100127 (705238)
Текст из файла
ЗАКОНЫ ОРГАНИЗАЦИИ ВТОРОГО УРОВНЯ
Закон информированности – упорядоченности
Информационная среда в виду ее важности является объектом управления наряду с персоналом, финансами, производством и др. ИСУ подчиняется действию закона информированности-упорядоченности. Под упорядоченностью понимается гармоничное развитие всех элементов организации: системы управления, персонала, подразделений, экономики и т.д., а также наличие между элементами установленного взаимодействия (взаимовлияния) — коэффициентов пропорциональности.
Формулировка закона информированности-упорядочности: чем большей информацией располагает организация о внутренней и внешней среде, тем она имеет большую вероятность устойчивого функционирования (самосохранения).
Математическая интерпретация закона имеет следующий вид:
где k1,k2,k3,k4,k5 - коэффициенты пропорциональности влияния уровней характеристик информации друг на друга.
Vi, Сi, Di, Hi,Oi - соответственно уровни характеристик информации: объем, ценность, достоверность, насыщенность и полнота в области i (финансы, экономика, персонал и т.д.).
Pj - ресурс компании в области i ;
Li - ресурсы, направленные на ликвидацию компании в области i.
Первая формула соотношения суммирует информационные массивы и обязывает руководителей собирать максимальное количество информации в каждом направлении деятельности.
По второй формуле вычисляется производная по времени от отношения ресурсов компании к ресурсам, направленным на ее ликвидацию. Она обязывает руководителей ограничить сбор такой информации разумными рамками самосохранения. Приведенное соотношение регулирует выбор уровней характеристик информации и ее количество.
Закон может действовать в трех вариантах.
1) руководитель и подчиненные ничего не знают о законе информированности-упорядоченности.
Персонал будет стараться собирать как можно больше информации о конкурентах, рынках сбыта и др., не задумываясь о ее упорядоченности и объеме. На этот процесс может уйти много финансовых ресурсов, кроме того, компании могут подбросить ложную информацию, которая несомненно будет принята. В результате бессистемной, но естественной гонки за информацией компания может понести серьезные убытки.
2) руководитель знает о законе, а его подчиненные нет.
Персонал будет стараться принести руководителю как можно больше информации о конкурентах, рынках сбыта и др. Роль руководителя будет заключаться в просмотре всей информации и отборе существенной. Это весьма трудная работа, и руководитель может что-то важное пропустить. Если эта пропущенная информация приведет к отрицательным результатам, то персонал во всех грехах обвинит руководителя. Таким образом, этот вариант самый тяжелый для руководителя. Лучше не знать всем, чем знать одному.
3) руководитель и подчиненные знают о законе информированности-упорядоченности.
Результат действия закона будет самым благоприятным. Все работники в рамках своих полномочий и ответственности собирают, обрабатывают информацию, делают выводы и сообщают об этом заинтересованному специалисту компании. При этом варианте «туфта» (пустая информация) или дезинформация с большой вероятностью будет опущена для дальнейшей аналитической работы.
Наличие устойчивого канала информации увеличивает вероятность поступления нужной для работника информации и при этом неопределенность ее уменьшается.
Закон требует от руководителей создания и развития источников информации, организации повышения квалификации своих сотрудников, внедрения передовых информационных технологий, в том числе автоматизированных рабочих мест.
Следствие закона: информированность работника после достижения ею критического уровня переходит в его компетентность.
Руководитель, используя характеристики информации (объем, ценность, насыщенность и достоверность), имеет возможность создать первоклассный информационный ресурс своей организации.
Закон единства анализа и синтеза
Суть анализа (декомпозиции) состоит в разделении целого на части, в представлении сложного в виде простых составляющих. Суть синтеза (агрегирования) — в соединении (мысленном или реальном) простых составляющих объекта в единое целое.
В целом люди различаются по доминированию аналитического или синтетического склада мышления.
Анализ (разделение) некоторой системы может идти по трем путям:
• выделенные части независимы друг от друга и сохраняют при этом все свои свойства ;
• выделенные части зависимы друг от друга и при разделении теряют ряд неосновных свойств;
• выделенные части зависимы друг от друга и при разделении теряют основные свойства.
