100467 (705370)
Текст из файла
Контроллер в организации
Обратимся к личности контроллера и его роли в организации. Роль контроллера в системе планирования заключается в координации отдельных планов и организации общего процесса планирования в компании. Контроллер участвует в процессе планирования и в выстраивании системы информационного обеспечения менеджмента, что определяет его непосредственную подчиненность руководству компании. Однако деятельность контроллера охватывает все уровни организационной иерархии и все подразделения компании. Соответственно в крупных компаниях система контроллинга является весьма дифференцированной, включая большое число децентрализованных контроллинговых подразделений.
Задачи и роль контроллера в значительной мере зависят от размеров компании. Контроллер в компаниях средних размеров «и швец, и жнец, и на дуде игрец» и занимается, как правило, не только контроллинговыми задачами. Крупные компании, как правило, разделяют свое финансовое управление на отдел контроллинга и казначейство, граница между которыми более или менее четкая.
Важным средством определения задач контроллера и его роли в компании является составление должностной инструкции. На рисунке представлена должностная инструкция контроллера компании Lamy – компании средних размеров, выпускающей письменные принадлежности. В должностной инструкции содержится информация о ранге и о подчиненности контроллера, а также точный перечень его задач и прав. Должностная инструкция является хорошим инструментом, позволяющим четко прописать рамки контроллинговой деятельности и документально оформить роль контроллера в компании.
| LAMY | Должностная инструкция | С. Josef Lamy GmbH | |
| 1.0. Название должности | 2.0. Уровень в иерархии | 3.0. Замещает | |
| Руководитель отдела контроллинга | Руководитель сферы | ||
| 4.0. Цели деятельности | |||
| – Разработка и использование методов, направленных на достижение целевого значения прибыли по компании в целом – Сервисная поддержка менеджмента (в качестве аналитика, советника и экономического лоцмана), направленная на реализацию идеи самоконтроля | |||
| 5.0. Название должности непосредственного руководителя: | |||
| Директор компании | |||
| 5.1. Занимающий должность обязан также выполнять профессиональные распоряжения, отданные | |||
| 6.0. Название должности сотрудника, находящегося в непосредственном подчинении | |||
| Руководитель отдела информационных технологий | |||
| 6.1. Занимающий должность отдает профессиональные распоряжения | |||
| Руководителю финансовой бухгалтерии Руководителю производственной бухгалтерии Руководителю службы персонала Руководителю отдела обработки текстовой информации Внешним сотрудникам, занятым в сфере контроллинга и информационных технологий | |||
| 7.0. Занимающего должность замещает | |||
| Директор по финансовым, административным и экономическим вопросам Руководитель администрации | |||
| 8.0. Занимающий должность замещает | |||
| Руководителя администрации | |||
| 9.0. Специальные права | |||
| (Здесь перечисляются специальные полномочия и права, не связанные напрямую с уровнем в иерархии и рассматриваемые как дополнительные помимо основных полномочий) | |||
| – Право генеральной подписи – Банковское полномочие – Уполномоченный по коммерческим вопросам | |||
10.0. Описание профессиональной деятельности, выполняемой занимающим должность самостоятельно
Планирование
-
Содействие при разработке целей компании
-
Координация плановой и бюджетной работы
Управление
-
Построение информационной системы, в которой содержится информация о плановых, фактических и ожидаемых значениях
-
Своевременное проведение сравнения план / факт по выручке, затратам, прибыли, поступлениям, выплатам и др., при необходимости с пояснениями (с целью избежания или устранения нежелательных отклонений)
-
Информирование руководства о значительных отклонениях от целевых значений
-
Анализ отклонений и обсуждение результатов с руководителями центров ответственности, а также разработка корректирующих мероприятий
-
Проведение расчетов эффективности
Организация / Информационные технологии
-
Проведение стоимостного анализа косвенных затрат во всех подразделениях
-
Проект-менеджмент по закрытым рационализаторским проектам
-
Реализация проектов внедрения информационных технологий
-
Выбор необходимого стандартного программного обеспечения
-
Предложения руководству о необходимом компьютерном оборудовании
Прочее
-
Подготовка и проведение стратегических плановых совещаний (совместно с директором по маркетингу)
-
Сотрудничество с экономическим комитетом Торговой палаты
-
Выполнение прочих поручений руководства
Указание для занимающего должность:
Эта должностная инструкция определяет ваши задачи и полномочия. Вы обязаны действовать и принимать решения в соответствии с этой должностной инструкцией. Вы должны информировать вашего непосредственного руководителя, если происходят значительные отклонения от указанного в инструкции.
