99112 (705067), страница 3
Текст из файла (страница 3)
Следовательно, годовая мощность цеха составит
(15 * 28 + 16 * 32 + 16,6 * 36 + 18 * 109 + 19,2 * 155) * 24 = 155 136 т
Итак, фактическая часовая производительность – 18 т/час при минимальной производительности одного из агрегатов (очистки) 19,2 т/час. Пример показывает необходимость производства и установки такой аппаратуры, для которой сроки межремонтного цикла совпадали бы или, по крайней мере, были близки. Выполнение этого требования позволит значительно увеличить съем продукции и снизить эксплуатационные издержки, возникающие из-за недоиспользования производственной мощности.
Очевидно, что снизятся не только удельные капвложения на единицу продукции, но и увеличится фондоотдача и производительность труда.
Табл. Расчет производственной мощности аммиачного цеха (Пример)
| Произ- | Длитель- | Годов. | Кол. | Производительность отделения | Мощность цеха, | |||||||||||||
| води- | ность | фонд | уст. | максимальная | минимальная | т/год | ||||||||||||
| Агрегаты | тельн. | остан. | рабоч. | агрег. | кол- | число | про- | кол- | число | про- | одн. | отдел. | ||||||
| агрег., | на ремонт | врем., | во агрега- | дней ра- | изво- | во агрега- | дней | изво- | агрег. | |||||||||
| т/ч | в течение | дн | тов в ра- | боты в | дит., т/ч | тов в | рабо- | дит., | ||||||||||
| года, дн | боте | течение | работе | ты в | т/ч | |||||||||||||
| года | течение | |||||||||||||||||
| года | ||||||||||||||||||
| 1 | 2 | 3 | 4 | 5 | 6 | 7 | 8 | 9 | 10 | 11 | 12 | 13 | ||||||
| Конверсии | 3,1 | 27 | 333 | 7 | 7 | 171 | 21,7 | 6 | 189 | 18,6 | 24 775 | 173 425 | ||||||
| Очистки | 3,2 | 10 | 350 | 6 | 6 | 300 | 19,2 | 5 | 60 | 16 | 26 880 | 161 280 | ||||||
| Разделение воздуха | 4,5 | 41 | 319 | 5 | 5 | 155 | 22,5 | 4 | 205 | 18 | 34 452 | 172 260 | ||||||
| Синтеза | 5 | 7 | 353 | 4 | 4 | 332 | 20 | 3 | 28 | 15 | 42 360 | 169 440 | ||||||
| Компрессоры | 5,5 | 24 | 336 | 4 | 4 | 264 | 22 | 3 | 96 | 16,5 | 44 352 | 177 408 | ||||||
Примечание.
гр. 4 = 360 дн – гр. 3;
гр. 8 = гр. 2 * гр. 5;
гр. 10 = 360 дн – гр. 7;
гр. 11 = гр. 2 * гр. 9;
гр. 12 = гр. 2 * гр. 4 * 24;
гр. 13 = гр. 4 * 24 * гр. 8.
Рассмотрим упрощенные примеры расчетов производственной мощности для предприятий других отраслей.
Пример 1.
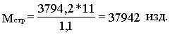
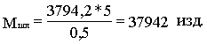
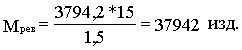
В цехе машиностроительного завода три группы станков: шлифовальные – 5 ед., строгальные – 11 ед., револьверные – 15 ед. Норма времени на обработку единицы изделия в каждой группе станков соответственно: 0,5 час; 1,1 час; 1,5 час.
Определите производственную мощность цеха, если известно, что режим двухсменный, продолжительность смены – 8 ч; регламентированные простои оборудования составляют 7% от режимного фонда времени, число рабочих дней в году – 255.
Решение
1.
2.
.
3.
4.
5.
Пример 2.
Ткацкая фабрика работает в две смены, количество ткацких станков на начало года 500. С 1 апреля установлено 60 станков, а 1 августа выбыли 50 станков. Число рабочих дней в году – 260, плановый процент простоев на ремонт станка – 5%, производительность одного станка – 4 м ткани в час, план выпуска продукции – 7500 тыс. м.
Рассчитайте производственную мощность фабрики по выпуску ткани и коэффициент ее использования.
Решение
2.
3.
4.
.
Пример 3.
Определите производственную мощность цеха и коэффициент использования мощности при следующих условиях: количество однотипных станков в цехе 100 ед., с 1 ноября установлено еще 30 ед., с 1 мая выбыло 6 ед., число рабочих дней в году – 258, режим работы двухсменный, продолжительность смены – 8 час, регламентированный процент простоев на ремонт оборудования – 6% производительность одного станка – 5 деталей в час; план выпуска за год – 1700000 деталей.
Решение
1.
2.
Список литературы
Для подготовки данной работы были использованы материалы с сайта http://www.cfin.ru/