Анализ можно вести на трех уровнях:
• государственном — для совершенствования семейного законодательства, в том числе внедрение контрактной системы; осуществление протекционизма при приеме на работу и продвижение персонала из благополучных семей;
• общественном — для создания клубов семьи, формирования общественного мнения о важности семьи;
• семейном — для проведения просветительской, воспитательной, примиренческой работы с членами семьи.
Синтез (объединение) осуществляется на базе взаимной необходимости и взаимодействия. Получение при объединении элементов нового целого работоспособного образования, потенциал которого выше суммы потенциалов объединенных элементов, носит название эмерджентность. Эффект синергии является составной частью эмерджентности. Эмерджентность больше относится к явлениям (новым товариществам, компаниям, объединениям, союзам и т.д.), а синергия — к процессам, происходящим в элементах организаций.
Процесс объединения проводится в два этапа:
• моделирование нового целого либо мысленное, либо с помощью пакетов прикладных программ на компьютере
• натурная реализация.
Процесс анализа и синтеза в природе идет постоянно и циклично (рис.1).
Рис.1. Бесконечный цикл анализа и синтеза
Формулировка закона единства: каждая материальная система: живой организм, социальная организация (предприятие, учебное заведение и др.) стремится настроиться на наиболее экономный режим функционирования в результате постоянного изменения своей структуры или функций. Эти изменения идут в следующем цикле:
Скорость и результат преобразования зависят от диапазона изменения внешней или внутренней среды.
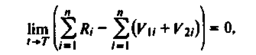
С учетом обозначений в соотношении в аналитическом виде данный закон запишется:
где t — время преобразования, Т — оптимальное время преобразования; Ri — потенциал (ресурс) организации в области i (экономика, политика, финансы и т.д.), способствующий ее развитию; V1i — ресурс внешнего, а V2i — ресурс внутреннего воздействия, стремящегося ликвидировать организацию или нанести ей ощутимый вред.
Преобразования могут носить как позитивный, так и негативный характер в зависимости от изменения внешней или внутренней среды и времени преобразования (рис.2). Кривые 1 и 2 представляют характер преобразования при разных сочетаниях ресурсов, Т1 и T2 — оптимальное время преобразования.
Рис.2. Влияние времени преобразования на эффективность деятельности организации
Следствие 1. При отсутствии внешних возмущающих воздействий соотношение приводится к следующему виду:
В результате все созидательные ресурсы организации тратятся на внутренние потребности: компенсацию ущерба,. страхование самих ресурсов и др. Это условие перерождения хозяйственной организации в общественную.
Напомним, что хозяйственная организация — это социальная система, выпускающая общественно необходимую продукцию во внешнюю среду, а общественная — преимущественно во внутреннюю (для своего внутреннего существования).
Следствие 2. При отсутствии внешних и внутренних возмущающих воздействий соотношение приводится к следующему виду:
В результате все созидательные ресурсы организации оказываются никому не нужны. Это означает, что организация идет к полному истощению ресурсов, а человек — к деградации личности. Примером может служить ситуация с выпускниками детских домов. Эти дети находятся в обособленных более или менее обеспеченных условиях: их кормят, одевают, учат. Заботливые педагоги пытаются свести «на нет» влияние внутренней и внешней среды на своих воспитанников. Это приводит к истощению их потенциальных ресурсов для противостояния жизненным трудностям в начале самостоятельной жизни, и многие ее не выдерживают.
Из этого следствия вытекает необычный вывод о том, что для организации и человека необходимы внешние потрясения и внутренние противоречия, конечно, не доводящие до патологических проблем. Что касается человека, то наличие внешних и внутренних возмущающих воздействий удлиняет его жизнь за счет мобилизации невостребованных ранее жизненных сил. Так, скучная жизнь Обломова и других патриархальных помещиков царской России приводила к их быстрому старению и самоустранению от дел.
