3969-1 (707023)
Текст из файла
Основы теории вихревой гравитации и строения вселенной
Сергей Орлов
Предлагаемая в данной статье модель показывает, что источником всемирной гравитации, сотворения небесных тел и их движения во Вселенной является вихревое вращение космической сплошной среды, называемой эфиром, а также уменьшение давления в этом эфире, направленное к центру его вращения.
Расчет сил гравитации выполнен на основании законов механики сплошных сред и (или) аэродинамики с использованием уравнений Навье - Стокса.
В результате решения получена алгебраическая формула сил тяготения, достоверность которой подтверждает ее соответствие астрономическим данным, а также эмпирической формуле Ньютона о всемирном тяготении.
На основании вихревой гравитации можно объяснить все явления и закономерности, наблюдаемые в космическом пространстве: движения небесных тел; взаимного удаления и сближение галактик; происхождение небесных тел, «черных дыр» и Вселенной в целом; природы силы тяжести; плотностей планет и их возраст; скорости гравитации; напряженности магнитных полей небесных тел и т. д., и т.п.
1. Начала теории
Предлагаемый принцип действия сил всемирного тяготения разработан на следующем основании.
Космическое пространство заполнено космическим веществом – эфиром, который образует в этом пространстве бесконечную систему воронкообразных уменьшений давления и космических вихрей вокруг этих воронок торсионного типа. Эфирные вихри (воронки) имеют мощности или объемы любой величины. Каждый вихрь возникает на орбитах вращения другого, более крупного вихря.
Воронкообразное уменьшение давления в торсионе создает силу выталкивания тел из космической среды с более высокой плотностью в среду с пониженной плотностью. Эта сила выталкивания является силой гравитации.
Сила гравитации обеспечивает накопление космической материи в центральной части торсиона и, следовательно, создание любого небесного тела.
Вихревое вращение эфира обеспечивает постоянную сохранность градиента давления и, следовательно, силы гравитации внутри космического торсиона.
Вихревое вращение эфира, в совокупности с центробежными силами и силами гравитации, обеспечивает закономерное вращательное движение всех небесных тел или их систем вокруг своей оси и другого тела, определяет силу тяжести на поверхности планет, спутников или звезд и, следовательно, строение Вселенной.
Действие сил гравитации подчиняется законам аэродинамики.
2. Модель возникновения силы всемирного тяготения
В данном разделе рассматривается модель возникновения силы всемирного тяготения с позиции аэродинамики. Рассматривается двумерная модель (Рис.1.), которая основывается на следующих начальных положениях, эти положения по мере изложения материала, будут уточняться и дополняться:
1. Вокруг каждого физического тела существует эфирный вихрь.
2. Движение эфира в вихре имеет ламинарный характер и подчиняется законам гидроаэродинамики, вязкость эфира мала.
3. Градиент давления, возникающий при вихревом движении эфирного газа, является причиной возникновения силы притяжения тела 2 со стороны тела 1.
4. Направление силы Fп не зависит от направления угловой скорости эфира, что необходимо для возникновения именно силы притяжения между телами, независимо от их взаимного положения, что подразумевает отсутствие силы Магнуса – силы взаимодействия двух вихрей, которая возникает в классической аэродинамике. Данное предположение может иметь место при слабом взаимодействии между двумя потоками эфира, словно они движутся один сквозь другой, не влияя на взаимное движение.
5. Возникающая сила притяжения должна описывать экспериментально полученный закон всемирного тяготения:
| |
(1)
где: m1, m2 – массы тел 1 и 2 соответственно, G=6.672 ∙10-11 Hм2 / кг2 – гравитационная постоянная, r – расстояние между телами.
Рассмотрим подробнее возникновение силы притяжения и выведем описывающую ее формулу.
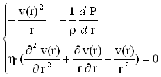
Как уже говорилось, в результате движения вихря возникает градиент давления. Найдем радиальное распределение давления и скорости эфира.
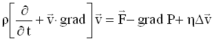
Запишем Уравнение Навье-Стокса для движения вязкой жидкости (газа).
| |
(2)
где: ρ - плотность эфира,
| |
– вектор скорости эфира, P – давление эфира, η - вязкость.
В цилиндрических координатах с учетом радиальной симметрии vr = vz = 0, v φ = v(r), P = P(r) уравнение запишется в виде системы:
| |
(3)
В случае сжимаемой субстанции эфира, вместо ρ появится функция
| |
Из первого уравнения системы (3) находится P (r) при известной зависимости v (r), которая в свою очередь должна находиться из второго уравнения (одно из решений которого является функция v (r)~1/r). При нулевой вязкости система допускает любую зависимость v (r) [2].
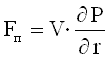
Действующая на тело сила может быть оценена по формуле:
| |
(4)
где V – объем тела 2.
