9675-1 (707212), страница 2
Текст из файла (страница 2)
Среди t=1,..,tk,tk+p,-,T выберем m+1 точек (из которых две v tk и tk+p) и построим по ним интерполяционный алгебраический полином Lm степени m. Ошибка интерполяции в интервале (tk,tk+p) составит [21]:
для
,
где
wm(t)=(t-t1) - (t-tk)(t-tk+p) -(t-tm+1) .
Оценим максимум модуля производной (m+1)-го порядка:
Частная ошибка интерполирования
для ajC и ajS имеет оценку
а
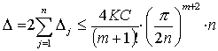
v частота среза (ширина полосы пропускания) низкочастотного фильтра, используемого в методе комплексной демодуляции. Тогда суммарная ошибка интерполяции метода составит
Список литературы
1. Wastell D.J, // EEG and Clin. Neurophysiol., 1979, V.46, N 3, P.355.
2. Bacon P., Stevens J.C., Ruddy H., Ouegan S., Kingsley S.P. // Clin. Phys. and Physiol. Meas., 1990, V.11, N 2, P.135,
3. Doncarli С., Guiheneuc P. // Courr. CNRS, 1991, N 77, Р.59.
4. Walter D.O. // EEG and Clin. Neurophysiol., 1969, V.27, P.61.
5. Dayle D.J. // EEG and Clin. Neurophysiol., 1977, V.43, N 5, P.749.
6. Woestenburg J.C., Verbaten M.N., Sjouw W.P.B., Slangen J.L. // Biol. Psychol., V.13, P.215.
7. Nogawara Т., Katagama К., Tabata Y., Oshio Т., Kawahara T. // EEG and Clin. Neurophysiol., 1981, V.52, N 3, P.531.
8. Ozdamar 0., Delgado R. // In: Prос. Annu. Int. Conf. IEEE Eng. Med. and Biol. Soc., Orlando, Fla., Oct.31-Nov.3, 1991, V.13, Pt.4/5. N.Y., 1991, P.1881.
9. Mulholland Т., Goodman D. // In: Rhythmic EEG Activ. and Cortic. Funct.. Amsterdam, 1980, P. 277.
10. Ninomija S.Р., Fujikake M. // In: Images 21st Century: Proc. llth Annu. Int. Conf. IEEE Eng. Med. and Biol. Soc., Seattle, Wash., Nov.9-12, 1989 Pt.2/6. N-Y., 1989, Р.723.
11. Hsu К., Womble M.E. // In: Proc. Int. Conf. Cybern. and Soc., Atlanta, Ga., Oct.26-28, 1981. N.Y., 1981, Р.6.
12. Duan H., Zhong J., Rao W., Lu W. // In: Proc. Annu, Int. Conf. IEEE Eng. Med. and Biol. Soc., Orlando, Fla., Oct. 31-Nov.3, 1991, V.13, Pt.1/5. N.Y., 1991, P.399.
13. Gansler Т., Hansson M, // In: Proc. Annu. Int. Conf. IEEE Eng. Med. and Biol. Soc., Qrlando, Fla., Oct.31-Nov.3, 1991, V.13, Pt.1/5. N.Y., 1991, P.423.
14. Bartnik E.A., Blinowska K.J. // Med. and Biol. Eng. and Comput., 1992, V.30, N 1, P.125.
15. Aunon J.I., McGillem C.D. // In: Transactions San Diego Biomedical Symposium. 1975, V.14, P.211.
16. McGillem C.D., Aunon J.I. // In: IEEE Transactions on Biomedical Engineering.1977, BME-24, P.232.
17. Aunon J.I., McGillem C.D. // Psychophysiology, V.16, N 1, Р.71.
18. Иваницкий А.М., Татко В.Л. // В c6: Физиол. кибернет. Тез. 1-й Всес. конФ. по Физиол. кибернет., M., 1981, С.215.
19. Sattar F., Lovstrom В., Mandersson В., Salomonsson G. // In: Proc. Annu. Int. Conf. IEEE Eng. Med- and Biol. Soc., Orlando, Fla., Oct.31-Nov.3, 1991, V.13, Pt.l/5. N.Y., 1991, P.425.
20. Отнес Р., Эноксон Л, Прикладной анализ временных рядов. М.: Мир, 1982, С.429.
21. Корн Г., Корн Т. Справочник по математике, 4-е изд, М.: Наука, 1977, C.832.
















