99112 (705067), страница 2
Текст из файла (страница 2)
квалификация рабочих;
намечаемые номенклатура и ассортимент продукции, непосредственно влияющие на трудоемкость продукции при данном составе оборудования.
Если известна производительность оборудования, то производственная мощность определяется, как произведение паспортной производительности оборудования в единицу времени и планового фонда времени его работы (Тэф):
М = Тэф * а * Н,
где Тэф – эффективный фонд работы единицы оборудования, час; а – количество однотипных аппаратов, машин, агрегатов, установленных в отделении (участке, цехе); Н – часовая норма производительности единицы оборудования по паспорту завода-изготовителя, выраженная в конечном продукте (т/час, м3/час, м2/час и др.).
Если известно, что фактически с оборудования снимается продукции больше, чем определено паспортом, то использовать в расчете мощности нужно технически обоснованную норму производительности, определяемую производственниками.
Эффективный фонд рабочего времени оборудования определяется в зависимости от режима работы участка (отделения, цеха).
Если производство работает в непрерывном режиме (круглосуточно, без остановок в праздничные и выходные дни), то эффективный фонд рассчитывается следующим образом:
Тнэф = Ткал * ТППР – Ттехн,
где Ткал – календарный фонд (длительность года, 365 дней или 8760 час.); ТППР – время простоев в планово-предупредительных ремонтах, в час.; Ттехн – время простоев оборудования по технологическим причинам (загрузка, выгрузка, чистка, промывка, продувка и т.д.) в час.
В условиях непрерывного производственного процесса максимально возможный фонд времени работы оборудования равен произведению календарных дней и 24 ч в сутках
В прерывном производстве рассчитывают располагаемы фонд времени оборудования (в практике его называют номинальным).
Поясним, что понимается под располагаемым фондом времени оборудования.
Календарный, или максимально возможный, фонд является исходной величиной в учете времени работы и бездействия оборудования. На каждом предприятии действует определенный режим работы (число рабочих и выходных дней, число смен и их продолжительность). Поэтому не весь календарный фонд может быть использован для целей производства. Если из календарного фонда времени исключить часть рабочего времени между сменами и время нерабочих дней, то получится режимный фонд времени. Например, для одного станка календарный фонд времени за год равен: 24 (365 = 8760 станко-часов. Для совокупности станков фонд времени (календарный, режимный) равен произведению фонда времени одного станка на число станков.
Располагаемы фонд получают исключением из режимного фонда затрат времени на плановый ремонт и времени на нахождение оборудования в резерве.
При работе производства в периодическом режиме (с остановками на праздничные и выходные дни) эффективный фонд рассчитывается на основе режимного фонда времени:
Тпэф = Треж (ТППР (Ттехн,
где Треж = Ткал (Твд (Тпд; Твд, Тпд – время на выходные и праздничные дни.
Режимный фонд времени определяется с учетом числа рабочих смен в сутки и продолжительности смен. Например, при 2-х сменном производстве с продолжительностью смены 8 часов имеем:
Треж = (365 (52 (52 (8 (7) (2 (8 + 7 (2 (7 = 4034 часа,
где 52 и 52 – число воскресных и субботних выходных дней; 8 – число праздничных дней; 7 – число праздничных дней. Продолжительность предпраздничных рабочих дней при 40-часовой рабочей неделе сокращается на один час.
ТППР – определяется по графику планово предупредительных ремонтов предприятия, формируемого службой главного механика. При отсутствии графика величину простоев можно рассчитать, используя ремонтные нормативы, применяемые в отраслевой практике;
Ттехн – определяются по данным технологических регламентов производства, в которых указываются виды простоев, их продолжительность и цикличность.
В периодических производствах и в непрерывных производствах с периодически работающим оборудованием мощность определяется по формуле:
где Тэф – эффективный фонд времени работы единицы оборудования, час; Тц – время производственного цикла работы оборудования, час; Зс – объем загрузки сырья на один цикл; bгп – выход готовой продукции из единицы сырья; а – количество однотипных аппаратов, машин, агрегатов, установленных в отделении (цехе).
