104864 (706849), страница 2
Текст из файла (страница 2)
Нельзя сказать, что рассматриваемые ниже методологии управления производством не известны в отечественной практике, но что можно утверждать уверенно, так это то, что они не получили еще статуса методологии, а тем более стандарта, так как применялись достаточно разрозненно, без взаимоувязки отдельных компонентов в единое целое. Естественно, в данном случае речь идет об их массовом применении, в то время как на отдельно взятом объекте бизнеса все может быть достаточно благополучно. Важное значение имеет общий характер данных методологий, то есть их применимость (возможно, ограниченная) практически для всех вариантов конкретных бизнес-процессов. Например, планирование потребностей в производственных ресурсах (МРП II). Разработанная для промышленности методология может быть применена, например, и в сфере розничной торговли, так как там тоже важное значение имеет «выход работника к станку» (пусть и имеющему внешний вид весов), если, конечно, усложнение технологии управления будет оправдано увеличением прибыли. Ниже будут рассмотрены более специальные методологии, применимые для отдельных типов производственных процессов. MPS “Master planning shedule” -- объемно-календарное планирование. Старая и хорошо известная под названием объемно-календарное планирование, методология. Является базовой практически для всех планово-ориентированных методологий. MRP \ CRP “Material \ Capacity Requirements Planning” -- методология планирования материальных / производственных ресурсов. Сущность методологии MRP состоит в определении конечной потребности в ресурсах по данным объемно-календарного плана производства. Ключевым понятием данных методологий является понятие “разузлование”, то есть приведение древовидного состава изделия к линейному списку, по которому возможно планирование потребности и собственно производится заказ “на стороне” или планирование производства комплектующих “для внутреннего потребления”. Планирование потребности в производственных мощностях (CRP) имеет близкие функциональные задачи, но вместо единого понятия состава изделия оперирует такими неоднородными понятиями, как “обрабатывающий центр”, “машина”, “рабочие ресурсы”, ввиду чего технически реализация CRP более сложна. Данные методологии объединены ввиду их тесной логической связи в плановом механизме. FRP “Finit \ Finance Requirements Planning” Под данной аббревиатурой скрываются две совершенно различные методологии. Первая -- планирование производственных ресурсов в условиях ограниченных мощностей (далее при необходимости будет обозначаться FCRP, в различных реализациях имеет и другие названия), вторая -- планирование финансовых ресурсов. Ни та, ни другая не имеют статуса фактического стандарта в основном из-за того, что такого рода планирование достаточно специфично для конкретного предприятия и конкретной реализации. В дальнейшем аббревиатура FRP будет использоваться для обозначения методологии планирования финансовых ресурсов. В рамках данного материала мы рассмотрим именно стандартные методологии планирования финансовых ресурсов предприятия. MRP II “Manufacturing Resource Planning” -- интегрированная методология планирования, включающая MRP\CRP. При использовании данной методологии обязательно подразумевается анализ финансовых результатов производственного плана. Использование методологии, как правило, также подразумевает использование MPS и FRP, правда, без их интеграции в «динамическую систему». Часто пишется без добавления индекса II. ERP “Enterprise Resource Planning” -- “бизнес-планирование”. Обычно под аббревиатурой ERP подразумевается интегрированная система, выполняющая функции, предусмотренные MPS-MRP\CRP-FRP-SIC. Важным дополнением, внесенным по сравнению с механическим соединением данных методологий, является возможность динамического анализа и/или динамического изменения плана по всей цепочке планирования после подготовки “планового черновика”. Таким образом достигается возможность более точного определения причин возникновения исключительных ситуаций и управления плановыми компонентами. Конкретные возможности данной методологии существенно зависят от программной реализации. Project management -- проектное управление. Управление проектами, или проектное управление подразумевает специальную форму организации и соответственно управления, при которой вводится специальная единица управления и отнесения затрат -- «проект», что предполагает изменение учетных регистров и документооборота. Применение данной методологии предполагает использование одноименной формы финансового управления. Перечисленные методологии имеют весьма общий характер и фактически могут применяться в самых различных отраслях.
5. Краткая характеристика производственно-финансовой деятельности предприятия
До настоящего времени в отечественных организациях применялся только учет полной себестоимости с распределением накладных расходов между изделиями, который был оправдан в условиях централизованного государственного ценообразования. По мере обособления организаций с различной формой собственности, развития процессов приватизации государственных предприятий, включения механизмов свободного ценообразования и самостоятельного планирования ассортимента выпускаемой продукции, развития других сторон рыночной экономики постепенно будет возрастать потребность в управленческой учете. Актуальность данной темы заключается в том, что управленческий учет финансово-сбытовой деятельности предприятия – один из важнейших разделов управленческого учета. Именно себестоимость производства единицы продукции является основой для принятия большого числа управленческих решений, например: • выпуск какой продукции продолжать или прекратить; • производить или покупать комплектующие изделия; • какую установить цену на продукцию; • покупать ли новое оборудование; • менять ли технологию и организацию производства. Планирование и контроль цен на продукцию, операционных (текущих) затрат, определение величины предполагаемой прибыли осень важны для любых организаций. Но прежде чем анализировать достигнутые результаты или составлять планы на будущие периоды, необходимо понять классификацию затрат, процесс формирования себестоимости продукции. Прежде чем принять правильное решение, необходимо определить цель или руководящее направление, которые помогут принимающим решения оценить предпочтительность одного варианта действий перед другим. Большую роль в обосновании управленческих решений в бизнесе играет маржинальный анализ, методика которого базируется на изучении соотношения между тремя группами важнейших экономических показателей: издержками, объемом производства (реализации) продукции и прибылью и прогнозировании величины каждого из этих показателей при заданном значении других. Данный метод управленческих расчетов называют еще анализом безубыточности или содействия доходу.
