8445-1 (707141), страница 2
Текст из файла (страница 2)
Lpl = Λ1/2h1/2 с–3/2 = 5,7·10–33 [см];
Tpl = Λ1/2h1/2 с–5/2 = 1,9·10–43 [с].
Эти единицы характеризуют масштабы, в которых классическая физика объединяется с квантовой физикой, т.е. определяют граничные значения как минимально возможных величин, например:
объема Vpl = 4πL3pl/3 ≈ 7·10–97 [см3];
периода колебаний Tpl ≈ 1,9·10–43 [с];
и максимально возможных величин, например:
плотности массы ρpl = 3Mpl/(4πL3pl) ≈ 8·1088[г/см3];
частоты колебаний νpl = 1/Tpl ≈ 5·1042 [с–1].
Но смысл планковских единиц заключается не только в определении граничных значений физических величин. В формулах их определения заложен глубокий физический смысл. Наиболее ярко это видно из формулы для единицы массы, из которой следует равенство
Λ1/2Mpl = h1/2с1/2, (1)
выражающее, по своей сути, равенство электрических зарядов и косвенно свидетельствующее, из-за наличия квадратных радикалов, о присутствии в среде колебательных процессов, дающих равные возможности для возникновения как отрицательных так и положительных зарядов.
Равенство (1) заставляет нас вспомнить формулу
e2/hc = 1/137 = α,
в которой величина α является постоянной тонкой структуры и представляет собой параметр, который определяет все физические явления, связанные с взаимодействием заряженных частиц с электромагнитным полем. Переписав равенство (1) в виде:
| Λ1/2Mpl = α1/2e, | (2) |
мы можем утверждать, что равенства (1) и (2) свидетельствуют о наличии как минимум двух видов электрических зарядов, могущих участвовать в электромагнитном взаимодействии, представляющем собой возможный процесс их взаимного перехода друг в друга. Один из них, e, является реальным элементарным зарядом электрона. Другой, обозначив его через qv=Λ1/2Mpl, будем считать элементарным виртуальным* зарядом. Т.е. мы с полным основанием можем предполагать существование некоторой среды виртуального электромагнитного поля, образуемого суммой виртуальных элементарных зарядов (Σqv), активно взаимодействующего с реальным, привычным для нас, электромагнитным полем:
qv = Λ1/2Mpl = h1/2с1/2 = α–1/2e = 5,61·10–9 [ед. СГСЭq]
или
e = α1/2h1/2с1/2 = α1/2Λ1/2Mpl = α1/2qv = 4,8·10–10 [ед. СГСЭq].
* Все отличные от общепринятых термины должны быть в дальнейшем коллективно согласованы.
При этом величина Λ1/2=qv/Mpl является удельным элементарным виртуальным зарядом по аналогии с величиной удельного элементарного электрического заряда электрона ge=e/me, где e – заряд, а me – масса электрона. Размерности величин ge и Λ1/2 полностью совпадают. Аналогично обозначим Λ1/2=gv. Отсюда следует, что постоянная всемирного тяготения связывает величины не только различной размерности, но и различной физической природы.
Таким образом, гравитационная постоянная Λ с полным основанием может рассматриваться как квадрат удельного виртуального элементарного заряда gv, т.е. Λ=g2v=(±Λ1/2)2. Это дает веские основания утверждать о наличии составляющих электромагнитных взаимодействий в явлении всемирного тяготения.
Это подтверждается и видом выражения для силы взаимодействия в вакууме (ε0=1) двух элементарных зарядов e по закону Кулона (Fk), переходящей в форму взаимодействия их масс по закону Ньютона (Fn), а именно:
| Fk = ee / (εR2) = geme · geme / (εR2) = ge2me2 / (εR2). | (3) |
То же самое можно показать и для силы взаимодействия двух масс Mpl по закону Ньютона (Fn), переходящей в форму взаимодействия двух элементарных виртуальных зарядов qv на их основе по закону Кулона (Fk):
| Fn = ΛMplMpl/(4πR2) = Λ1/2MplΛ1/2Mpl/(4πR2) = qvqv/(4πR2). | (4) |
Отсутствие в формуле (4) величины диэлектрической проницаемости ε обязательно. В противном случае мы имели бы возможность экранирования всеобщего универсального явления всемирного тяготения, а именно, процесса поглощения (впитывания) объема энергетической среды в массу объекта.
Таким образом, формула для силы взаимодействия двух физических объектов произвольной массы m1 и m2 должна иметь следующий вид:
F = Λ1/2m1Λ1/2m2 / (4πR212)
– из условия, что общий виртуальный заряд, образующийся на массе m, равен n=m/Mpl элементарных виртуальных зарядов qv, т.е.
Λ1/2Mplm / Mpl = Λ1/2m.
Подтверждается правильность выдвинутого ранее тезиса о том, что в случае тяготения мы имеем дело с особым видом электромагнетизма или с особой формой его взаимодействия, являющейся, возможно, первичной, изначальной формой всех взаимодействий, началом начал. Полнейшее отсутствие какой бы то ни было возможности влияния на среду и на явление стягивания ее объема в объекты реальной физической массы наипервейшее условие этого начала начал.
Итак мы установили, что величина gv=Λ1/2=qv/Mpl должна являться удельным элементарным виртуальным электрическим зарядом
gv = │±Λ1/2│ = 9,154·10–4 [ед. СГСЭq/г].