В условиях многономенклатурного производства производственная мощность определяется, как частное от деления фонда времени работы оборудования на трудоемкость комплекта изделий (деталей), изготавливаемых на данном оборудовании:
,
где
– трудоемкость комплекта изделий, включающие а – видов.
Входная и выходная производственная мощность исчисляются ежегодно по данным отраслевой статистики, как внешняя конкурентная характеристика оборудования. Для определения соответствия производственной программы имеющейся мощности исчисляется среднегодовая производственная мощность предприятия (Мсг). При равномерном наращивании мощности в течение года ее среднегодовая величина определяется, как полусумма входной (Мвх) и выходной (Мвых) мощности:
.
В иных случаях среднегодовая мощность (Мсг) с учетом ввода нового оборудования и вывода устаревшего исчисляется так:
,
где Мнг – мощность на начало года; Мвв – вводимые новые мощности; Твв – число месяцев работы вводимых мощностей; Мвыв – мощности выводимые; Мо – увеличение мощности за счет оргтехмероприятий; Твыв – число месяцев, когда выводимые мощности не будут работать; То – число месяцев работы после внедрения мероприятия; 12 – число месяцев.
Наличие резервной производственной мощности обусловлена необходимостью периодической остановки части оборудования для выполнения ремонтных и регламентных (профилактических) работ, а также для регулирования объема производства продукции. Наиболее оптимальные нагрузки оборудования, как правило, находятся в диапазоне 80-90% от их максимальных значений.
Методика расчета производственной мощности в непрерывных химических производствах
Мощность аппаратов непрерывного действия, работающих на химических предприятиях, рассчитывают на основе технических норм использования оборудования во времени и интенсивности работы оборудования.
Общая формула расчета производственной мощности (М):
М = а * (Т – То) * b,
где а – количество однородных аппаратов (машин); Т – календарное время, час; То – регламентируемые остановки одного аппарата (машины), час; b – производительность одного аппарата (машины) в час.
Количество аппарато- и машино-часов Тмч, которое должно быть использовано за год, рассчитывают по формуле
Тмч = (Т – То) * а.
При определении фонда рабочего времени (или количества апарато-дней работы в плановом году) могут предусматриваться, как указано выше, простои оборудования в связи с текущим и капитальным ремонтами, а также технологические остановки.
Допустим, что в цехе установлено пять аппаратов; в плановом году предусматривается остановка цеха на 10 сут (в связи с ремонтом коммуникаций) и время на текущий и капитальный ремонты и технологические остановки одного аппарата 504 ч, или 21 сут (504 / 24). Фонд рабочего времени составит (365 – 21) * 5 = 1720 аппарато-сут. (Ремонт аппаратуры совпадает с ремонтом коммуникаций. Поэтому 10 дн. не включены в расчет).
После определения количества аппарато-дней работы планового периода рассчитывают количество сырья, поступающего в переработку. Расчет можно вести на единицу времени (час, сут).
Если показатель интенсивности определен как количество сырья, подаваемого в аппарат на единицу реакционного объема в единицу времени, то для расчета мощности необходимо учитывать выход продукции из единицы сырья, или расходный коэффициент.
Производственная мощность (М) аппаратов непрерывного действия может быть вычислена по формулам:
М = (Т – То) * а * Л * Инi * Вп,
или
где Л – полезный объем или площадь аппарата; Инi – нормативное количество сырья на единицу объема или площади i-го аппарата в час; Вп – коэффициент выхода готовой продукции из сырья; рк – расходный коэффициент.
Если показатель производительности определяется в единицах готовой продукции (объем продукции с одного кубометра объема в сутки), мощность аппарата непрерывного действия за плановый период составит:
М = (Т – То) * а * Л * Ип,
где Ип – количество готовой продукции с единицы объема.