2. Контроллинг – для кого?
На промышленных предприятиях контроллинг в последние десятилетия получил широкое распространение. Нет ни одного промышленного предприятия, у которого не было бы отдела контроллинга или должности контроллера. В силу этого сформировалось мнение, что контроллинг полезен только промышленным предприятиям. Однако в последние годы ошибочность такого утверждения стала очевидной. Сегодня контроллинг используется практически всеми предприятиями, а не только промышленными. Поэтому в дальнейшем мы рассмотрим подробнее использование контроллинга в разных сферах.
2.1 Контроллинг в торговых компаниях
Что касается эффективности построенных систем контроллинга, то в торговой сфере наблюдается определенное отставание. Это связано с тем, что контроллинг до сих пор не рассматривался как необходимый атрибут системы управления торговой компанией. Поэтому философия контроллинга в торговой сфере (задачи, организация и инструменты) до сих пор не была глубоко проработана. При разработке системы контроллинга необходимо учесть особенности торговой сферы, большое значение для нее следующих факторов:
-
места расположения (в том числе филиалов);
-
жизненных циклов различных типов предприятий (дискаунтеров, супермаркетов, гипермаркетов, специализированных рынков и др.);
-
широты и глубины ассортимента в противоположность значению отдельных позиций;
-
потребности в наличии информации и в координации деятельности сферы закупок и сферы продаж (из-за аспектов, связанных с управлением ассортиментом);
-
управления физическими потоками товаров;
-
организации и управления площадями, на которых выставлен товар;
-
управления персоналом.
Практика работы торговых компаний требует построения системы контроллинга, учитывающей значение всех перечисленных элементов. Только в этом случае система контроллинга будет соответствовать требованиям менеджмента. Некоторые авторы описывают, как может выглядеть целостная система контроллинга в торговой компании. В центре интегрированной системы контроллинга в торговой компании находится банк данных, служащий основой построения системы информационного обеспечения и управления отдельными подразделениями (см.: Moehlenbruch и Meier, 1998J. Назовем важнейшие элементы такой системы.
-
Общий контроллинг: финансовый контроллинг, организационное и стратегическое планирование, инвестиционный контроллинг, управ-ление филиалами, развитие предприятий различных типов, общее управление клиентами.
-
Контроллинг персонала: гибкое планирование персонала и измерение результативности посредством сканирования, «квалификационный контроллинг».
-
Контроллинг ассортимента: планирование ассортимента (повторное включение или исключение отдельных видов товаров в продуктовый портфель, общее управление товарными группами), регулирование ассортимента, контроль ассортимента.
-
Контроллинг использования площадей: управление использованием площадей на основе сканирования аналитических данных об эффективности использования площадей, системы управления использованием площадей.
-
Контроллинг складского хозяйства: система заказов, внешняя логистическая система, внутренняя логистическая система, прием товара и координация работы склада, отгрузка товара.
Очевидно, что сквозная система сбора и агрегирования информации является важнейшим элементом интегрированной системы контроллинга в торговой компании. В 1999 г. было проведено исследование, в ходе которого было выявлено, какие именно информационные системы и какая именно информация о товарах и клиентах используются в практике работы немецких торговых компаний. В ходе исследования было опрошено 45 немецких торговых компаний, суммарный оборот которых составляет около 79% оборота розничной торговли продуктами питания (см.: Schroeder, 2001).
Согласно результатам исследования, большинство торговых компаний использует такие информационные системы, как система сканирования и закрытая система управления складским хозяйством. Почти половина торговых компаний располагает хранилищами данных (Data Warehouse). Однако менее 25% торговых компаний используют такие клиенто-ориентированные информационные системы, как карточки клиента, система Data Mining, и централизованную систему управления рекламациями. Кроме того, исследование показало, что работа с информацией о товарах (например, выручка, маржа, ежедневный объем продаж по отдельным товарам) налажена лучше, чем работа с информацией о клиентах (например, удовлетворенность клиента, социологическая и демографическая информация, доля продаж постоянным клиентам). В такой ситуации потенциал ориентированного на клиента управления ассортиментом, выстраиваемого на основе согласования данных о товарах и данных о клиентах, не реализуется. Результаты исследования позволяют также утверждать, что не все торговые компании управляются эффективно и не все способны выживать в острой конкурентной борьбе.