1.Действующая практика учета затрат и результатов финансово-сбытовой деятельности на предприятии.
Рассмотрим в качестве примера предприятие, выпускающее один вид продукции. Предположим, что предприятие продает столько, сколько производит, а объем произведенной продукции за месяц увеличился на 20%. Данные по выручке от реализации и полной себестоимости продукции приведены в Таблице 1. Анализ Таблицы 1 показывает, что при условии неизменности цены выручка от реализации продукции увеличилась также на 20%, что является следствием прямой пропорциональности объему производства, а суммарные затраты предприятия увеличились на 15%, что говорит о том, что затраты кроме переменной содержат еще и постоянную часть. Как видно из Таблицы 1, постоянная составляющая содержится во всех элементах затрат кроме элемента "материалы".
Таблица 1.
Финансовые показатели модельного предприятия
Бухгалтеры-аналитики тратят много времени и сил на классификацию конкретных затрат предприятия, пытаясь понять какими – прямыми или косвенными являются затраты например на электроэнергию, и какая доля в этих затратах приходится на постоянную, а какая на переменную составляющую. Мы, однако, заметим, что достаточно знать величину выручки от реализации и полные затраты предприятия за два периода (в нашем случае два месяца) для определения постоянных и переменных затрат. Действительно, в линейном приближении связь между выручкой и затратами описывается выражением:
(1)
Где C – полные затраты, S – выручка, a- постоянные затраты, b – переменные затраты на единицу продукции, а p – цена товара. Отношение b/p=с называют коэффициентом покрытия. Он показывает, какую долю в цене товара составляют переменные затраты. Имея данные по затратам и выручке за два периода и решая систему линейных уравнений на основе уравнения (1), можно определить постоянные и переменные затраты. В нашем случае, из Таблицы 1 видно, что система уравнений выглядит так:
(2)
Решая эту систему, получаем a=124 тыс. руб., b/p=0,596, т.е. постоянные затраты предприятия в среднем за два месяца составляют 124 тыс. руб., коэффициент покрытия составляет примерно 0,6. Этой информации достаточно для расчета всех основных показателей в рамках операционного анализа – валовой маржи, операционного рычага и точки безубыточности предприятия. Действительно, маржа за последний месяц составляет
тыс. руб., выручка от реализации в точке безубыточности составит
тыс. руб., операционный рычаг равен
. Можно рассчитать запас финансовой прочности предприятия в абсолютном и относительном выражении, а также проанализировать изменение операционного рычага за два анализируемых месяца. В этой статье мы не останавливаемся на этих вопросах, поскольку подробное описание операционного анализа можно найти в любом учебнике по управленческому учету или финансовому менеджменту.
В нашем примере мы считали, что цена на товар не менялась в течение анализируемых двух месяцев. В этом случае нет необходимости знать величину цены на товар, поскольку все показатели выражаются через коэффициент покрытия. Если же необходимо знать величину переменных расходов на единицу продукции, или же цена продукции менялась в течение анализируемых периодов, то нужно учесть цену товара в каждом периоде. Способ действия в этом случае аналогичен предыдущему, только в систему (2) подставляются дополнительно значение цен в каждом периоде.
Подчеркнем, что для анализа нам понадобились данные только по выручке и суммарным затратам, которые нетрудно получить из бухгалтерского учета. Кроме того, в этой статье понятия “затраты” и “расходы” не различаются. Но нужно помнить, что расходы это только часть затрат понесенных предприятием в связи с получением дохода.
В дальнейшем, получая данные по выручке и затратам за последующие месяцы, мы проводим такой же анализ, используя данные только за два последних месяца. Получаемые таким образом новые средние значения для постоянных и переменных затрат представляют собой движущиеся средние значения. Чем меньше будет период наблюдения, тем точнее средние значения будут описывать реальные значения. Проведение на регулярной основе анализа движущихся средних постоянных и переменных затрат предприятия, а также всех остальных показателей, рассчитываемых в рамках операционного анализа, является базой для принятия управленческих решений и может рассматриваться как первый шаг на пути организации комплексной системы управленческого учета на предприятии.
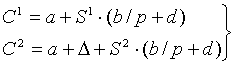
Отметим, однако, что формальное следование предложенному методу может привести к парадоксальным на первый взгляд результатам. Например, в определенных условиях можно получить, что коэффициент покрытия становиться отрицательным или даже неопределенным (бесконечным). Легко понять, что такие аномальные результаты связаны со скачком постоянных затрат. Чтобы учесть скачок постоянных затрат, нужно модифицировать систему (2). Самый простой вариант – предположить, что изменились только постоянные затраты, а переменные остались такими же (известными из анализа предыдущих периодов). Можно считать, что и переменные затраты изменились, поскольку система из двух уравнений позволяет найти два неизвестных. Действительно, пусть из анализа предыдущих периодов известны постоянные издержки равные a и коэффициент покрытия равный b/p. Чтобы учесть скачок постоянных затрат в следующем периоде нужно составить систему вида:
(3)
Где d – приращение коэффициента покрытия в новом периоде и
- скачок постоянных затрат являются неизвестными параметрами, а остальные величины известны.
