На этом основании рассматриваемое физикой безразмерное соотношение сил ньютоновского Fn и кулоновского Fk притяжения электрона к протону
Fn / Fk = εΛmemp / (4πe2) = 4·10–40
необходимо трактовать только как сравнение интенсивности электромагнитного взаимодействия зарядов, возникающих на одинаковых массах в виртуальном и реальном электромагнитных полях, т.е.
Fn / Fk = εΛ1/2meΛ1/2mp / (4πgemegpmp),
где gp – удельный элементарный заряд протона, а mp – его масса.
При этом величина виртуального заряда, образующегося на массе электрона (qve) должна быть равна сумме n=me/Mpl элементарных виртуальных зарядов qve=Λ1/2Mpl, где n должно быть целым числом. Но отношение массы электрона к планковской массе является дробью значительно меньшей единицы. Это не дает возможности образования на его массе элементарного виртуального заряда. То же самое относится и к протону.
На этом основании рассматриваемое соотношение Fn/Fk должно быть вообще признано неправомочным, так как не имеет физического смысла и не может быть реализовано. Однако этот факт определяет необходимость обязательного указания того, что формула закона всемирного тяготения для силы взаимодействия двух масс
F = –Λm1m2r12 / (4πr312)
справедлива лишь для объектов с массами m≥Mpl каждый.
Итак, мы видим, что силы тяготения могут быть выражены в форме Кулоновского взаимодействия. Это свидетельствует о наличии единого, универсального начала для всех видов взаимодействий, определяющего все их дальнейшие свойства, зависимости и закономерности.
Таким образом, постоянная тяготения Λ является сложной величиной и представляет собой не только удельное ускорение потока стягивания объема среды в объекты реальной физической массы. Являясь квадратом удельного виртуального элементарного заряда Λ=(±Λ1/2)2=(gv)2 она определяет наинизший энергетический уровень натяжения объема среды между бесконечно удаленными в космическом пространстве объектами реальной физической массы.
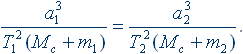
Подтверждением этого служит обобщенный Ньютоном третий закон Кеплера, выражающийся в виде:
| | (5) |
т.е. квадраты сидерических периодов планет (Т21 и Т21), умноженные на сумму масс Солнца и планеты (Мс+m1 и Мс+m2), относятся как кубы больших полуосей орбит планет (а31 и а31). Формула (5) может быть представлена в виде:
| | (6) |
Из формулы (6) следует, что размерность приведенных отношений равна размерности постоянной тяготения Λ. Численная величина этого отношения для планет солнечной системы равна 1,86·10–9[см3г–1с–2], хотя по логике изложения она должна быть равна Λ=8,38·10–7[см3г–1с–2]. Но здесь необходимо учитывать эмпирический характер вывода этих отношений, как со стороны Кеплера, так и со стороны Ньютона. Поэтому можно сделать попытку подбора безразмерного коэффициента на основе таких безразмерных фундаментальных констант, как π и α, устраняющего этот недостаток. Действительно, введением в отношения (6) безразмерного коэффициента равного (π–1α–3/2) мы получаем точную величину постоянной тяготения Λ. Не возникает сомнения в том, что составляющие этого безразмерного коэффициента являются непосредственными атрибутами в формулах электромагнитных процессов и явлений при электромагнитных взаимодействиях объектов реальной физической массы в объеме среды бесконечного космического пространства, в которой они находятся в постоянном движении.
Таким образом, раскрывается тайна гравитационной постоянной Λ, которая, как оказалось, является квадратом удельного виртуального заряда электромагнитной направленности. Этот факт дает полное право рассматривать силу гравитационного взаимодействия двух тел, как силу электромагнитного взаимодействия двух зарядов в среде первичного виртуального энергетического поля электромагнитной направленности.
На основании приведенных фактов можно с уверенностью констатировать:
явление всемирного тяготения является фундаментальным, всеобщим, универсальным и первичным процессом взаимодействия объектов реальной физической массы с энергетической средой виртуального и реального электромагнитных полей, являющихся составными частями общей среды заполняющей бесконечный объем космического пространства Вселенной в целом.
Тройственность физического смысла постоянной всемирного тяготения
Исследуя тайну постоянной всемирного тяготения, мы вынуждены были отметить необходимость существования некоторой первичной энергетической среды, активно участвующей в процессах мироздания. Эта среда, которую мы будем рассматривать отдельно и более подробно, представляет собой вакуумподобное состояние ее агрегатной фазы. Наинизший энергетический уровень натяжения объема среды и удельное ускорение потока стягивания его в единицу массы реального физического объекта, являющегося для нее дефектом ее структуры, связаны уравнением состояния Λ=–Λ. Это условие отражает особенности вакуумподобного состояния и определяет тот факт, что полученные основные физические параметры, характеризующие свойства этой среды, являются производными от одной и той же фундаментальной мировой физической величины – постоянной всемирного тяготения, которая выступает перед нами в качестве константы, содержащей в себе тройственный физический смысл.
Раскрывается тайна постоянной всемирного тяготения Λ=4πG, которая предстает перед нами в трех значениях взаимосвязанных физических смыслов.
1. Λ=(±Λ1/2)2 = 8,38·10–7 [см3г–1с–2] является квадратом удельного элементарного виртуального заряда (gv=±Λ1/2=9,154·10–4[СГСЭq/г]), представляющего элементарную ячейку первичного виртуального поля электромагнитной направленности, которое создает среду с наинизшим энергетическим уровенем натяжения заполняемого ею бесконечного объема пространства и определяет удельное ускорение потока стягивания объема этой среды в единицу массы реального физического объекта.
















