задача еще не решена. Возможно причина состоит в том, что планковские константы не являются минимальными единицами длины, массы, времени. В.И. Вавилов еще в 1934 году высказал мысль о том, что было бы важно установить целый ряд естественных единиц, охватывающих процессы разных масштабов [4].
Для этой цели можно продолжить исследование вариантов построения куба физических теорий на основе геометрического обобщения А.Л. Зельманов, используя другие комбинации констант. В частности, можно построить гиперкуб на основе четырех констант. Такой подход был предпринят в [7], что позволило получить новые естественные единицы длины, массы, времени.
В [1,3,5,6] показано, что три константы не могут составлять полный константный базис физической теории. Не является полным и 4-х константный базис. Поэтому возможности 3-х мерного куба А.Л. Зельманова и 4-х мерного гиперкуба для исследования физических теорий имеют ограничения. Для построения физической теории минимальное количество констант должно быть равно пяти [3]. В связи с этим геометрическое обобщение, обладающее полнотой, должно включать пять измерений. Это значит, что от 4-х мерного гиперкуба необходимо перейти к 5-ти мерному суперкубу. Если построить 5-ти мерный суперкуб, основанный на пяти константах, то он будет иметь вид, приведенный на рис.1.
Рассмотрим суперкуб (рис. 1) на основе пяти универсальных физических суперконстант hu, lu, tu, α, α2 [1,3-7].
Рис.1. Суперкуб (hu, lu, tu, α, α2)-пространства теоретической физики.
Этот суперкуб образован двойным смещением исходного (hu, lu, tu )-куба по координатам α и α2. Таким образом, первый след суперкуба представляет собой куб hu, lu, tu. Второй след суперкуба представляет собой гиперкуб hu, lu, tu, α.
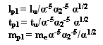
Используя в качестве основных единиц константы hu, lu, tu, α, α2 получим такие единицы длины, массы, времени:
В приведенных формулах, D0 – большое число, значение которого определяется безразмерными суперконстантами α и α2 [3,5,6]. Обратим здесь внимание на то, что значение mU совпадает со значением массы Метагалактики с учетом темной материи. Как видим, эти единицы выражаются посредством констант электрона. Исследования различных систем естественных единиц показали, что системы естественных единиц легко представимы посредством констант электрона. В табл. 2 приведены соотношения, которые подтверждают это. Оказалось, что все системы естественных единиц, полученные разными авторами, можно представить новыми формулами с помощью констант электрона.
Табл. 2
4. Связь комбинаций констант G, H0, MU с константами электрона.
Считается, что объединение космологии и физики элементарных частиц способно привести к новым открытиям как в космологии, так и в физике. Полученная в [1,3,5,6] группа универсальных суперконстант hu, lu, tu, α, α2позволила выявить взаимосвязь между константами, относящимися к микромиру и к мегамиру. Исследования суперконстант позволили получить следующие космологические уравнения [6]:
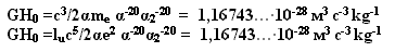
Эти уравнения отражают связь констант электрона и характеристик Метагалактики. За этими уравнениями стоит еще не открытый физический закон, который должен вскрыть связь между гравитацией, электромагнетизмом и характеристиками Вселенной. Космологические уравнения напрямую выводят на связь двух важнейших константGиH0.Эти константы связаны между собой посредством констант электрона. Привожу формулы, демонстрирующие такую связь:
Расчетное значение отношения G/H0, которое следует из формул, равно:
G/ H0 = 3.81408782(40)×107 м3×кг-1×с-1
Произведение констант GиH0 также представляет собой комбинацию констант, относящихся к электрону.
В связи с тем, что отношение гравитационной константыG к постоянной ХабблаH0 и их произведение равно комбинации фундаментальных физических констант, относящихся к электрону, это указывает на существование физического закона, который связывает эти две константы и объединяет закон Ньютона и закон Хаббла. Выявленная связь констант электрона с характеристиками Метагалактики открывает широкие возможности для получения значений констант GиH0 с высокой точностью. Высокая точность отношения этих констант и их произведения является весьма важным результатом, поскольку значения константGиH0 известны с очень большой погрешностью. Их точность на несколько порядков хуже точности констант, относящихся к электрону. Комбинация формул, описывающих отношение гравитационной константыG к постоянной ХабблаH0 и их произведение, позволяет легко получить новые формулы для вычисления значения каждой константы GиH0.
Константы электрона связаны и с другими комбинациями констант, относящихся к Вселенной. Так, например, масса Метагалактики MUсовместно с константамиGи H0 выражаются посредством констант электрона в виде [6]:
Выявленная взаимосвязь характеристик Метагалактики с константами электрона является подтверждением концепции единства мира. Установление этой взаимосвязи открывает возможности для получения точных значений констант, относящихся к Метагалактике.
Выводы.
1. Раскрыта взаимосвязь констант, относящихся к Вселенной, с константами электрона.
2. Раскрыта взаимосвязь естественных единиц длины, массы, времени с константами электрона.
3. Раскрыта взаимосвязь фундаментальных физических констант с константами электрона.
4. Полученные результаты дают возможность получить значения гравитационной константы, постоянной Хаббла, массы Метагалактики с точностью, близкой к точности констант электрона.
5. Взаимозависимость константG, H0, Мu указывает на то, что существует еще не открытый физический закон, который должен устанавливать связь между электромагнетизмом, гравитацией и характеристиками раздувающейся Вселенной.
Характеристики
Тип файла документ
Документы такого типа открываются такими программами, как Microsoft Office Word на компьютерах Windows, Apple Pages на компьютерах Mac, Open Office - бесплатная альтернатива на различных платформах, в том числе Linux. Наиболее простым и современным решением будут Google документы, так как открываются онлайн без скачивания прямо в браузере на любой платформе. Существуют российские качественные аналоги, например от Яндекса.
Будьте внимательны на мобильных устройствах, так как там используются упрощённый функционал даже в официальном приложении от Microsoft, поэтому для просмотра скачивайте PDF-версию. А если нужно редактировать файл, то используйте оригинальный файл.
Файлы такого типа обычно разбиты на страницы, а текст может быть форматированным (жирный, курсив, выбор шрифта, таблицы и т.п.), а также в него можно добавлять изображения. Формат идеально подходит для рефератов, докладов и РПЗ курсовых проектов, которые необходимо распечатать. Кстати перед печатью также сохраняйте файл в PDF, так как принтер может начудить со шрифтами.