В цилиндрических координатах для модуля
| |
| |
(5)
Тогда, сравнивая (3) и (5) для несжимаемого эфира (ρ = const) находим, что:
| |
(6)
Для соответствия Fп (r) закону всемирного тяготения (см. положение 5) v (r) должна подчиняться зависимости
| |
а не
| |
С учетом краевого условия v (r1) = w1∙r1,
| |
(7)
Таким образом:
| |
(8)
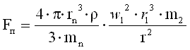
Делаем предположение № 6 – Эфир пронизывает все пространство, включая физические тела. Объем V в формуле (8) - это эффективный объем - объем элементарных частиц, из которых состоит тело 2. Все тела состоят из электронов, протонов и нейтронов. Радиус электрона много меньше радиуса протона и нейтрона, радиус последних примерно одинаков и составляет порядка rn ~ 1.2∙10-15 м. Массы протона и нейтрона также примерно одинаковы mn ~ 1.67∙10-27 кг (r n, m n – радиус и масса нуклона). Поэтому объем в формуле (8) равен:
| |
(9)
С учетом (9) равенство (8) перепишется в виде:
| |
(10)
Предположив (Предположение № 7), что
| |
(11)
где A – некая константа, уравнение (10) будет иметь вид:
| |
(12)
Сравнивая (12) и (1) находим, что константа A=1.739∙1018 м 3/с2∙кг. При расчете использовались данные о параметрах свободного эфира приведенные в разделе 1.
Предположение № 7 является адекватным, так как w1 и r1 являются параметрами тела 1. Если поделить левую и правую часть (11) на r1 3, то получим, что квадрат угловой скорости эфира на поверхности тела пропорционален плотности этого тела.
Найдем, например, угловую скорость эфира на поверхности Солнца:
| |
(13)
Масса Cолнца m1 = 1.99∙10 30 кг, r 1 = 6.96 ∙10 8 м тогда, w1=1.022∙1011 c-1.
Линейная скорость эфира на поверхности v (r1)=w1∙r1= 7.113∙1019 м/c.
Эта скорость на два порядка меньше средней скорости амеров в эфире 6.6∙1021 м/c [1]. Таким образом, полученная линейная скорость эфирного ветра вполне может иметь место. Для Земли m1 = 5.98∙1024 кг, r1 = 6.38 ∙106 м, получаем w1 = 2.001∙1011 c-1, v (r1)=1.277∙1018 м/c.
Величина w1 в любом небесном торсионе, на основании вихревой гравитации, определяется из условия равенства центробежных сил и сил гравитации для любого небесного тела.
При учете сжимаемости эфира, предположим, в изотермическом случае (T=const), когда:
| |
(14)
где R-удельная газовая постоянная равная
| |
Дж∙кг-1∙K-1 (R0 = 8.314 Дж∙моль-1∙K-1 – универсальная газовая постоянная, μ - молярная масса эфира, m0 = 7∙10-117 кг – масса амера [1], Na=6.022∙1023 моль-1 – постоянная Авогадро), после решения 1-го уравнения в системе (3) получаем функцию распределения давления от радиуса, по которой, используя, например, значения w1 и r1 для Солнца получается очень незначительное изменение плотности от радиуса, что дает возможность считать эфир несжимаемым и использовать формулы, приведенные выше.
Найдем зависимость P (r), решая первое уравнение системы (3) с учетом (7) находим:
| |
(15)
где P0 – давление эфира у поверхности, используя граничное условие
находим, что
| |
(Pb- давление свободного эфира).
На основании полученной формулы вихревой гравитации, очевидно, что в существующем законе всемирного тяготения Ньютона, вместо причины тяготения (которой является градиент давления) используется его следствие, то есть масса центрального тела.
3. Некоторые выводы
Предлагаемая модель всемирной гравитации предполагает совершенно новые принципы для исследования проблем астрофизики.
Основное отличие вихревой гравитации заключается в том, что по этой модели любые физические тела не создают гравитацию, а скорее наоборот – бариально – вихревая гравитация является движущей силой для возникновения всех небесных объектов.
В контексте вихревой гравитации ниже предлагаются некоторые выводы, показанные без детальной разработки.
3.1. Принцип создания и существования вселенной
На основании сказанного выше (раздел 2) очевидно, что возникновение бариальных «воронок» и торсионов в космическом пространстве является основной причиной возникновения, эволюции и движения всех небесных объектов.
Вихревая гравитация в каждом торсионе создает эффект всасывания космической пыли по направлению к своему центру. Сконцентрированная в одной астрономической точке космическая материя образует различные небесные тела или их системы.
Характеристики
Тип файла документ
Документы такого типа открываются такими программами, как Microsoft Office Word на компьютерах Windows, Apple Pages на компьютерах Mac, Open Office - бесплатная альтернатива на различных платформах, в том числе Linux. Наиболее простым и современным решением будут Google документы, так как открываются онлайн без скачивания прямо в браузере на любой платформе. Существуют российские качественные аналоги, например от Яндекса.
Будьте внимательны на мобильных устройствах, так как там используются упрощённый функционал даже в официальном приложении от Microsoft, поэтому для просмотра скачивайте PDF-версию. А если нужно редактировать файл, то используйте оригинальный файл.
Файлы такого типа обычно разбиты на страницы, а текст может быть форматированным (жирный, курсив, выбор шрифта, таблицы и т.п.), а также в него можно добавлять изображения. Формат идеально подходит для рефератов, докладов и РПЗ курсовых проектов, которые необходимо распечатать. Кстати перед печатью также сохраняйте файл в PDF, так как принтер может начудить со шрифтами.
