Поскольку построение информационных систем, а также сбор и обработка информации связаны с достаточно большими затратами, менеджмент торговых компаний всегда должен рассматривать получаемую информацию с точки зрения соотношения «затраты / выгоды».
2.2 Контроллинг в страховых компаниях
Страховые компании в последние годы также стали уделять контроллингу гораздо больше внимания. Это связано в первую очередь со структурными изменениями в страховой отрасли и обострением конкуренции. Причинами структурных изменений стали:
-
снижение степени государственного вмешательства в деятельность рынка страховых услуг;
-
слияния на рынке финансовых услуг;
-
критическое отношение потребителей страховых услуг к деятельности страховых компаний;
-
разработка современных технологий обработки информации и коммуникационных технологий (см.: Fischer 1996, S. 90).
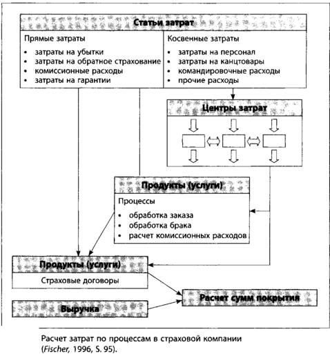
Раньше управленческий инструментарий страховых компаний определялся законодательно. Например, стандарты отчетности страховых компаний, направляемой в государственные органы, определялись нормативными актами. Однако вследствие обострения конкуренции в последние годы вырос интерес к построению эффективных систем планирования, управления и контроля. Этот интерес ориентируется на использование экономического инструмента, который в других отраслях (например, в автомобилестроении) используется уже достаточно давно. Речь идет о технологии расчета затрат по процессам. Схема использования технологии расчета затрат по процессам в страховой компании в этом разделе подробно не рассматривается. Об этом речь пойдет в специальном разделе, посвященном рассмотрению систем расчета затрат и результатов. На рис. представлена общая схема использования этого инструмента применительно к страховой компании.
Внедрение технологии расчета затрат по процессам в страховой компании преследует те же цели, что и в других компаниях (см.: Fischer, 1996, S. 93):
-
предоставление информации о затратах, используемой при принятии решений, касающихся протекающих в компании процессов;
-
предоставление информации о затратах, используемой при принятии решений, касающихся продуктовой политики и управления продуктовым портфелем;
-
достижение прозрачности затрат в сфере внутрифирменных процессов;
-
упрощение системы калькулирования при одновременном повышении точности расчетов.
В качестве аргумента против внедрения технологии расчета затрат по процессам говорят, что доминирующая в этом секторе (как и в сфере вообще) «офисная работа» не может быть описана при помощи четких соотношений «вход» / «выход» (англ. «input» / «output»). Возможность такого описания протекающих в компании процессов является существенной предпосылкой для использования процессно-ориентированного расчета затрат. Однако существует метод, позволяющий измерять результативность административных процессов и процессов обработки информации. При помощи такого метода возможно описание большей части процессов в страховой компании. В качестве процессов выделяются, например, составление предложения (оферты), заключение договора, обработка ущерба, расчет комиссионных расходов и т. п.
Однако в страховом бизнесе основные расчетные величины и статьи затрат (например, затраты на покрытие убытков) в значительной степени зависят от случая. Высокая зависимость от случая должна быть учтена при разработке систем планирования, управления и контроля. Кроме того, выгоды от использования контроллинговой информации следует соизмерять с затратами на ее получение (см.: Theil> 2002).
Характеристики
Тип файла документ
Документы такого типа открываются такими программами, как Microsoft Office Word на компьютерах Windows, Apple Pages на компьютерах Mac, Open Office - бесплатная альтернатива на различных платформах, в том числе Linux. Наиболее простым и современным решением будут Google документы, так как открываются онлайн без скачивания прямо в браузере на любой платформе. Существуют российские качественные аналоги, например от Яндекса.
Будьте внимательны на мобильных устройствах, так как там используются упрощённый функционал даже в официальном приложении от Microsoft, поэтому для просмотра скачивайте PDF-версию. А если нужно редактировать файл, то используйте оригинальный файл.
Файлы такого типа обычно разбиты на страницы, а текст может быть форматированным (жирный, курсив, выбор шрифта, таблицы и т.п.), а также в него можно добавлять изображения. Формат идеально подходит для рефератов, докладов и РПЗ курсовых проектов, которые необходимо распечатать. Кстати перед печатью также сохраняйте файл в PDF, так как принтер может начудить со шрифтами.