Для непрерывных процессов можно воспользоваться следующей формулой:
М = (Т – То) * а * V * C * 106 * Вп,
где V – объемная скорость, м3/ч; С * 106 – концентрация в пересчете на тонну вещества, находящегося в аппарате.
Методика расчета производственной мощности оборудования периодического действия (общая схема расчета)
Мощность аппаратов периодического действия зависит от числа оборотов, или циклов, по данной фазе производства, количества сырья, потребляемого за один оборот или цикл, и выхода готовой продукции из единицы сырья.
Продолжительность цикла, или оборота, включает затраты времени на выполнение всех операций, начиная от включения аппарата и загрузки сырья и кончая выгрузкой готовой продукции. При этом по операциям, протекающим одновременно, в длительность цикла не должны включаться совмещенные затраты времени.
Цикл производства обычно складывается из времени технологического и времени обслуживания, расходуемого на выполнение вспомогательных операций. Для сокращения технологического времени необходимо усовершенствование регламента производства. Сокращение времени обслуживания планируется на основе разработки организационно-технических мероприятий, направленных в частности, на совмещение времени обслуживания с временем технологическим.
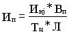
Мощность данного вида оборудования периодического действия рассчитывается пол формуле:
,
где Инj – количество сырья, потребляемого за один j – й цикл; Вп – плановый выход продукции из единицы сырья; Тц – продолжительность одного цикла (оборота), час.
Когда в аппарат загружается сырье нескольких видов, выход определяют по основному сырью и в формулу вводят коэффициент, характеризующий отношение веса этого основного сырья к весу общей загрузки.
Мощность оборудования периодического действия можно также определять, исходя из плановой нормы интенсивности (или производительности), выраженной в единицах готовой продукции.
Производительность оборудования в единицах готовой продукции равна:
.
Таким образом, мощность может быть выражена формулой
М = (Т – То) * а * Ин * Л.
Показатели мощности аппаратов-агрегатов, выраженные в единицах продукции, выпускаемой цехом, и расположенные в последовательном порядке на диаграмме соответственно прохождению производственного процесса, называют профилем мощности цеха. Составление такого профиля позволяет наглядно выявить "узкие" места, ликвидация которых даст возможность повысить выпуск продукции.
На основе данных профиля рассчитывают мощность цеха. Приведем пример расчета мощности аммиачного цеха в условиях ступенчатого графика работы в течение планового года (табл. 3).
По приведенным данным рассчитываем мощность цеха. Из табл. следует, что из-за ремонтов не все установленные агрегаты будут одновременно работать в течение года, на что указывают графы 9, 10 и 11. Агрегаты будут ремонтироваться по очереди. При установленной продолжительности ремонтов и часовой производительности агрегатов оказывается, что наименьшая производительность будет у агрегатов синтеза – 15 т/час аммиака. Этот агрегат является одним из основных.
На ремонт четырех агрегатов синтеза аммиака будет затрачено 28 дн (7 * 4), и в течение этого срока мощность цеха будет равна 15 т/час. Следующее ограничение возникает из-за ремонта агрегатов очистки; производительность 16 т/час. На ремонт агрегатов очистки будет затрачено 60 дн (10 * 6).Поэтому в последующие 32 дн (60 – 28) производительность всего цеха не может быть выше 16 т/ч, хотя у агрегатов синтеза мощность после ремонта и возрастает до 20 т/час. Далее 36 дн (96 – 60) будут лимитироваться компрессорами, на ремонт которых будет затрачено 96 дн (24 * 4) и минимальная производительность которых равна 16,5 т/час аммиака. После компрессоров наступает очередь ремонта агрегатов разделения воздуха. На этот ремонт будет затрачено 205 дн (41 * 5), поэтому в последующие 109 дн (205 – 96) можно будет производить только 18 т/час аммиака.
В остающиеся 155 дн (360 – 205) мощность цеха лимитируется работой агрегатов очистки, производительность которых в период работы всех агрегатов является наименьшей – 19,2 т/ч.