Следствие 3. При отсутствии внутренних возмущающих воздействий соотношение приводится к следующему виду:
В результате все созидательные ресурсы организации тратятся на внешние потребности: компенсацию разрушительных действий внешних сил, на создание своего лобби в различных инстанциях .и др. Это означает, что в организации нет внутренних проблем или их не замечают, царит полное согласие по всем управленческим и производственным вопросам. Однако полное согласие — это условие неэффективной работы организации и возможной ее ликвидации или банкротства.
Для выполнения данного закона руководитель должен придерживаться таких принципов, как:
• составление и реализация программы постоянного совершенствования организации, ее элементов и подразделений;
• привлечение к этой работе лучших специалистов или консультантов;
• проведение маркетинга внешней среды;
• сокращение затрат на производство продукции;
• уменьшение времени нахождения запасов и промежуточной продукции на складах;
• использование современной информационной технологии управления.
Закон единства анализа и синтеза имеет свои существенные особенности, которые заключаются в том, что закон:
• не выражает специфики исторически определенных от ношений, а характеризует всеобщие связи и отношения в социальной среде;
• выступает в роли катализатора общественного прогресса;
• играет возрастающую роль с развитием общества.
Закон единства анализа и синтеза относится к объективным законам организации. Поэтому в практике его реализации имеются три варианта.
1) руководитель и подчиненные ничего не знают о законе единства анализа и синтеза.
В любой организации постоянно идут формальные и неформальные преобразования на уровне удобства работы: перераспределяются функции, расширяется или упрощается структура компании, принимается или увольняется персонал и др. Такие преобразования называют «текучкой». Они могут идти в ногу со временем, тогда это процесс неявной, но эффективной реализации закона. В большинстве случаев стихийные преобразования могут опережать потребности внутренней или внешней среды компании или отставать от них. Любое несоответствие, достигшее критических значений, начинает проявлять себя в увеличении проблем компании и даже социума.
Стихийное действие закона единства анализа и синтеза в области преобразования структуры организации, стратегии производства может привести к проблемам конкурентоспособности, прибыльности и т.д.
При обнаружении таких проблем уже созревшими у руководителей не будет достаточно времени для своевременного проведения реструктуризации или диверсификации компании. Поэтому действие закона в таких ситуациях всегда приводит к быстрому уменьшению созидательных ресурсов, а деятельность персонала компании чаще всего носит спонтанный и даже криминальный характер
2) руководитель знает о законе, а его подчиненные нет.
В статическом режиме, когда наблюдается соответствие неявных преобразований в организации требованиям внешней и внутренней среды, руководитель оценивает только полноту такого соответствия. Персонал компании при этом вообще не приветствует никаких дополнительных преобразований на будущее. При нарастании несоответствий руководитель должен убедить персонал в необходимости проводить преобразования. Это весьма трудная работа и руководитель может что-то важное пропустить, так как персонал помогать ему конструктивно не будет. В случае наступления больших несоответствий персонал примет живейшее участие в данном процессе, но будет уже поздно. Таким образом, это очень тяжелый вариант для руководителя.
3) руководитель и подчиненные знают о законе единства анализа и синтеза.
Характеристики
Тип файла документ
Документы такого типа открываются такими программами, как Microsoft Office Word на компьютерах Windows, Apple Pages на компьютерах Mac, Open Office - бесплатная альтернатива на различных платформах, в том числе Linux. Наиболее простым и современным решением будут Google документы, так как открываются онлайн без скачивания прямо в браузере на любой платформе. Существуют российские качественные аналоги, например от Яндекса.
Будьте внимательны на мобильных устройствах, так как там используются упрощённый функционал даже в официальном приложении от Microsoft, поэтому для просмотра скачивайте PDF-версию. А если нужно редактировать файл, то используйте оригинальный файл.
Файлы такого типа обычно разбиты на страницы, а текст может быть форматированным (жирный, курсив, выбор шрифта, таблицы и т.п.), а также в него можно добавлять изображения. Формат идеально подходит для рефератов, докладов и РПЗ курсовых проектов, которые необходимо распечатать. Кстати перед печатью также сохраняйте файл в PDF, так как принтер может начудить со шрифтами.















